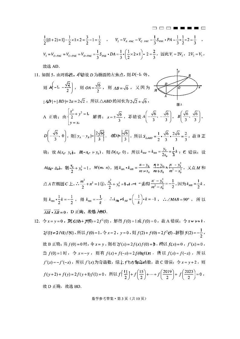
2023云南师大附中高三上学期11月高考适应性月考卷(五)数学PDF版含解析
展开2024云南师大附中高三高考适应性月考卷(七)数学PDF版含解析: 这是一份2024云南师大附中高三高考适应性月考卷(七)数学PDF版含解析,文件包含云南师大附中2024届高考适应性月考卷七数学云南版-答案docx、云南师大附中2024届高考适应性月考卷七数学pdf、数学•双向细目表docx等3份试卷配套教学资源,其中试卷共19页, 欢迎下载使用。
云南师大附中2024届高考适应性月考卷(五)数学(原卷版+含解析): 这是一份云南师大附中2024届高考适应性月考卷(五)数学(原卷版+含解析),共13页。
2024云南师大附中高三上学期高考适应性月考卷(四)数学PDF版含解析、答题卡: 这是一份2024云南师大附中高三上学期高考适应性月考卷(四)数学PDF版含解析、答题卡,共11页。

