浙江省湖州、丽水、衢州三地市2022-2023学年高三数学上学期11月一模试题(Word版附解析)
展开丽水、湖州、衢州2022年11月三地市高三教学质量检测
数学试题卷
注意事项:
1.答卷前,考生务必用黑色字迹钢笔或签字笔将自己的姓名、考生号、考场号和座位号填写在答题卡上.
2.作答选择题时,用2B铅笔把答题卡上对应题目选项的答案信息点涂黑.非选择题必须用黑色字迹钢笔或签字笔作答,答案必须写在答题卡各题目指定区域内相应位置上.不按以上要求作答的答案无效.
一、单项选择题:本大题共8小题,每小题5分,共40分.在每小题给出的四个选项中,只有一项是符合题目要求的.
1. 已知集合,,则( )
A. B. C. D.
【答案】A
【解析】
【分析】根据分式不等式的解法解出集合A,根据交集的定义和运算即可求解.
【详解】,
又,所以.
故选:A
2. 设复数(其中为虚数单位),是的共轭复数,则( )
A. B. C. D.
【答案】B
【解析】
【分析】利用共轭复数的定义及复数的除法法则,结合复数加法法则即可求解.
【详解】,所以
所以.
故选:B.
3. 已知点为所在平面上的一点,且,其中为实数,若点落在的内部(不含边界),则的取值范围是( )
A. B. C. D.
【答案】D
【解析】
【分析】延长交于,设(), ,求出,根据平面向量基本定理得到,根据可求出.
【详解】如图,延长交于,
设(), ,
则,
∴,
又∵,
∴,∴,
因为,所以,所以,
所以.
故选:D.
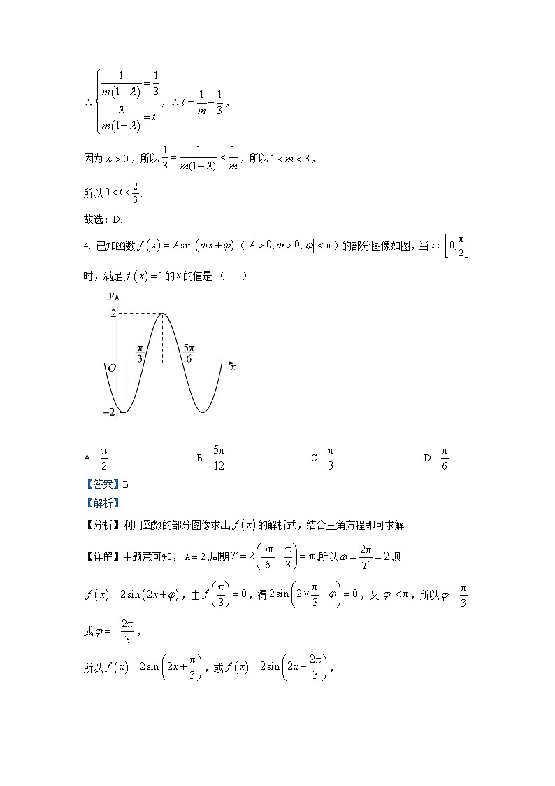
4. 已知函数()的部分图像如图,当时,满足的的值是 ( )
A. B. C. D.
【答案】B
【解析】
【分析】利用函数的部分图像求出的解析式,结合三角方程即可求解.
【详解】由题意可知,,周期,所以,则,由,得,又,所以或,
所以,或,
当时,,不满足题意舍去,
故.
由,得,
由即,得,所以,解得,
故选:B.
5. 在正三棱锥中,,分别是棱,的中点,且,设三棱锥外接球的体积和表面积分别是和.若,则( )
A. B. C. D.
【答案】C
【解析】
【分析】如图,根据题意,利用线面垂直的判定定理和性质证明,,,将三棱锥补成以为棱的正方体,
则正方体的外接球即为三棱锥的外接球,求出外接球的半径,结合球的体积和表面积公式计算即可求解.
【详解】如图,取AC的中点D,连接PD、BD,则,
由,得,
因为三棱锥为正三棱锥,所以,
而D是AC的中点,所以,
又平面,所以平面,
由平面,得,又,
平面,所以平面,
由平面,所以,,
根据正三棱锥的特点可得,
故可将三棱锥补成以为棱的正方体,如图,
所以正方体的外接球即为三棱锥的外接球.
由,可得正方体的棱长为,所以,
即正方体的外接球的半径为,即三棱锥的外接球半径为,
所以外接球的体积为,
表面积为.
故选:C
6. 若函数的图象上存在两条相互垂直的切线,则实数的值是( )
A. B. C. D.
【答案】C
【解析】
【分析】求导,由导数的几何意义和直线垂直的性质,以及余弦函数进行求解.
【详解】因为,所以,
因为函数的图象上存在两条相互垂直的切线,
不妨设函数在和切线互相垂直,
则,即①,
因为a一定存在,即方程①一定有解,所以,
即,解得或,
又,所以或,,
所以方程①变为,所以,故A,B,D错误.
故选:C.
7. 如图,已知抛物线,过点和分别作斜率大于的两平行直线,交抛物线于,和,,连接交轴于点,则直线的斜率是( )
A. B. C. D.
【答案】D
【解析】
【分析】由题知,进而设直线的方程为,与抛物线联立方程得,进而可得,,再求斜率即可.
【详解】解:因为,,,所以,
因为,
所以∽,
所以,即,
因为过点和两平行直线斜率大于
所以,直线斜率大于,
故设直线的方程为,
联立方程得,
所以
所以,,解得
所以,
所以,即直线的斜率是.
故选:D
8. 设,,,则( )
A. B.
C. D.
【答案】C
【解析】
【分析】根据题意构造函数和,利用导数研究函数的单调性可得,进而,则;利用导数研究函数的单调性可得当时,即,则,进而得出结果.
【详解】由,得;
由,得.
设函数,则,
所以函数在上单调递减,故,
即,所以,有,得,
所以,所以;
由,可设函数,
则,所以函数在单调递增,且,
所以当时,,即,即,所以.
综上,.
故选:C
二、多项选择题:本大题共4小题,每小题5分,共20分.在每小题给出的四个选项中,至少有两个是符合题目要求的,全部选对的得5分,有选错的得0分,部分选对的得2分.
9. 为了增强学生体育锻炼的积极性,某中学需要了解性别因素与学生对体育锻炼的喜好是否有影响,为此对学生是否喜欢体育锻炼的情况进行普查.得到下表:
| 性别 | 合计 | |
男性 | 女性 | ||
喜欢 | 280 | p | 280+p |
不喜欢 | q | 120 | 120+q |
合计 | 280+q | 120+p | 400+p+q |
附:,.
0.15 | 0.10 | 0.05 | 0.025 | 0.010 | 0.00l | |
2.072 | 2.706 | 3841 | 5.024 | 6.635 | 10.828 |
已知男生喜欢该项运动的人数占男生人数的,女生喜欢该项运动的人数占女生人数的,则下列说法正确的是( )
A. 列联表中的值为,的值为
B. 随机对一名学生进行调查,此学生有的可能喜欢该项运动
C. 有的把握认为学生的性别与其对该项运动的喜好有关系
D. 没有的把握认为学生的性别与其对该项运动的喜好有关系
【答案】ACD
【解析】
【分析】根据题意求出q、p,补全列联表,分析数据,利用卡方计算公式求出,结合独立性检验的思想依次判断选项即可.
【详解】A:由题意知,男生喜欢该项运动的人数占男生人数的,
女生喜欢该项运动的人数占女生人数的,
则,,解得,故A正确;
B:补全列联表如下:
| 男性 | 女性 | 合计 |
喜欢 | 280 | 180 | 460 |
不喜欢 | 120 | 120 | 240 |
合计 | 400 | 300 | 700 |
所以随机抽一名学生进行调查,喜欢该项运动的概率约为,故B错误;
C:,
而,
所以有的把握认为学生的性别与其对该项运动的喜好有关系,故C正确;
D:由选项C知,没有的把握认为学生的性别与其对该项运动的喜好有关系,
故D正确.
故选:ACD
10. 已知函数,,则( )
A. 对于任意,函数有零点
B. 对于任意,存在,函数恰有一个零点
C. 对于任意,存在,函数恰有二个零点
D. 存在,函数恰有三个零点
【答案】ABD
【解析】
【分析】A选项:将的零点个数可以转化为与图象的交点个数,根据图象即可得到当时一定有零点,当时,利用零点存在性定理判断即可;
BCD选项:根据切线斜率的范围来判断直线与图象的交点情况即可.
【详解】
A选项:上图为的图象,由题意知,的零点个数可以转化为与图象的交点个数,
当时,函数和的图象一定有交点;
当,时,,当时 ,,,则由零点存在性定理得有零点,故A正确;
B选项:当时,,当时,,所以切线的斜率都大于或等于1,当时,直线与有一个交点,即有一个零点,故B正确;
C选项:由B选项得,当时,对于任意的,只有一个零点,故C错;
D选项:当时,,所以在的切线方程为,所以当时,直线与有三个交点,即有三个零点,故D正确.
故选:ABD.
11. 已知点,分别为圆:与圆:上的两个动点,点为直线:上一点,则( )
A. 的最大值为
B. 的最小值为
C. 的最小值为
D. 的最小值为
【答案】AC
【解析】
【分析】根据题意,作出图形,当三点共线时最小,即;由知当取到最大即时最大,结合两点坐标求距离公式计算即可.
【详解】由,得,
所以圆心,半径为;
由,得,
所以圆心,半径为;
设点关于直线对称的对称点为,
有,解得,即,
连接,交直线于点,即当三点共线时,最小,
且,连接,此时最小,
当取到最大时,取到最大值,如图,
由图可知,,
所以的最大值为,故A正确,B错误;
,故C正确,D错误.
故选:AC
12. 定义在上的函数的导函数为,且恒成立,则( )
A. B.
C. D.
【答案】AD
【解析】
【分析】设函数,,利用导数可得在上单调递减,从而,即可得出答案.
【详解】设函数,,
则,
因为恒成立,所以,
所以在上单调递减,
所以,即,
则必有,,,,
故AD正确,BC错误.
故选:AD.
三、填空题:本大题共4小题,每小题5分,共20分.
13. 在的展开式中,常数项为_____.
【答案】
【解析】
【分析】根据展开式的通项公式求解即可.
【详解】在的展开式的通项公式为,
所以令,解得,
所以常数项为
故答案为:.
14. 从数字中任意取出两个数字,这两个数字不是连续的自然数的概率是__.
【答案】##0.6
【解析】
【分析】根据题意可得所有的可能结果有10种,满足条件的有6种,利用古典概型的计算公式计算即可求解.
【详解】从中任意取出2个数共有种结果,
数字是不连续自然数的情况有
,共6种结果.
所以数字是不连续自然数的概率为.
故答案为:.
15. 已知函数()满足,若函数与的图象的交点为(),则__.
【答案】
【解析】
【分析】根据已知条件求出函数与的图象关于点对称,进而得两函数图象的交点成对出现,且每一对交点都关于点对称,从而得出结论.
【详解】因为函数()满足,
所以()关于点对称,
因为函数的图象关于点对称,
即对每一组对称点,(),有,
故.
故答案为:.
16. 设是椭圆()的右焦点,为坐标原点,过作斜率为的直线交椭圆于,两点(点在轴上方),过作的垂线,垂足为,且,则该椭圆的离心率是__.
【答案】
【解析】
【分析】结合图形,利用几何性质以及椭圆定义、勾股定理、离心率公式进行求解.
【详解】
由题可知,,且,所以,
又因为是的中点,所以是的中位线,
所以,且,又直线的斜率为,
所以,设,,
所以,,联立解得,,
由勾股定理有:,即,
所以,所以 .
故答案为:.
四、解答题:本题共6小题,共70分.解答应写出文字说明、证明过程或演算步骤.
17. 在数列中,,().
(1)求数列的通项公式;
(2)求满足不等式()成立的的最大值.
【答案】(1)
(2)8
【解析】
【分析】(1)根据,可知数列为等差数列,从而可求数列的通项公式,即可求得数列的通项公式;
(2)利用裂项相消法可求得,解不等式即可.
【小问1详解】
由条件得,
所以数列是以为首项,公差的等差数列.
故,
即.
【小问2详解】
由(1)知,
故
,
所以,解得,
结合得,的最大值是.
18. 在中,内角所对的边分别为,已知.
(1)求的值;
(2)若的面积为,求周长的最小值.
【答案】(1)
(2)
【解析】
【分析】(1)利用三角形的内角和定理及诱导公式,结合二倍角的余弦公式及正切公式即可求解;
(2)根据(1)的结论及三角形的面积公式,再利用基本不等式及余弦定理,结合三角形的周长公式即可求解.
【小问1详解】
由得,,
因为,解得.
所以.
【小问2详解】
由可知,.
由的面积为,得,故.
所以,即.(等号成立当且仅当)
又
(等号成立当且仅当)
所以.
故周长(等号成立当且仅当).
因此周长的最小值为.
19. 如图,在三棱台中,三棱锥的体积为,的面积为,,且平面.
(1)求点到平面的距离;
(2)若,且平面平面, 求二面角的余弦值.
【答案】(1)
(2)
【解析】
【分析】(1)根据等积转化法求点到平面的距离;
(2)几何法:由平面平面,可作出二面角的平面角,在直角三角形求解;
空间向量法:先证明两两垂直后建系,用法向量求二面角的余弦值
【小问1详解】
设点到平面的距离为.
因为,三棱锥的体积为,
所以三棱锥的体积为,
又由,得,解得.
【小问2详解】
由已知设,,则,,取的中点,连接,则,由平面平面知面,故,
又,从而平面.
故,,取中点,则,四边形是平行四边形,,从而为正三角形,故,,
又,
得.
在平面内作于,则,在平面内,作于,连接,
因为平面平面,平面平面,
所以 平面,又 平面,所以,
又,平面,平面,所以平面,
又平面,所以,
则二面角平面角为.
在直角中,,故,.即所求二面角的余弦值为.
法二:取的中点,连接,则,由平面平面知面,故,又,从而平面.
故,以为原点,分别以所在直线为轴,建立空间直角坐标系,
设,,则,,取中点,则,四边形是平行四边形,,从而为正三角形,故,,
又,
得,
则,,,
设面的法向量,由得,
设面法向量,由得,
故,即所求二面角的余弦值为.
20. 自主招生和强基计划是高校选拔录取工作改革的重要环节.自主招生是学生通过高校组织的笔试和面试之后,可以得到相应的降分政策.2020年1月,教育部决定2020年起不再组织开展高校自主招生工作,而是在部分一流大学建设高校开展基础学科招生改革试点(也称强基计划).下表是某高校从2018年起至2022年通过自主招生或强基计划在部分专业的招生人数:
年份 | 数学 | 物理 | 化学 | 总计 |
2018 | 4 | 7 | 6 | 17 |
2019 | 5 | 8 | 5 | 18 |
2020 | 6 | 9 | 5 | 20 |
2021 | 8 | 7 | 6 | 21 |
2022 | 9 | 8 | 6 | 23 |
请根据表格回答下列问题:
(1)统计表明招生总数和年份间有较强的线性关系.记为年份与的差,为当年数学、物理和化学的招生总人数,试用最小二乘法建立关于的线性回归方程,并以此预测年的数学、物理和化学的招生总人数(结果四舍五入保留整数);
(2)在强基计划实施的首年,为了保证招生录取结果的公平公正,该校招生办对年强基计划录取结果进行抽检.此次抽检从这名学生中随机选取位学生进行评审.记选取到数学专业的学生人数为,求随机变量的数学期望;
(3)经统计该校学生的本科学习年限占比如下:四年毕业的占,五年毕业的占,六年毕业的占.现从到年间通过上述方式被该校录取的学生中随机抽取1名,若该生是数学专业的学生,求该生恰好在年毕业的概率.
附:为回归方程,,.
【答案】(1),24
(2)
(3)
【解析】
【分析】(1)根据表中数据利用回归方程公式即可求解;
(2)利用超几何分布模型即可求解;
(3)由条件概率公式即可求解.
【小问1详解】
由题意,的取值集合为,的取值集合为,
,
直接根据公式求得,,
因此回归方程为:,
当时,可得,
因此预测2023年的招生总人数为人.
【小问2详解】
由已知,可取0,1,2,3.
,,
,,
故.
【小问3详解】
因为2025年毕业,则入学年份可能为2021年,2020年,2019年,
由条件概率公式可知,该生被数学系录取的条件下,其在第年入学的概率为:
,
故,
,
,
由全概率公式:
.
21. 已知点在离心率为的双曲线上,过点的直线交曲线于,两点(,均在第四象限),直线,分别交直线于,两点.
(1)求双曲线的标准方程;
(2)若的面积为,求直线的方程.
【答案】(1)
(2)
【解析】
【分析】(1)讨论焦点在轴、轴上的情况,设出对应的双曲线方程,根据题意列出方程组,解之即可;
(2)设直线方程为和,联立双曲线方程,利用韦达定理表示出,由直线点斜式方程求出直线AD、AE方程,解得、,利用点到直线距离公式和三角形的面积可得,解方程即可.
【小问1详解】
①若焦点在轴上,设双曲线方程为().
由题意得,解得,
所以双曲线的标准方程为.
②若焦点在轴上,设双曲线方程为().
由题意得,此时无解.
综上所述双曲线的标准方程为.
【小问2详解】
设直线方程为,,联立得
,故,
又因为直线,
取得,
同理,
由题意点A到直线距离是,所以,解得.
又
故,
化简可得,得或,
易知,故,即直线方程为.
方法二:,
故,又,得,故,
由,得
,,代入,得或,
易知,故,即直线方程为.
22. 已知函数().
(1)当时,求的单调区间;
(2)若函数有两个不同的零点,,证明:.
(其中是自然对数的底数)
【答案】(1)在单调递增,在单调递减;
(2)证明见解析.
【解析】
【分析】(1)通过对函数求导,利用导数来研究函数的单调性.
(2)利用导数,通过构造函数,研究函数的单调性以及最值,再结合对数均值不等式、不等式放缩进行证明.
【小问1详解】
已知函数,定义域为,
当时,,得,
所以当时,,当时,,
因此在单调递增,在单调递减.
【小问2详解】
先证明,
已知函数,定义域为,
所以,
当时,,在单调递增,不满足题意;
当,可知在单调递增,在单调递减.
又当时,;当时,,
若函数有两个不同的零点,,不妨设,则,
即,令,则,
所以在上单调递增,又,
所以由,解得,所以,
因为,
设,则由于单调递增,则,
即,,利用对数均值不等式有
,可证得.
所以要证明,只要证明.
设(),则,
所以在单调递减,则.
因此有.
对数均值不等式证明如下:
不妨设,要证,即证,
令,即证,即,
即证:,令,
则,
所以在上单调递增,
所以,所以结论得证.
浙江省衢州、丽水、湖州三地市2023-2024学年高三上学期11月教学质量检测数学试题(Word版附解析): 这是一份浙江省衢州、丽水、湖州三地市2023-2024学年高三上学期11月教学质量检测数学试题(Word版附解析),共26页。试卷主要包含了 已知,且,则, 已知直线等内容,欢迎下载使用。
浙江省衢州、丽水、湖州三地市2023-2024学年高三数学上学期11月联考试题(Word版附答案): 这是一份浙江省衢州、丽水、湖州三地市2023-2024学年高三数学上学期11月联考试题(Word版附答案),共11页。试卷主要包含了已知,且,则,已知直线,已知函数,则等内容,欢迎下载使用。
浙江省湖州、衢州、丽水三地市2023届高三数学下学期4月教学质量检测(二模)试题(Word版附解析): 这是一份浙江省湖州、衢州、丽水三地市2023届高三数学下学期4月教学质量检测(二模)试题(Word版附解析),共25页。试卷主要包含了6,答对每道抢答题的概率为0,841,024等内容,欢迎下载使用。

