新高考数学二轮复习专题一第5讲母题突破1导数与不等式的证明课件
展开1.利用导数研究函数的单调性与极值(最值)是高考的常见题型,而导数与函数、 不等式、方程、数列等的交汇命题是高考的热点和难点.2.多以解答题的形式压轴出现,难度较大.
母题突破1 导数与不等式的证明
已知函数f(x)=ex-x2.(1)求曲线f(x)在x=1处的切线方程;
思路分析❶求切线方程 ↓❷f(x)≥(e-2)x+1 ↓❸ex-x2-(e-2)x-1≥0 ↓❹ex+(2-e)x-1≥x2 ↓
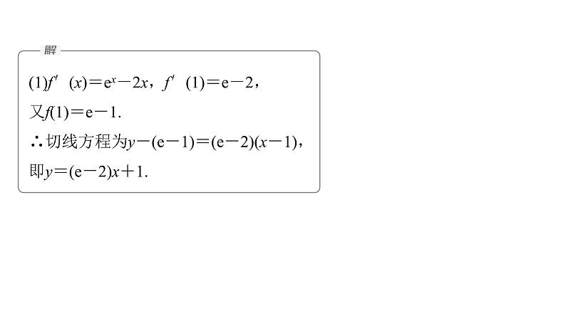
(1)f′(x)=ex-2x,f′(1)=e-2,又f(1)=e-1.∴切线方程为y-(e-1)=(e-2)(x-1),即y=(e-2)x+1.
(2)令φ(x)=f(x)-[(e-2)x+1]=ex-x2-(e-2)x-1(x>0),φ′(x)=ex-2x-(e-2),令t(x)=φ′(x)=ex-2x-(e-2),t′(x)=ex-2,当x∈(0,ln 2)时,t′(x)<0,当x∈(ln 2,+∞)时,t′(x)>0,∴φ′(x)在(0,ln 2)上单调递减,在(ln 2,+∞)上单调递增,又φ′(0)=3-e>0,φ′(1)=0,∴φ′(ln 2)<0,∴∃x0∈(0,ln 2)使φ′(x0)=0,即当x∈(0,x0)∪(1,+∞)时,φ′(x)>0,x∈(x0,1)时,φ′(x)<0,∴φ(x)在(0,x0)上单调递增,
在(x0,1)上单调递减,在(1,+∞)上单调递增,又φ(0)=0,φ(1)=0,∴φ(x)min=0,∴φ(x)≥0,即ex-x2-(e-2)x-1≥0,
令h(x)=x-ln x-1(x>0),
h(x)在(0,1)上单调递减,在(1,+∞)上单调递增,∴h(x)min=h(1)=0,∴h(x)≥0,即x≥ln x+1,则原不等式成立.
令φ(x)=ex-x-1,x>0,∴φ′(x)=ex-1>0,∴φ(x)在(0,+∞)上单调递增,∴φ(x)>φ(0)=0,即ex-x-1>0.
∴h(x)在(0,+∞)上单调递增,∴h(x)>h(0)=0,
∴F(x)在(0,+∞)上单调递减,当x→0时,F(x)→1,∴F(x)<1,
设函数g(x)=x(1-ln x),则g′(x)=-ln x,当x∈(0,1)时,g′(x)>0,函数g(x)在(0,1)上单调递增,所以g(x)
则函数t(x)在(0,1)上单调递减,则t(x)>t(1)=ln 1-12+1=0,
利用导数证明不等式问题的方法(1)直接构造函数法:证明不等式f(x)>g(x)(或f(x)
f(x)=ln(1-x),
∵x>0,ln(1-x)<0, ∴xln(1-x)<0,即证x+ln(1-x)>xln(1-x),化简得x+(1-x)ln(1-x)>0;同理,当x∈(-∞,0)时,
∵x<0,ln(1-x)>0,∴xln(1-x)<0,即证x+ln(1-x)>xln(1-x),化简得x+(1-x)ln(1-x)>0,令h(x)=x+(1-x)ln(1-x),再令t=1-x,则t∈(0,1)∪(1,+∞),x=1-t,令g(t)=1-t+tln t,t∈(0,1)∪(1,+∞),g′(t)=-1+ln t+1=ln t,
当t∈(0,1)时,g′(t)<0,g(t)单调递减,假设g(1)能取到,则g(1)=0,故g(t)>g(1)=0;当t∈(1,+∞)时,g′(t)>0,g(t)单调递增,假设g(1)能取到,则g(1)=0,故g(t)>g(1)=0,
2.已知函数f(x)=ex-a-ln(x+a).当a≤1时,证明:f(x)>0.
先证不等式ex≥x+1与x-1≥ln x,设g(x)=ex-x-1,则g′(x)=ex-1=0⇒x=0,可得g(x)在(-∞,0)上单调递减,在(0,+∞)上单调递增,所以g(x)=ex-x-1≥g(0)=0,即ex≥x+1;
可得h(x)在(0,1)上单调递减,在(1,+∞)上单调递增,所以h(x)=x-1-ln x≥h(1)=0,即x-1≥ln x.
于是,当a≤1时,ex-a≥x-a+1≥x+a-1≥ln(x+a),注意到以上三个不等号的取等条件分别为x=a,a=1,x+a=1,它们无法同时取等,所以当a≤1时,ex-a>ln(x+a),即f(x)>0.
1.(2022·吕梁模拟)已知函数f(x)=ex-x-1.(1)求函数f(x)的单调区间和极值;
易知函数f(x)的定义域为R,∵f(x)=ex-x-1,∴f′(x)=ex-1,令f′(x)=ex-1>0,解得x>0,∴f(x)在(0,+∞)上单调递增,令f′(x)=ex-1<0,解得x<0,∴f(x)在(-∞,0)上单调递减,即f(x)的单调递增区间为(0,+∞),单调递减区间为(-∞,0),∴函数f(x)的极小值为f(0)=0,无极大值.
要证原不等式成立,即证g(x)≥0成立,∵g′(x)=ex-x+sin x,又∵sin x≥-1,
由(1)知ex-x-1≥0(当x=0时等号成立),∴g′(x)>0,∴g(x)在(0,+∞)上单调递增,∴g(x)≥g(0)=0.
2.(2022·鹤壁模拟)设函数f(x)=ln(a-x)-x+e.(1)求函数f(x)的单调区间;
函数f(x)=ln(a-x)-x+e的定义域为(-∞,a),
因为当x当a=e时,f(x)=ln(e-x)-x+e,
所以当0
专题一 第5讲 母题突破1 导数与不等式的证明 2024年高考数学大二轮复习课件(含讲义): 这是一份专题一 第5讲 母题突破1 导数与不等式的证明 2024年高考数学大二轮复习课件(含讲义),文件包含专题一第5讲母题突破1导数与不等式的证明pptx、专题一第5讲母题突破1导数与不等式的证明教师版docx、专题一第5讲母题突破1导数与不等式的证明docx等3份课件配套教学资源,其中PPT共36页, 欢迎下载使用。
新高考数学二轮复习考点突破课件 第1部分 专题突破 专题1 第5讲 母题突破1 导数与不等式的证明(含解析): 这是一份新高考数学二轮复习考点突破课件 第1部分 专题突破 专题1 第5讲 母题突破1 导数与不等式的证明(含解析),共34页。PPT课件主要包含了考情分析,规律方法,专题强化练等内容,欢迎下载使用。
新高考版高考数学二轮复习(新高考版) 第1部分 专题突破 专题1 第5讲 母题突破1 导数与不等式的证明课件PPT: 这是一份新高考版高考数学二轮复习(新高考版) 第1部分 专题突破 专题1 第5讲 母题突破1 导数与不等式的证明课件PPT,共36页。PPT课件主要包含了高考数学二轮复习策略,专题强化练等内容,欢迎下载使用。

