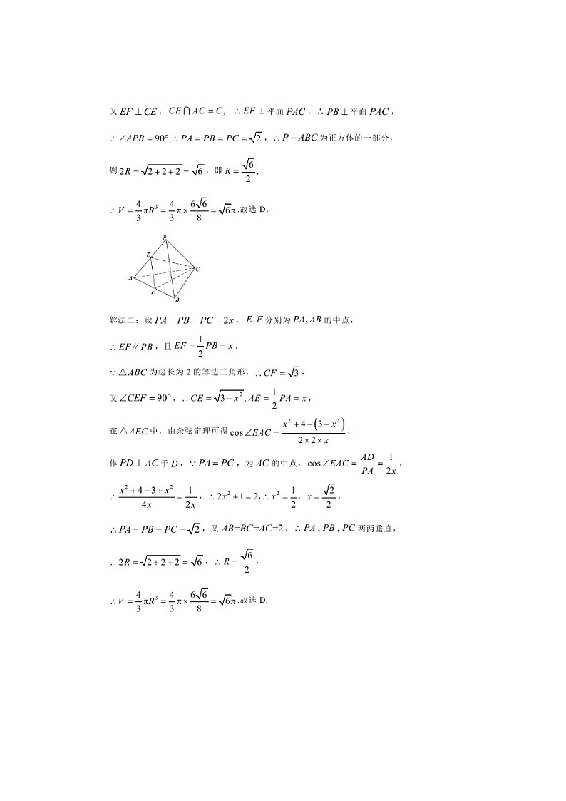
高考数学二轮专题 外接球内切球最全(含详解)
展开这是一份高考数学二轮专题 外接球内切球最全(含详解)
相关试卷
这是一份专题42 外接球与内切球(讲义)(原卷版),共9页。试卷主要包含了外接球,内切球等内容,欢迎下载使用。
这是一份专题十 内切球模型-备战2024年高考数学之解密几何体的外接球与内切球十大模型命题点对点突破,文件包含专题十内切球模型原卷版docx、专题十内切球模型解析版docx等2份试卷配套教学资源,其中试卷共10页, 欢迎下载使用。
这是一份高考数学二轮专题复习 外接球、内切球、棱切球问题(2份打包,教师版+原卷版),文件包含外接球内切球棱切球问题解析版pdf、外接球内切球棱切球问题学生版pdf等2份试卷配套教学资源,其中试卷共31页, 欢迎下载使用。

