2023回族自治区银川一中高一上学期期末考试数学含解析
展开银川一中2022/2023学年度(上)高一期末考试
数学试卷
一、单选题
1. 已知集合,,则集合中元素的个数是( )
A. 0 B. 1 C. 2 D. 3
2. 函数的最小正周期为( )
A. B. C. D.
3. 已知命题,那么命题否定是( )
A. B.
C. D.
4. 函数的零点所在的一个区间是( )
A. (1,2) B. (2,3) C. (3,4) D. (4,5)
5. 函数的单调递增区间为( )
A. B.
C. D.
6. 函数的递减区间是
A B. C. D.
7. 计算( )
A. 1 B. 2 C. D.
8. 已知实数满足(),则下列关系式恒成立的是( )
A. B. ln>ln
C. D.
二、多选题
9. 下列计算中正确的是( )
A. B.
C. D.
10. 下列结论正确的是( )
A. 函数的最小值为2
B. 若,则
C 若,则
D. 若,,则
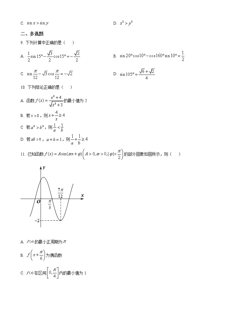
11. 已知函数的部分图象如图所示,则( )
A. 的最小正周期为
B. 为偶函数
C. 在区间内的最小值为1
D. 图象关于直线对称
12. 若函数对,同时满足:(1)当时有;(2)当时有,则称为函数.下列函数中是函数的为( )
A. B.
C. D.
三、填空题
13. ______.
14. 函数(,且)在区间上的最大值比最小值大,则a的值为_____.
15. 设一元二次不等式的解集为,则的值为_________
16. 若,则___________.
四、解答题
17. 已知 .求:
(1)的值;
(2)若,求角.
18. 已知是定义在上的奇函数,当时,.
(1)求函数的解析式;
(2)求函数在上单调递增,求实数的取值范围.
19. 已知.
(1)化简;
(2)若,,求的值.
20. 已知函数,.
(1)若,求的值;
(2)当时,求的最大值和最小值.
21. 已知函数f(x)=a-(x∈R).
(1)用定义证明:不论a何实数,f(x)在R上为增函数;
(2)若f(x)为奇函数,求a的值;
(3)在(2)的条件下,求f(x)在区间[1,5]上的最小值.
22. 已知函数.
(1)求函数的单调递增区间;
(2)将函数的图象上每一点的横坐标伸长原来的两倍,纵坐标保持不变,得到函数的图象,若方程在上有两个不相等的实数解,,求实数m的取值范围,并求的值.

