高中数学高考23第一部分 板块二 专题六 函数与导数 第4讲 导数的热点问题(大题)课件PPT
展开
这是一份高中数学高考23第一部分 板块二 专题六 函数与导数 第4讲 导数的热点问题(大题)课件PPT,共51页。PPT课件主要包含了内容索引,热点分类突破,真题押题精练,押题预测,真题体验,证明当a0时等内容,欢迎下载使用。
NEIRONGSUOYIN
热点一 导数的简单应用
热点二 导数与函数零点或方程根的问题
热点三 导数与不等式恒成立、存在性问题
热点四 导数与不等式的证明问题
利用导数研究函数的单调性是导数应用的基础,只有研究了函数的单调性,才能研究其函数图象的变化规律,进而确定其极值、最值和函数的零点等.注意:若可导函数f(x)在区间D上单调递增,则有f′(x)≥0在区间D上恒成立,但反过来不一定成立.
(1)求实数m的取值范围;
又函数f(x)在区间(0,1)上为增函数,
则t(x)在(0,1)上是减函数,当x→1时,t(x)→2,即t(x)>2,∴m≤2,∴实数m的取值范围为(-∞,2].
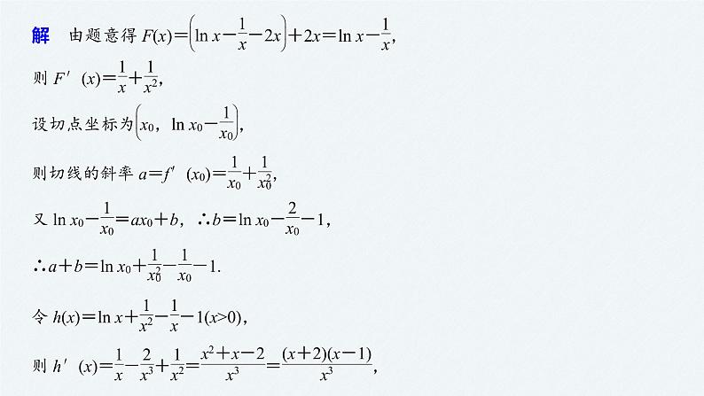
(2)当m取最大值时,若直线l:y=ax+b是函数F(x)=f(x)+2x的图象的切线,且a,b∈R,求a+b的最小值.
故当x∈(0,1)时,h′(x)0,h(x)单调递增.∴当x=1时,h(x)有最小值,且h(x)min=h(1)=-1,∴a+b的最小值为-1.
(1)若曲线y=f(x)在点(1,f(1))处的切线与x轴平行,求a;
∴f′(x)=ex-a,∴f′(1)=e-a,由题设知f′(1)=0,即e-a=0,解得a=e.经验证a=e满足题意.
(2)当x0,于是f(x)在(0,a)上有一个零点,即f(x)在(0,+∞)上只有一个零点,因此,当a>1时,f(x)有两个零点.综上,当a1时,f(x)有两个零点.
(1)讨论函数f(x)的单调性;
①a≤0时,f′(x)>0,所以f(x)在(0,+∞)上单调递增;
综上,当a≤0时,f(x)在(0,+∞)上单调递增;
(2)若a>0,函数f(x)在区间(1,e)上恰有两个零点,求a的取值范围.
∵f(x)在区间(1,e)上恰有两个零点,
1.由不等式恒成立求参数的取值范围问题的策略:(1)求最值法,将恒成立问题转化为利用导数求函数的最值问题;(2)分离参数法,将参数分离出来,进而转化为a>f(x)max或a0,∴f′(x)0,φ(x)单调递增,∴φ(x)>φ(1)=1>0,∴f′(x)a时,g(x)>0,h′(x)>0,h(x)单调递增,11.
所以s(t)在(1,+∞)上单调递增,因为t→1时,s(t)→0,所以s(t)>0,
跟踪演练4 (2019·贵州适应性考试)函数f(x)=x-ln x,g(x)=aex.(1)求f(x)的单调区间;
解 函数f(x)的定义域为(0,+∞).由f(x)=x-ln x,
当x∈(0,1)时,f′(x)0,所以f(x)的单调递减区间是(0,1),单调递增区间为(1,+∞).
证明 要证xf(x)≤g(x),即证x(x-ln x)≤aex,
由(1)可知f(x)≥f(1)=1,即x-ln x≥1,所以ln x-(x-1)≤0,于是,当x∈(0,1)时,h′(x)>0,h(x)单调递增;当x∈(1,+∞)时,h′(x)0;当x∈(x0,π)时,f′(x)
相关课件
这是一份统考版2024高考数学二轮专题复习专题六函数与导数第4讲导数的综合应用课件理,共51页。PPT课件主要包含了考点一,考点二,考点三,afxmin,a≤fxmin,所有的,快审题等内容,欢迎下载使用。
这是一份高中数学高考板块4 回归教材 赢得高考 回扣8 函数与导数(1)课件PPT,共19页。PPT课件主要包含了内容索引,回归教材,易错提醒,-fx,x=a,2伸缩变换,3对称变换等内容,欢迎下载使用。
这是一份高中数学高考板块2 核心考点突破拿高分 专题6 第4讲 导数的热点问题(大题)(1)课件PPT,共60页。PPT课件主要包含了内容索引,热点分类突破,真题押题精练,而g1=0,∵f1=0,ⅰ若2a≤4,证明由题意可知,押题预测,真题体验等内容,欢迎下载使用。

