- 2023扬州高三下学期开学考试英语含答案(含听力) 试卷 0 次下载
- 2023扬州高三下学期开学考试语文图片版含答案 试卷 0 次下载
- 2023扬州高三下学期开学考试政治含答案 试卷 1 次下载
- 2023扬州高三下学期开学考试历史含答案 试卷 1 次下载
- 2023扬州高三下学期开学考试地理图片版含答案 试卷 0 次下载
2023扬州高三下学期开学考试数学含答案
展开2022-2023学年度第二学期期初考试
高 三 数 学 2023.02
(全卷满分150分,考试时间120分钟)
一、单项选择题:本题共8小题,每小题5分,共40分.在每小题给出的四个选项中,只有一项是符合题目要求的.
1.若复数z满足i(z+i)=2+i(i为虚数单位),则复数z在复平面内所对应的点在( )
A.第一象限 B.第二象限 C.第三象限 D.第四象限
2.已知a,b∈R,则“a<b”是“a<b-1”的( )
A.充分不必要条件 B.必要不充分条件
C.充要条件 D.既不充分也不必要条件
3.已知数列{an}满足2an=an-1+an+1(n≥2),a3+a4+a5+a6+a7=100,则其前9项和等于( )
A.150 B.180 C.300 D.360
4.平面向量,满足+=(3,-2),-=(1,x),且·=0,则x的值为( )
A. B. C.±2 D.±2
5.埃及胡夫金字塔是古代世界建筑奇迹之一,其形状可视为一个正四棱锥,已知该金字塔的塔高与底面边长的比满足黄金比例,即比值约为,则它的侧棱与底面所成角的正切直约为( )
A. B. C. D.
6.已知α,β∈(0,),2tanα=,则tan(2α+β+)=( )
A. B.- C. D.
7.已知一组数据x1,x2,x3,x4,x5的平均数是2,方差是3,则对于以下数据:
2x1+1,2x2+1,2x3+1,2x4+1,2x5+1,1,2,3,4,5
下列选项正确的是( )
A.平均数是3,方差是7 B.平均数是4,方差是7
C.平均数是3,方差是8 D.平均数是4,方差是8
8.在平面直角坐标系xOy中,x轴正半轴上从左至右四点A、B、C、D横坐标依次为a-c、a、a+c、2a,y轴上点M、N纵坐标分别为m、-2m(m>0),设满足PA+PC=2a的动点P的轨迹为曲线E,满足QN=2QM的动点Q的轨迹为曲线F,当动点Q在y轴正半轴上时,DQ交曲线E于点P0(异于D),且OP0与BQ交点恰好在曲线F上,则a:c=( )
A. B. C.2 D.3
二、多项选择题:全科试题免费下载公众号《高中僧课堂》本题共4小题,每小题5分,共20分.在每小题给出的选项中,有多项符合题目要求.全部选对的得5分,部分选对的得2分,有选错的得0分.
9.下列说法中正确的有( )
A.= B.+=
C.+++…+=2n D.(1+x)4展开式中二项式系数最大的项为第三项
10.已知实数a,b>0,2a+b=4,则下列说法中正确的有( )
A.+有最小值 B.a2+b2有最小值
C.4a+2b有最小值8 D.lna+lnb有最小值ln2
11.高斯是德国著名数学家,近代数学奠基者之一,享有“数学王子”的称号,用其名字命名的“高斯函数”为:设x∈R,用[x]表示不超过x的最大整数,则y=[x]称为高斯函数.例如[-3.5]=-4,[3.5]=3.已知函数f(x)=cosx+|cosx|,函数g(x)=[f(x)],则下列说法中正确的有( )
A.函数f(x)在区间(0,π)上单调递增 B.函数f(x)图象关于直线x=kπ(k∈Z)对称
C.函数g(x)的值域是{0,1,2} D.方程g(x)=x只有一个实数根
12.在四面体ABCD的四个面中,有公共棱AC的两个面全等,AD=1,CD=,∠CDA=90°,二面角B-AC-D大小为θ,下列说法中正确的有( )
A.四面体ABCD外接球的表面积为3π B.四面体ABCD体积的最大值为
C.若AD=AB,AD⊥AB,则θ=120° D.若AD=BC,θ=120°,则BD=
三、填空题:本题共4小题,每小题5分,共20分.
13.记Sn为等比数列{an}的前n项和.若S3=4,S6=12,则S9= ▲ .
14.双曲线的左、右焦点分别为F1,F2,且右支上有一点P(p,1),则cos∠F1PF2= ▲ .
15.某个随机数选择器每次从0,1,2,3,4,5,6,7,8,9这10个数字中等可能地选择一个数字,用该随机数选择器连续进行三次选择,选出的数字依次是a,b,c,则概率P(a<b<c)= ▲ .
16.已知函数f(x)=ax2+x,若当x∈[0,1]时,|f(x+1)|≤a+1恒成立,则实数a的取值范围是 ▲ .
四、解答题:本题共6小题,共70分.解答应写出文字说明、证明过程或演算步骤.
17.(本小题满分10分)
已知数列{an}的前n项和为Sn,a1=2,Sn=an+1-2.
(1)求数列{an}的通项公式;
(2)令bn=log2an.
①cn=bnan;②cn=;③cn=(-1)n(bn)2.
从上面三个条件中任选一个,求数列{cn}的前n项和Tn.
注:如果选择多个条件分别解答,按第一个解答计分.
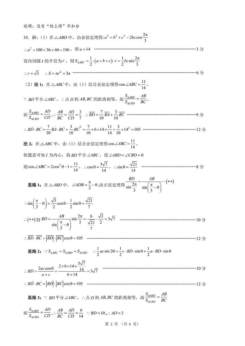
18.(本小题满分12分)
已知△ABC的内角A,B,C的对边分别为a,b,c.A=,b=10,c=6,△ABC的内切圆I的面积为S.
(1)求S的值;
(2)若点D在AC上,且B,I,D三点共线,求·的值.
19.(本小题满分12分)
在三棱柱ABC-A1B1C1中,侧面ACC1A1是菱形,∠A1AC=60°,AA1=2,AC⊥A1B.
(1)求证:BA=BC;
(2)已知AB=,A1B=2,求直线A1B与平面A1B1C所成角的正弦值.
20.(本小题满分12分)
云计算是信息技术发展的集中体现,近年来,我国云计算市场规模持续增长.从中国信息通信研究院发布的《云计算白皮书(2022年)》可知,我国2017年至2021年云计算市场规模数据统计表如下:
年份 | 2017年 | 2018年 | 2019年 | 2020年 | 2021年 |
年份代码x | 1 | 2 | 3 | 4 | 5 |
云计算市场规模y/亿元 | 692 | 962 | 1334 | 2091 | 3229 |
经计算得:=36.33,=112.85.
(1)根据以上数据,建立y关于x的回归方程ŷ=e(e为自然对数的底数).
(2)云计算为企业降低生产成本、提升产品质量提供了强大助推力.某企业未引入云计算前,单件产品尺寸与标准品尺寸的误差ε~N(0,),其中m为单件产品的成本(单位:元),且P(-1<ε<1)=0.6827;引入云计算后,单件产品尺寸与标准品尺寸的误差ε~N(0,).若保持单件产品的成本不变,则P(-1<ε<1)将会变成多少?若保持产品质量不变(即误差的概率分布不变),则单件产品的成本将会下降多少?
附:对于一组数据(x1,y1),(x2,y2),…,(xn,yn),其回归直线ŷ=x+的斜率和截距的最小二乘估计分别为=,=-.
若X~N(μ,σ2),则P(|X-μ|<σ)=0.6827,P(X-μ|<2σ)=0.9545,P(|X-μ|<3σ)=0.9973.
21.(本小题满分12分)
已知AB为抛物线G:y2=2px(p>0)的弦,点C在抛物线的准线l上.当AB过抛物线焦点F且长度为8时,AB中点M到y轴的距离为3.
(1)求抛物线G的方程;
(2)若∠ACB为直角,求证:直线AB过定点.
22.(本小题满分12分)
已知函数f(x)=e,x∈R;g(x)=cosx,x∈(-,).(e为自然对数的底数,e≈2.718).
(1)若函数h(x)=af(x)-g(x)在区间(-,)上单调递减,求实数a的取值范围;
(2)是否存在直线l同时与y=f(x)、y=g(x)的图象相切?如果存在,判断l的条数,并证明你的结论;如果不存在,说明理由.
2024扬州中学高三上学期开学考试数学试题含答案: 这是一份2024扬州中学高三上学期开学考试数学试题含答案,共10页。试卷主要包含了单项选择题,多项选择题,填空题,解答题等内容,欢迎下载使用。
2024扬州中学高三上学期开学考试数学试题含答案: 这是一份2024扬州中学高三上学期开学考试数学试题含答案,共10页。试卷主要包含了单项选择题,多项选择题,填空题,解答题等内容,欢迎下载使用。
2023扬州高一下学期开学考试数学PDF版含答案: 这是一份2023扬州高一下学期开学考试数学PDF版含答案,文件包含数学答案pdf、江苏省扬州市2022-2023学年高一下学期开学考试数学试卷pdf等2份试卷配套教学资源,其中试卷共10页, 欢迎下载使用。

