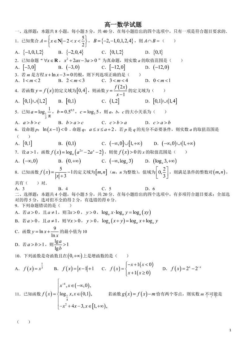
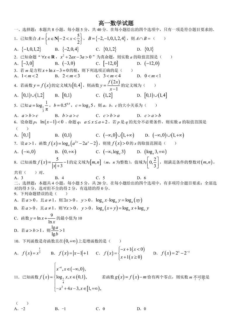
四川省成都市蓉城高中联盟2022-2023学年高一上学期期末考试数学试题及参考答案
展开2023-2024学年四川省成都市蓉城名校联盟高一上学期期末联考数学试题含答案: 这是一份2023-2024学年四川省成都市蓉城名校联盟高一上学期期末联考数学试题含答案,共14页。试卷主要包含了单选题,多选题,填空题,解答题等内容,欢迎下载使用。
四川省成都市蓉城名校联盟2023-2024学年高一上学期期末联考数学试题: 这是一份四川省成都市蓉城名校联盟2023-2024学年高一上学期期末联考数学试题,共4页。
四川省成都市蓉城高中联盟2022-2023学年高一上学期期末考试数学试题及参考答案: 这是一份四川省成都市蓉城高中联盟2022-2023学年高一上学期期末考试数学试题及参考答案,文件包含第3套四川省四川外国语大学附属外国语学校2022-2023学年高一上学期期末数学试题pdf、第4套四川省成都市蓉城高中联盟2022-2023学年高一上学期期末考试数学试题pdf等2份试卷配套教学资源,其中试卷共8页, 欢迎下载使用。

