资料中包含下列文件,点击文件名可预览资料内容
还剩3页未读,
继续阅读
2023届湘豫名校联考高三上学期11月一轮复习诊断考试(二)11.24-25 数学理试题 PDF版
展开
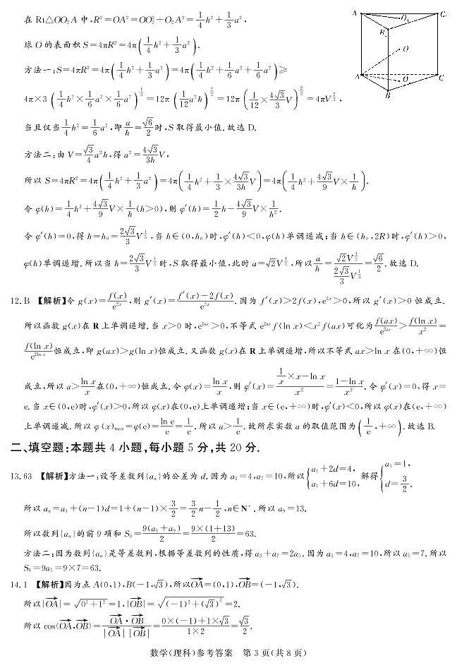
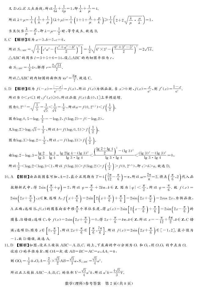
这是一份2023届湘豫名校联考高三上学期11月一轮复习诊断考试(二)11.24-25 数学理试题 PDF版,文件包含202211湘豫名校联考高三数学理--答案pdf、湘豫名校联考2022年11月高三一轮复习诊断考试二数学理科pdf等2份试卷配套教学资源,其中试卷共14页, 欢迎下载使用。
相关试卷
2024湘豫名校联考高三上学期一轮复习诊断考试(三)数学PDF版含解析:
这是一份2024湘豫名校联考高三上学期一轮复习诊断考试(三)数学PDF版含解析,文件包含湘豫名校联考2023-2024学年12月高三一轮复习诊断考试三数学答案pdf、湘豫名校联考2023-2024学年12月高三一轮复习诊断考试三数学pdf等2份试卷配套教学资源,其中试卷共14页, 欢迎下载使用。
2024届湘豫名校联考高三上学期9月一轮复习诊断考试(一) 数学 PDF版:
这是一份2024届湘豫名校联考高三上学期9月一轮复习诊断考试(一) 数学 PDF版,共13页。
2024湘豫名校联考高三上学期9月一轮复习诊断考试(一)数学PDF版含解析:
这是一份2024湘豫名校联考高三上学期9月一轮复习诊断考试(一)数学PDF版含解析,共13页。

