







- 沪粤版中考物理复习专题1浮力法测密度作业课件 课件 0 次下载
- 沪粤版中考物理复习专题3电路设计作业课件 课件 0 次下载
- 沪粤版中考物理复习专题4电路故障分析作业课件 课件 0 次下载
- 沪粤版中考物理复习专题5动态电路分析作业课件 课件 0 次下载
- 沪粤版中考物理复习专题6电功率极值类计算作业课件 课件 0 次下载
沪粤版中考物理复习专题2密度、压强、浮力的综合计算作业课件
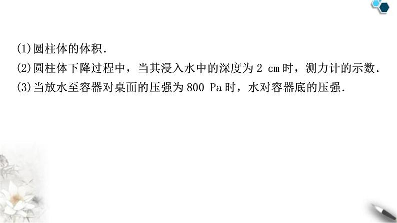
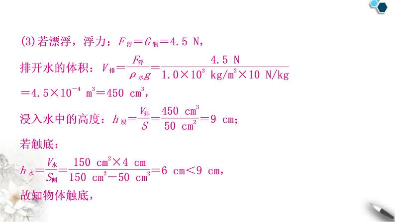
展开专题2 密度、压强、浮力的综合计算
中考物理复习专题2密度、压强、浮力的综合计算作业课件: 这是一份中考物理复习专题2密度、压强、浮力的综合计算作业课件,共17页。
人教版中考物理复习专题2密度、压强、浮力的综合计算作业课件: 这是一份人教版中考物理复习专题2密度、压强、浮力的综合计算作业课件,共21页。
中考物理复习专题3密度、压强、浮力的综合计算作业课件: 这是一份中考物理复习专题3密度、压强、浮力的综合计算作业课件,共17页。