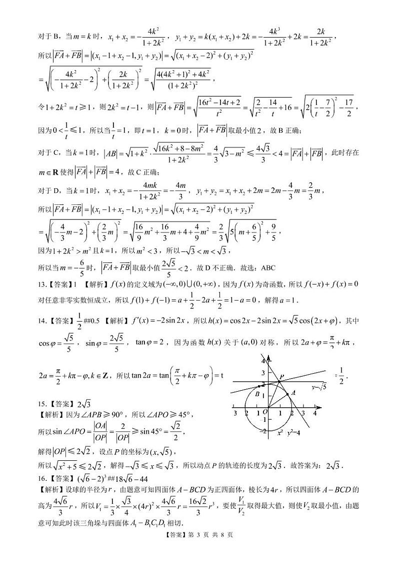
2022―2023 学年度东莞市高三第一学期教学质量检查数学试卷及参考答案
展开房山区2023-2024学年度高三第一学期期末检测试数学试卷及参考答案: 这是一份房山区2023-2024学年度高三第一学期期末检测试数学试卷及参考答案,文件包含房山区2023-2024学年度第一学期期末检测试数学试卷doc、房山区2023-2024学年度第一学期期末检测试数学参考答案doc等2份试卷配套教学资源,其中试卷共9页, 欢迎下载使用。
2022~2023 学年度苏锡常镇四市高三教学情况调研(一)数学试卷及参考答案: 这是一份2022~2023 学年度苏锡常镇四市高三教学情况调研(一)数学试卷及参考答案,文件包含20222023学年度苏锡常镇四市高三教学情况调研一数学参考答案pdf、20222023学年度苏锡常镇四市高三教学情况调研一数学试卷pdf等2份试卷配套教学资源,其中试卷共12页, 欢迎下载使用。
赣州市2022-2023学年度第一学期期末考试高三文科数学试卷及参考答案: 这是一份赣州市2022-2023学年度第一学期期末考试高三文科数学试卷及参考答案,文件包含赣州市2022-2023学年度第一学期期末考试高三文科数学参考答案pdf、赣州市2022-2023学年度第一学期期末考试高三文科数学试卷pdf等2份试卷配套教学资源,其中试卷共7页, 欢迎下载使用。

