还剩19页未读,
继续阅读
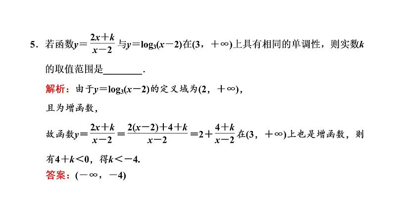
高中数学高考第二节 第1课时 系统知识牢基础——函数的单调性与最值、奇偶性、周期性 课件练习题
展开
这是一份高中数学高考第二节 第1课时 系统知识牢基础——函数的单调性与最值、奇偶性、周期性 课件练习题,共27页。
谢 谢 观 看
相关课件
新高考数学一轮复习讲练课件2.2 第1课时 函数的单调性与最值、奇偶性、周期性(含解析):
这是一份新高考数学一轮复习讲练课件2.2 第1课时 函数的单调性与最值、奇偶性、周期性(含解析),共25页。
高中数学高考第一节 第1课时 系统知识牢基础——空间几何体 课件练习题:
这是一份高中数学高考第一节 第1课时 系统知识牢基础——空间几何体 课件练习题,共23页。
高中数学高考第五节 第1课时 系统知识牢基础——空间向量及其应用 课件练习题:
这是一份高中数学高考第五节 第1课时 系统知识牢基础——空间向量及其应用 课件练习题,共36页。

