所属成套资源:高考数学二轮复习专题 (2份打包,教师版+原卷版)
高考数学二轮复习专题10 解三角形问题(2份打包,教师版+原卷版)
展开
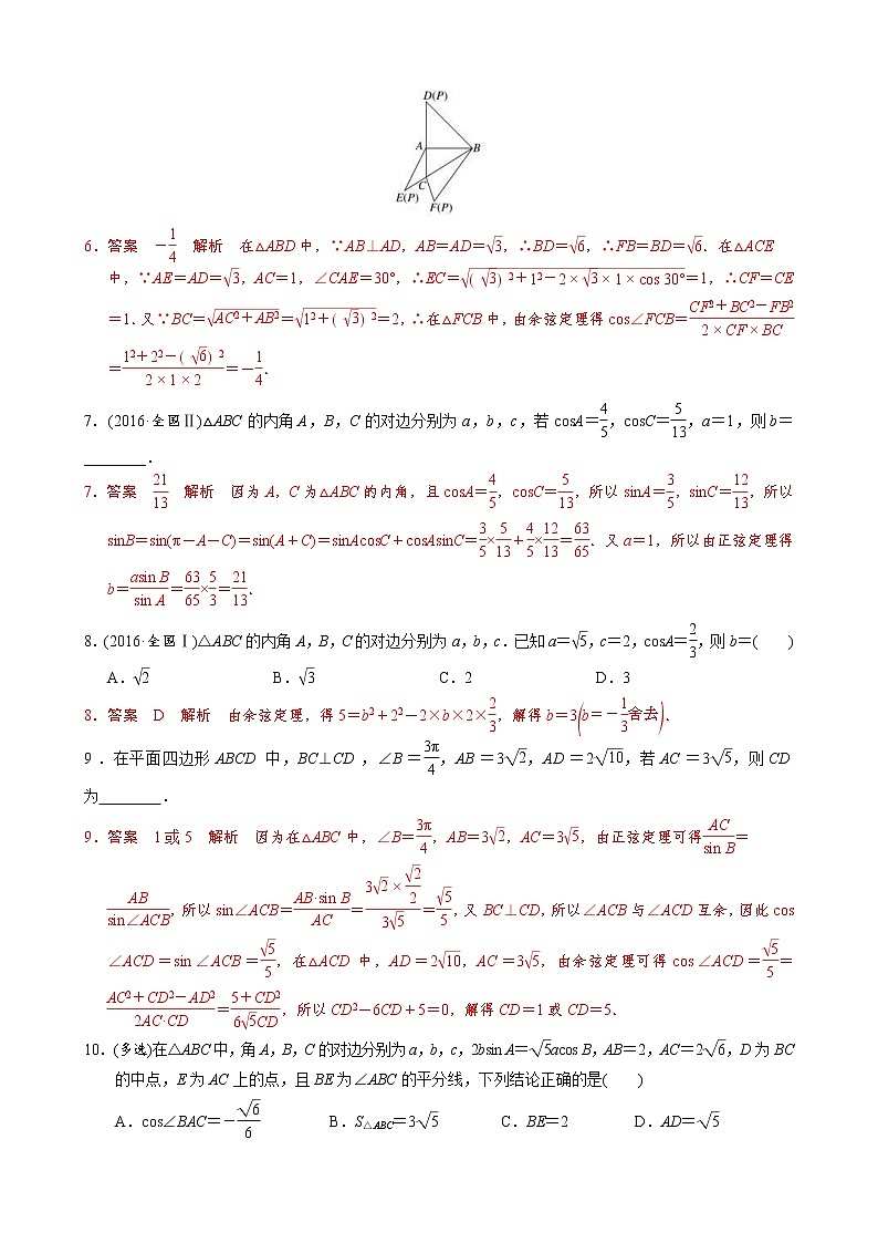
专题10 解三角形问题 【高考真题】1.(2022·全国甲理) 已知△ABC中,点D在边BC上,∠ADB=120°,AD=2,CD=2BD.当取得最小值时,BD=________.【知识总结】1.正弦定理及其变形===2R(2R为△ABC外接圆的直径).变形:a=2Rsin A,b=2Rsin B,c=2Rsin C;sin A=,sin B=,sin C=;a∶b∶c=sin A∶sin B∶sin C.2.余弦定理及其推论、变形a2=b2+c2-2bccos_A,b2=a2+c2-2accos_B,c2=a2+b2-2abcos_C.推论:cos A=,cos B=,cos C=.变形:b2+c2-a2=2bccos A,a2+c2-b2=2accos B,a2+b2-c2=2abcos C.3.面积公式S△ABC=bcsin A=acsin B=absin C.【同类问题】题型一 三角形中基本量的计算1.(2021·全国乙)记△ABC的内角A,B,C的对边分别为a,b,c,面积为,B=60°,a2+c2=3ac,则b= .2.(2017·全国Ⅲ)△ABC的内角A,B,C的对边分别为a,b,c.已知C=60°,b=,c=3,则A=________.3.(2017·全国Ⅰ)△ABC的内角A,B,C的对边分别为a,b,c.已知sinB+sinA(sinC-cosC)=0,a=2,c=,则C=( )A. B. C. D.4.(2018·全国Ⅲ)△ABC的内角A,B,C的对边分别为a,b,c,若△ABC的面积为,则C=( )A. B. C. D.5.(2020·全国Ⅲ)在△ABC中,cosC=,AC=4,BC=3,则cosB等于( )A. B. C. D.6.(2020·全国Ⅰ)如图,在三棱锥P-ABC的平面展开图中,AC=1,AB=AD=,AB⊥AC,AB⊥AD,∠CAE=30°,则cos∠FCB=________.7.(2016·全国Ⅱ)△ABC的内角A,B,C的对边分别为a,b,c,若cosA=,cosC=,a=1,则b=________.8.(2016·全国Ⅰ)△ABC的内角A,B,C的对边分别为a,b,c.已知a=,c=2,cosA=,则b=( )A. B. C.2 D.39.在平面四边形ABCD中,BC⊥CD,∠B=,AB=3,AD=2,若AC=3,则CD为 .10.(多选)在△ABC中,角A,B,C的对边分别为a,b,c,2bsin A=acos B,AB=2,AC=2,D为BC的中点,E为AC上的点,且BE为∠ABC的平分线,下列结论正确的是( )A.cos∠BAC=- B.S△ABC=3 C.BE=2 D.AD=题型二 三角形的面积11.(2014·福建)在△ABC中,A=60°,AC=4,BC=2,则△ABC的面积等于________.12.(2019·全国Ⅱ)△ABC的内角内角A,B,C所对的边分别是a,b,c.若b=6,a=2c,B=,则△BDC的面积是________.13.(2018·全国Ⅰ)在△ABC中,内角A,B,C所对的边分别是a,b,c,已知bsinC+csinB=4asinBsinC,b2+c2-a2=8,则△ABC的面积为__________.14.(2017·浙江)已知△ABC,AB=AC=4,BC=2.点D为AB延长线上一点,BD=2,连接CD,则△BDC的面积是________,cos∠BDC=________.15.(2013·全国Ⅱ)△ABC的内角A,B,C的对边分别为a,b,c,已知b=2,B=,C=,则△ABC的面积为( )A.2+2 B.+1 C.2-2 D.-116.在△ABC中,内角A,B,C的对边分别为a,b,c.已知cosA=,sinB=cosC,并且a=,则△ABC的面积为________.17.在△ABC中,角A,B,C所对的边分别为a,b,c,且(2b-a)cosC=ccosA,c=3,sinA+sinB=2sinAsinB,则△ABC的面积为( )A. B.2 C. D.18.在△ABC中,内角A,B,C的对边分别为a,b,c,已知a=1,2b-c=2acosC,sinC=,则△ABC的面积为( )A. B. C.或 D.或19.△ABC的内角A,B,C的对边分别为a,b,c.已知sin(B+A)+sin(B-A)=2sin2A,且c=,C=,则△ABC的面积是( )A. B.3 C.或1 D.或320.托勒密(Ptolemy)是古希腊天文学家、地理学家、数学家,托勒密定理就是由其名字命名,该定理指出:圆的内接凸四边形两组对边乘积的和等于两条对角线的乘积.已知凸四边形ABCD的四个顶点在同一个圆的圆周上,AC,BD是其两条对角线,AB=AD,∠BAD=120°,AC=6,则四边形ABCD的面积为 .题型三 三角形中的最值(范围)问题21.在△ABC中,角A,B,C的对边分别是a,b,c,且a>b>c,a2<b2+c2,则角A的取值范围是( )A. B. C. D.22.在△ABC中,若AB=1,BC=2,则角C的取值范围是( )A. B. C. D.23.在△ABC中,内角A,B,C对应的边分别为a,b,c,A≠,sinC+sin(B-A)=sin2A,则角A的取值范围为( )A. B. C. D.24.(2014·江苏)若△ABC的内角满足sinA+sinB=2sinC,则cosC的最小值是________.25.在钝角△ABC中,角A,B,C所对的边分别为a,b,c,B为钝角,若acosA=bsinA,则sinA+sinC的最大值为( )A. B. C.1 D.26.在△ABC中,角A,B,C所对的边分别为a,b,c,且acosB-bcosA=c,当tan(A-B)取最大值时,角B的值为________.27.在△ABC中,内角A,B,C所对的边分别为a,b,c,asinA+bsinB=csinC-asinB,则sin2Atan2B的最大值是__________.28.在△ABC中,若sinC=2cosAcosB,则cos2A+cos2B的最大值为________.29.设△ABC的三边a,b,c所对的角分别为A,B,C,已知a2+2b2=c2,则=_____;tanB的最大值为________.30.在锐角△ABC中,角A,B,C的对边分别为a,b,c.若a=2bsinC,则tanA+tanB+tanC的最小值是( )A.4 B.3 C.8 D.6

