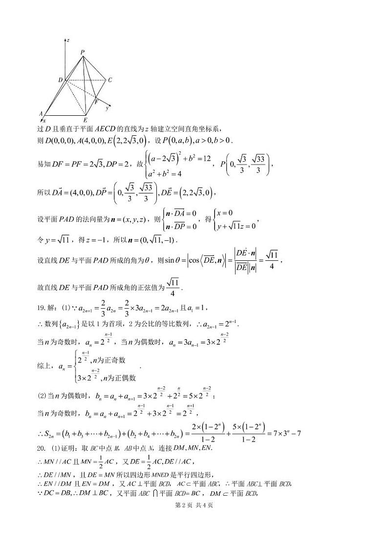
辽宁省实验中学 2022-2023 学年度上学期期中阶段测试高三数学试卷及参考答案
展开辽宁省实验中学2024届高三上学期期中阶段测试数学试卷(含答案): 这是一份辽宁省实验中学2024届高三上学期期中阶段测试数学试卷(含答案),共18页。试卷主要包含了选择题,多项选择题,填空题,解答题等内容,欢迎下载使用。
辽宁省实验中学2023-2024学年高一上学期12月阶段测试数学试卷: 这是一份辽宁省实验中学2023-2024学年高一上学期12月阶段测试数学试卷,共6页。
辽宁省实验2023-2024高一上学期期中阶段测试数学试卷及答案: 这是一份辽宁省实验2023-2024高一上学期期中阶段测试数学试卷及答案,共8页。

