所属成套资源:2023年高考数学模考适应模拟卷(新高考专用)
备战2023年高考数学模考适应模拟卷02(新高考专用)
展开
这是一份备战2023年高考数学模考适应模拟卷02(新高考专用),文件包含备战2023年高考数学模考适应模拟卷02新高考专用解析版docx、备战2023年高考数学模考适应模拟卷02新高考专用原卷版docx、备战2023年高考数学模考适应模拟卷02新高考专用答题卡docx等3份试卷配套教学资源,其中试卷共20页, 欢迎下载使用。
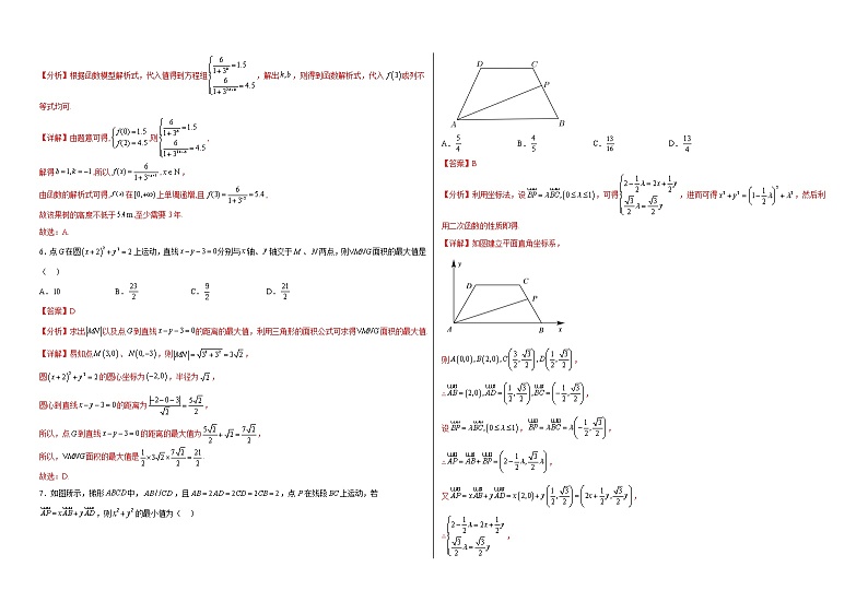
保密★启用前2023新高考名师一模模拟卷(2)注意事项:1.答题前填写好自己的姓名、班级、考号等信息2.请将答案正确填写在答题卡上第I卷(选择题)一、单选题(每小题5分,共40分)1.已知集合,,则=( )A. B. C. D.2.若,,是的共轭复数,则( )A. B.2 C. D.103.函数的图象大致形状是( )A. B.C. D.4.中国古典乐器一般按“八音”分类,这是我国最早按乐器的制造材料来对乐器进行分类的方法,最早见于《周礼·春官·大师》,八音分为“金、石、土、革、丝、木、匏、竹”,其中“金、石、木、革”为打击乐器,“土、匏、竹”为吹奏乐器,“丝”为弹拨乐器.某同学计划从“金、石、匏、竹、丝5种课程中选2种作兴趣班课程进行学习,则恰安排了1个课程为吹奏乐器、1个课程为打击乐器的概率为( )A. B. C. D.5.美国生物学家和人口统计学家雷蒙德·皮尔提出一种能较好地描述生物生长规律的生长曲线,称为“皮尔曲线”,常用的“皮尔曲线”的函数解析式可以简化为的形式.已知描述的是一种果树的高度随着栽种时间x(单位:年)变化的规律,若刚栽种(x=0)时该果树的高为1.5m,经过2年,该果树的高为4.5m,则该果树的高度不低于5.4m,至少需要( )A.3年 B.4年 C.5年 D.6年6.点在圆上运动,直线分别与轴、轴交于、两点,则面积的最大值是( )A. B. C. D.7.如图所示,梯形中,,且,点P在线段上运动,若,则的最小值为( )A. B. C. D.8.已知函数,若,其中,则的最小值为( )A. B. C. D.二、多选题(每小题5分,共20分)9.如图是国家统计局于2021年3月10日发布的2020年2月到2021年2月全国居民消费价格的涨跌幅情况折线图,其中同比是指本期与同期作对比,如2020年10月与2019年10月相比;环比是指本期与上期作对比,如2020年12月与2020年11月相比.下列关于“居民消费价格涨跌幅”图表的理解,正确的选项是( )注:,A.2020年10月,全国居民消费价格同比下降B.2020年11月,全国居民消费价格环比下降C.2020年2月至2021年2月,全国居民消费价格环比在2021年1月涨幅最高D.2020年4月的全国居民消费价格高于2019年5月的全国居民消费价格10.已知定圆A的半径为1,圆心A到定直线l的距离为d,动圆C与圆A和直线l都相切,圆心C的轨迹为如图所示的两条抛物线,记这两抛物线的焦点到对应准线的距离分别为,,则( )A. B. C. D.11.对于函数,下列结论正确得是( )A.的值域为 B.在单调递增C.的图象关于直线对称 D.的最小正周期为12.以下四个不等关系,正确的是( )A. B. C. D.第II卷(非选择题)三、填空题(每小题5分,共20分)13.已知的展开式中所有项的系数之和为32,则展开式中的常数项为______.14.已知角的终边过点,则___________,___________.15.已知椭圆的左焦点为F,过原点O的直线l交椭圆C于点A,B,且,若,则椭圆C的离心率是___________.16.在长方体中,底面是边长为的正方形,,,分别为棱,的中点,为线段上的动点,则直线与平面的交点的轨迹长度为______. 四、解答题(共70分)17.(本题10分)已知数列的首项,且满足.(1)证明:是等比数列;(2)求数列的前n项和. 18.(本题12分)在①;②的面积为;③这三个条件中任选一个,补充在下面问题中,若问题中的三角形存在,求c的值;若问题中的三角形不存在,说明理由.问题:是否存在中,a,b,c分别为内角A,B,C的对边,,, ______?. 19.(本题12分)中医药传承数千年,治病救人济苍生.中国工程院院士张伯礼在接受记者采访时说:“中医药在治疗新冠肺炎中发挥了核心作用,能显著降低轻症病人发展为重症病人的几率.对改善发热、咳嗽、乏力等症状,中药起效非常快,对肺部炎症的吸收和病毒转阴都有明显效果.”2021年12月某地爆发了新冠疫情,医护人员对确诊患者进行积极救治.现有6位症状相同的确诊患者,平均分成A,B两组,A组服用甲种中药,B组服用乙种中药.服药一个疗程后,A组中每人康复的概率都为,B组3人康复的概率分别为,,.(1)设事件C表示A组中恰好有1人康复,事件D表示B组中恰好有1人康复,求;(2)若服药一个疗程后,每康复1人积2分,假设认定:积分期望值越高药性越好,请问甲、乙两种中药哪种药性更好? 20.(本题12分)已知矩形中,,,是的中点,如图所示,沿将翻折至,使得平面平面.(1)证明:;(2)若是否存在,使得与平面所成的角的正弦值是?若存在,求出的值;若不存在,请说明理由. 21.(本题12分)已知椭圆 ,直线l:与椭圆交于两点,且点位于第一象限.(1)若点是椭圆的右顶点,当时,证明:直线和的斜率之积为定值;(2)当直线过椭圆的右焦点时,轴上是否存在定点,使点到直线 的距离与点到直线的距离相等?若存在,求出点的坐标;若不存在,说明理由. 22.(本题12分)已知函数,为的导数.(1)证明:当时,;(2)设,证明:有且仅有2个零点.
相关试卷
这是一份备战2024高考二模模拟训练卷05-备战2024年高考数学模考适应模拟卷(新高考专用),文件包含备战2024高考二模模拟训练卷05原卷版docx、备战2024高考二模模拟训练卷05解析版docx等2份试卷配套教学资源,其中试卷共26页, 欢迎下载使用。
这是一份备战2024高考二模模拟训练卷04-备战2024年高考数学模考适应模拟卷(新高考专用),文件包含备战2024高考二模模拟训练卷04原卷版docx、备战2024高考二模模拟训练卷04解析版docx等2份试卷配套教学资源,其中试卷共28页, 欢迎下载使用。
这是一份备战2024高考二模模拟训练卷03-备战2024年高考数学模考适应模拟卷(新高考专用),文件包含备战2024高考二模模拟训练卷03原卷版docx、备战2024高考二模模拟训练卷03解析版docx等2份试卷配套教学资源,其中试卷共29页, 欢迎下载使用。

