高中数学高考8 6 空间向量及其加减、数乘和数量积运算
展开
这是一份高中数学高考8 6 空间向量及其加减、数乘和数量积运算,共11页。试卷主要包含了空间向量的有关概念,空间向量的数乘运算,空间向量的数量积运算,故选A等内容,欢迎下载使用。
8.6 空间向量及其加减、数乘和数量积运算
1.空间向量的有关概念
(1)空间向量:在空间,我们把具有________和________的量叫做空间向量.
(2)零向量:规定______________的向量叫做零向量.
(3)单位向量:________的向量称为单位向量.
(4)相反向量:与向量a__________________的向量,称为a的相反向量,记为-a.
(5)相等向量:________________的向量称为相等向量.
(6)空间向量的加法运算满足交换律及结合律:
a+b=________;(a+b)+c=______________.
2.空间向量的数乘运算
(1)向量的数乘:实数λ与空间向量a的乘积λa仍然是一个向量,称为向量的数乘.
①当λ____0时,λa与向量a方向相同;
当λ____0时,λa与向量a方向相反.
②λa的长度是向量a的长度的______倍.
(2)空间向量的数乘运算满足分配律及结合律:
①分配律:λ(a+b)=____________.
②结合律:λ(μa)=________.
(3)共线向量:如果表示空间向量的有向线段所在的直线________________,则这些向量叫做共线向量或平行向量.
(4)共线向量定理:对空间任意两个向量a,b,a∥b的充要条件是________________________.
(5)空间直线l的方向向量:和直线l________的非零向量a叫做直线l的方向向量.
(6)空间直线的向量表示:l为经过已知点A且平行于已知非零向量a的直线,对空间任意一点O,点P在直线l上的充要条件是__________________________,特别地,如果a=,则上式可以化为=+t,或________________,这也是空间三点A,B,P共线的充要条件.
(7)共面向量:________________的向量叫做共面向量.
(8)空间共面向量定理:如果两个向量a,b不共线,那么向量p与向量a,b共面的充要条件是__________________________________________.
推论:对空间任意一点O和不共线的三点A,B,C,满足向量关系式__________________________,其中__________,则点P与点A,B,C共面.
3.空间向量的数量积运算
(1)空间向量的数量积:已知两个非零向量a,b,则________________叫做a,b的数量积,记作a·b,通常规定,0≤〈a,b〉≤π.对于两个非零向量a,b,a⊥b⇔____________.
(2)空间零向量与任何向量的数量积为________.
(3)a·a=cos〈a,a〉=________.
(4)空间向量的数量积满足如下的运算律:
①·b=__________;
②a·b=__________(交换律);
③a·=________________(分配律).
自查自纠:
1.(1)大小 方向 (2)长度为0 (3)模为1
(4)长度相等而方向相反 (5)方向相同且模相等
(6)b+a a+(b+c)
2.(1)①> < ② (2)①λa+λb ②a
(3)互相平行或重合 (4)存在实数λ,使a=λb
(5)平行 (6)存在实数t,使=+ta
=+t (7)平行于同一个平面
(8)存在惟一的有序实数对(x,y),使p=xa+yb
=x+y+z x+y+z=1
3.(1)cos〈a,b〉 a·b=0 (2)0
(3)2 (4)①λ ②b·a ③a·b+a·c
已知点O,A,B,C为空间不共面的四点,且向量a=++,向量b=+-,则与a,b不能构成空间基底的向量是 ( )
A. B.
C. D.或
解:根据题意得=(a-b),所以,a,b共面.故选C.
有如下四个关于空间向量的命题(x,y∈R):
①若p=xa+yb,则p与a,b共面;
②若p与a,b共面,则p=xa+yb;
③若=x+y,则P,M,A,B共面;
④若P,M,A,B共面,则=x+y.
其中真命题的个数是 ( )
A.1 B.2 C.3 D.4
解:①正确.②中若a,b共线,p与a不共线,则p=xa+yb就不成立.③正确.④中若M,A,B共线,点P不在此直线上,则=x+y不正确.故选B.
如图所示,已知空间四边形OABC,OB=OC,且∠AOB=∠AOC=,则cos〈,〉的值为 ( )
A.0 B.
C. D.
解:设=a,=b,=c,由已知条件〈a,b〉=〈a,c〉=,且|b|=|c|,·=a·(c-b)=a·c-a·b=|a||c|-|a||b|=0,所以cos〈,〉=0.故选A.
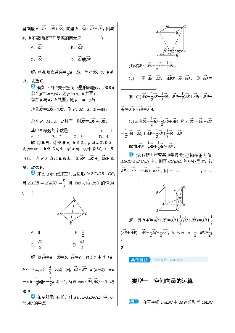
如图所示,在长方体ABCDA1B1C1D1中,O为AC的中点.
(1)化简:--=_______________.
(2)用,,表示,则=_________________.
解:(1)--=-(+)=-=+=.
(2)因为==(+),所以=+=(+)+=++.
故填;++.
()已知在正方体ABCDA1B1C1D1中,侧面CC1D1D的中心是F,若 =+m+n,则m=________,n=________.
解:因为=+=+(+)=+(+)=++,所以m=n=.故填;.
类型一 空间向量的运算
在三棱锥OABC中,M,N分别是OA,BC的中点,G是△ABC的重心,用基向量,,表示,.
解:=+=+=+ (-)=+= -+ +.
=+=-++=++.
点 拨:
把平面向量的运算推广到空间后,许多基本的运算规则没有变,在解题过程中,要明确目标,把所求向量向三个基底向量转化,并注意向量拆分和重组的技巧.若表示的向量涉及线段的中点,可利用平行四边形法则来表示此向量,也可利用包含要表示的向量的封闭图形,根据封闭图形各边依次构成的向量之和为零向量得到相关式子;求空间若干向量之和时,可通过平移,将它们转化为首尾相接的向量.
如图,平行六面体ABCDA1B1C1D1中,=a,=b,=c,E为A1D1的中点,F为BC1与B1C的交点.
(1)用基底{a,b,c}表示下列向量:,,;
(2)在图中画出++化简后的向量.
解:(1)=+=+-=a- b+c,
=++
=-a+b+c,
=+=a+(b+c)
=a+b+c.
(2)++=+(+)
=+=+=.
连接DA1,则即为所求.
类型二 空间向量共线与共面问题
(1)如图,在棱长为a的正方体ABCDA1B1C1D1中,G为△BC1D的重心.
(Ⅰ)求证:A1,G,C三点共线;
(Ⅱ)求证:A1C⊥平面BC1D;
(Ⅲ)求点C到平面BC1D的距离.
解:(Ⅰ)证明:由于正方体ABCD
A1B1C1D1是平行六面体,所以=+=++.
又因为点G为△BC1D的重心,
所以==.
故∥,即A1,G,C三点共线.
(Ⅱ)证明:设=b,= c,=d,则==,且b·c=b·d=c·d=0.
因为=++=b+c+d,
=+=d-b,
所以·=(b+c+d)(d-b)=a2-a2=0.
所以⊥,即CA1⊥BC1.
同理可证CA1⊥BD.
又BC1∩BD=B,所以CA1⊥面BC1D.
(Ⅲ)由上面的证明知点C到平面BC1D的距离为CG.
因为=b+c+d,所以=a.
所以==a.
(2)正方体ABCDA1B1C1D1中,E,F分别为BB1和A1D1的中点.求证:向量,,是共面向量.
证明:因为=++
=-+
=(+)-=-,
所以向量,,是共面向量.
点 拨:
题(1)利用平行向量的充要条件可解决三点共线和线线平行等问题,要注意空间向量基底的选取,同时要重视空间向量基本定理的使用,用基底表示已知条件和所需解决问题的过程就是将几何问题转化为向量问题的过程.通过向量的数量积运算,可证明垂直问题,亦可计算直线与平面所成角、异面直线所成角以及距离等问题.题(2)要证向量,,是共面向量,只需证得=λ+μ,解题的关键是寻找有序实数对(λ,μ)满足上述关系式.
如图所示,已知E,F,G,H分别是空间四边形ABCD的边AB,BC,CD,DA的中点,用向量方法证明:
(1)E,F,G,H四点共面;
(2)BD∥平面EFGH.
证明:(1)连接BG,EG,则=+=+(+)=++=+,由共面向量定理知,E,F,G,H四点共面.
(2)因为=-=-=(-)=,且E,H,B,D四点不共线,所以EH∥BD.
又EH⊂平面EFGH,BD⊄平面EFGH,所以BD∥平面EFGH.
类型三 利用数量积求长度问题
如图所示,四棱柱ABCDA1B1C1D1中,底面为平行四边形,以顶点A为端点的三条棱长都为1,且两两夹角为60°.则AC1的长为____________.
解:记=a,=b,=c,
则|a|=|b|=|c|=1,〈a,b〉=〈b,c〉=〈c,a〉=60°,
所以a·b=b·c=c·a=.
||2=(a+b+c)2=a2+b2+c2+2(a·b+b·c+c·a)=1+1+1+2×(++)=6,
所以||=,即AC1的长为.故填.
点 拨:
要求一个向量的模,就需要把向量分解成几个已知向量的和,利用向量的平方等于向量的模的平方可求出模的平方,进一步求出模.这里要注意向量和向量的夹角对数量积的影响.
如图所示,已知在一个60°的二面角的棱上,有两个点A,B,AC,BD分别是在这个二面角的两个面内垂直于AB的线段,且AB=4cm,AC=6cm,BD=8cm,则CD的长为____________cm.
解:因为=++=-+,
所以2=(-+)2
=(-)2+2+2(-)·
=2+2-2·+2+2·-2·
=16+36+64-2×6×8×cos60°
=68.
所以=2cm.故填2.
类型四 异面直线所成角问题
()如图所示,已知空间四边形ABCD的每条
边和对角线长都等于1,点E,F,G分别是AB,AD,CD的中点,计算:
(1)·;
(2)EG的长;
(3)异面直线AG与CE所成角的余弦值.
解:设=a,=b,=c.
则|a|=|b|=|c|=1,〈a,b〉=〈b,c〉=〈c,a〉=60°,
(1)==c-a,=-a,
·=·(-a)=a2-a·c=,
(2)=++=a+b-a+c-b
=-a+b+c,
||2=a2+b2+c2-a·b+b·c-c·a=,
则||=.
(3)=b+c,=+=-b+a,
cos〈,〉==-,
由于异面直线所成角的范围是,
所以异面直线AG与CE所成角的余弦值为.
点 拨:
要求异面直线AG与CE所成角的余弦值,可利用向量的数量积,求出·及||和||的值,再套用公式cos〈,〉=求得与所成角的余弦值,但上述结果并不一定是异面直线所成的角,由于异面直线所成角的取值范围为,所以,若求得的余弦值为负值,则取其绝对值.
如图所示,四棱柱ABCDA1B1C1D1中,底面为平行四边形,以顶点A为端点的三条棱长都为1,且两两夹角为60°.则异面直线BD1与AC夹角的余弦值为____________.
解:记=a,=b,=c,
则|a|=|b|=|c|=1,〈a,b〉=〈b,c〉=〈c,a〉=60°,
所以a·b=b·c=c·a=.
=b+c-a,=a+b,所以||=, ||=.
所以cos〈,〉=
==.故填.
1.空间向量的线性运算
用已知向量表示未知向量,一定要结合图形,可从以下角度入手.
(1)要有基向量意识,把有关向量尽量统一到基向量上来.
(2)把被表示向量用其他向量线性表示,进而寻找这些向量与基向量的关系.
(3)用基向量表示一个向量时,如果此向量的起点是从基底的公共点出发的,一般考虑用加法,否则考虑用减法,如果此向量与一个易求的向量共线,可用数乘.
(4)注意应用以下结论.
①A为BC的中点,O为空间任一点,则=;
②A,B,C三点共线,O为空间任一点,则 =+t(t∈R).
2.共线向量定理、共面向量定理的应用
应用共线向量定理、共面向量定理,可以证明点共线、点共面、线共面.
(1)证明空间任意三点共线的方法
对空间三点P,A,B,可通过证明下列结论成立来证明三点共线:
①=λ;
②对空间任一点O,存在实数t,使=+t;
③对空间任一点O,=+t或=x+y,这里x+y=1.
(2)证明空间四点共面的方法
对空间四点P,M,A,B,可通过证明下列结论成立来证明四点共面:
①=x+y;
②对空间任一点O,=+x+y;
③对空间任一点O,=x+y+z,其中x+y+z=1;
④∥.
注:在③中,若x=y=z=,则点P即为△MAB的重心.
设M,A,B,P,
若P为△MAB的重心,则此即为三角形重心坐标公式.
3.利用向量解决立体几何问题的一般方法
(1)利用向量解决立体几何问题的一般方法是:把线段或者角度转化为向量表示,用已知向量(基底或者是建立空间直角坐标系)表示未知向量,然后通过向量的运算或证明去解决平行、垂直、夹角、距离等问题.
(2)通常选取两两垂直的向量作为基底,其余的向量都利用这些基底向量来表示,为进一步利用向量进行计算做铺垫.
(3)求两个向量的夹角一般是利用夹角公式 cos〈a,b〉=;证明两个非零向量垂直可利用a·b=0.
1.()如图所示,三棱锥OABC中,M,N分别是AB,OC的中点,设=a, =b,=c,用a,b,c表示,则=( )
A.(-a+b+c) B.(a+b-c)
C.(a-b+c) D.(-a-b+c)
解:=+=-+=- +(-)=+-=(a+b-c),故选B.
2.()已知长方体ABCDA1B1C1D1,下列向量的数量积一定不为0的是 ( )
A.· B.·
C.· D.·
解:当侧面BCC1B1是正方形时,可得·=0,所以排除A.当底面ABCD是正方形时,AC垂直于对角面BD1,所以排除B.显然也排除C.由题图可得,BD1与BC所成的角小于90°.故选D.
3.如图所示,已知PA⊥平面ABC,∠ABC=120°,PA=AB=BC=6,则||等于 ( )
A.6 B.6
C.12 D.144
解:因为=++,所以2=2+2+2+2·=36+36+36+2×36cos60°=144,所以||=12.故选C.
4.已知空间四边形ABCD的每条边和对角线的长都等于a,点E,F分别是BC,AD的中点,则·的值为 ( )
A.a2 B.a2 C.a2 D.a2
解:·=(+)·=(·+·)=(a2cos60°+a2cos60°)=a2.故选C.
5.设OABC是四面体,G1是△ABC的重心,G是OG1上的一点,且OG=3GG1,若=x+y+z,则(x,y,z)为 ( )
A. B.
C. D.
解:如图所示,取BC的中点E,连接AE.
=1=(+)
=+
=+(+)
=+(-+-)
=(++).故选A.
6.()正方体ABCDA1B1C1D1的棱长为1,E为CC1的中点,则异面直线AB1,BE所成角的余弦值为 ( )
A. B. C. D.
解:·=(+)·(+)=·+·+·+·=0+0+0+=.
依题意易知||=,||=,
所以cos〈,〉==.故选D.
7.()O为空间中任意一点,A,B,C三点不共线,且=++t,若P,A,B,C四点共面,则实数t=________.
解:因为P,A,B,C四点共面,所以++t=1,所以t=.故填.
8.如图所示,在平行六面体ABCDA1B1C1D1中,M为A1C1与B1D1的交点.若=a,=b,=c,则可用a,b,c表示为____________.
解:由图可知,=+=+=+(-)=c+(b-a)=-a+b+c.故填-a+b+c.
9.如图所示,已知斜三棱柱ABCA1B1C1中,点M,N分别在AC1和BC上,且满足=k,=k(0≤k≤1),问向量是否与向量,共面?
解:因为=k,=k,
所以=++=k++k=k(+)+=k(+)+=k+=-k=-k(+)=(1-k)-k,
由共面向量定理知,向量与向量,共面.
10.如图,在空间四边形OABC中,若OA=8,AB=6,AC=4,BC=5,∠OAC=45°,∠OAB=60°,求OA与BC所成角的余弦值.
解:因为=-,所以·=·(-)=·-·=||||cos〈,〉-||||cos〈,〉=8×4×cos135°-8×6×cos120°=24-16.所以cos〈,〉===,故与夹角的余弦值为,即直线OA与BC所成角的余弦值为.
11.三棱柱ABCA1B1C1中,底面边长和侧棱长都相等,∠BAA1=∠CAA1=60°,求异面直线AB1与BC1所成角的余弦值.
解:如图,不妨设=a,=b,=c,棱长为1,则=a+b,=a+=a+c-b,因为底面边长和侧棱长都相等,所以∠CAB=60°,又∠BAA1=∠CAA1=60°,所以a·b=a·c=b·c=,所以||==,||==,·=(a+b)·(a+c-b)=1,设异面直线的夹角为θ,则cosθ===.
如图,已知斜三棱柱ABCA1B1C1中,∠BAC=,∠BAA1=π,∠CAA1=,AB=AC=1,AA1=2,点O是B1C与BC1的交点.
(1)用向量,,表示向量;
(2)求异面直线AO与BC所成的角的余弦值;
(3)判定平面ABC与平面B1BCC1的位置关系.
解:(1)=+=+(+)=+(-+)=(++).
(2)设=a,=b,=c.
=
=(a2+b2+c2+2a·b+2b·c+2a·c)
=
=.所以=.
又因为=b-a,
所以·=(a+b+c)(b-a)=1,=.
所以cos〈,〉==.
所以异面直线AO与BC所成的角的余弦值为.
(3)取BC的中点E,连接AE,
则=(+)=(a+b).
因为AB=AC,E为BC的中点,所以AE⊥BC.
又·=(a+b)·c
==0,
所以AE⊥BB1.
因为BC∩BB1=B,所以AE⊥平面B1BCC1.
又AE⊂平面ABC,所以平面ABC⊥平面B1BCC1.
相关试卷
这是一份高中数学第一章 空间向量与立体几何1.1 空间向量及其运算优秀达标测试,共3页。试卷主要包含了1 空间向量及其运算,如图所示,在平行六面体等内容,欢迎下载使用。
这是一份高中数学高考第6讲 空间向量及其运算,共7页。试卷主要包含了选择题,填空题,解答题等内容,欢迎下载使用。
这是一份高中数学高考50第八章 立体几何与空间向量 8 6 空间向量及其运算,共13页。试卷主要包含了空间向量的有关概念,空间向量中的有关定理,空间向量的数量积及运算律,空间向量的坐标表示及其应用等内容,欢迎下载使用。

