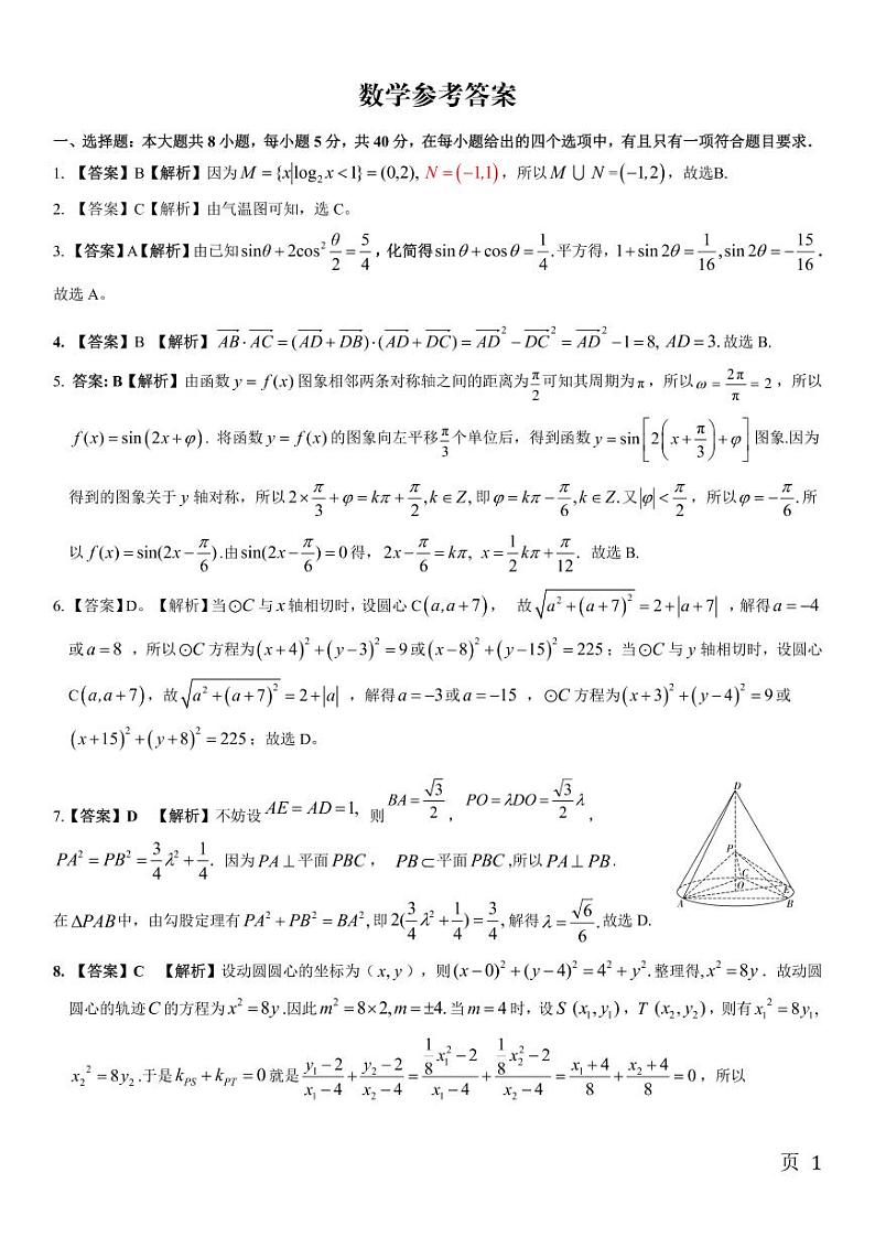
安徽省皖江名校联盟高考2023届高三下学期开学摸底联考 数学试题及答案(含答题卡)
展开2024安徽省皖江名校联盟高三上学期开学摸底考试数学PDF版含解析: 这是一份2024安徽省皖江名校联盟高三上学期开学摸底考试数学PDF版含解析,文件包含安徽省皖江名校联盟2024届高三开学摸底考试数学答案和解析pdf、安徽省皖江名校联盟2024届高三开学摸底考试数学pdf等2份试卷配套教学资源,其中试卷共10页, 欢迎下载使用。
2024届安徽省皖江名校联盟高三上学期开学摸底考试 数学 PDF版: 这是一份2024届安徽省皖江名校联盟高三上学期开学摸底考试 数学 PDF版,文件包含安徽省皖江名校联盟2024届高三开学摸底考试数学答案和解析pdf、安徽省皖江名校联盟2024届高三开学摸底考试数学pdf等2份试卷配套教学资源,其中试卷共10页, 欢迎下载使用。
数学丨皖江名校联盟2023届高三下学期开学摸底联考(E-023)数学试卷及答案: 这是一份数学丨皖江名校联盟2023届高三下学期开学摸底联考(E-023)数学试卷及答案,共12页。

