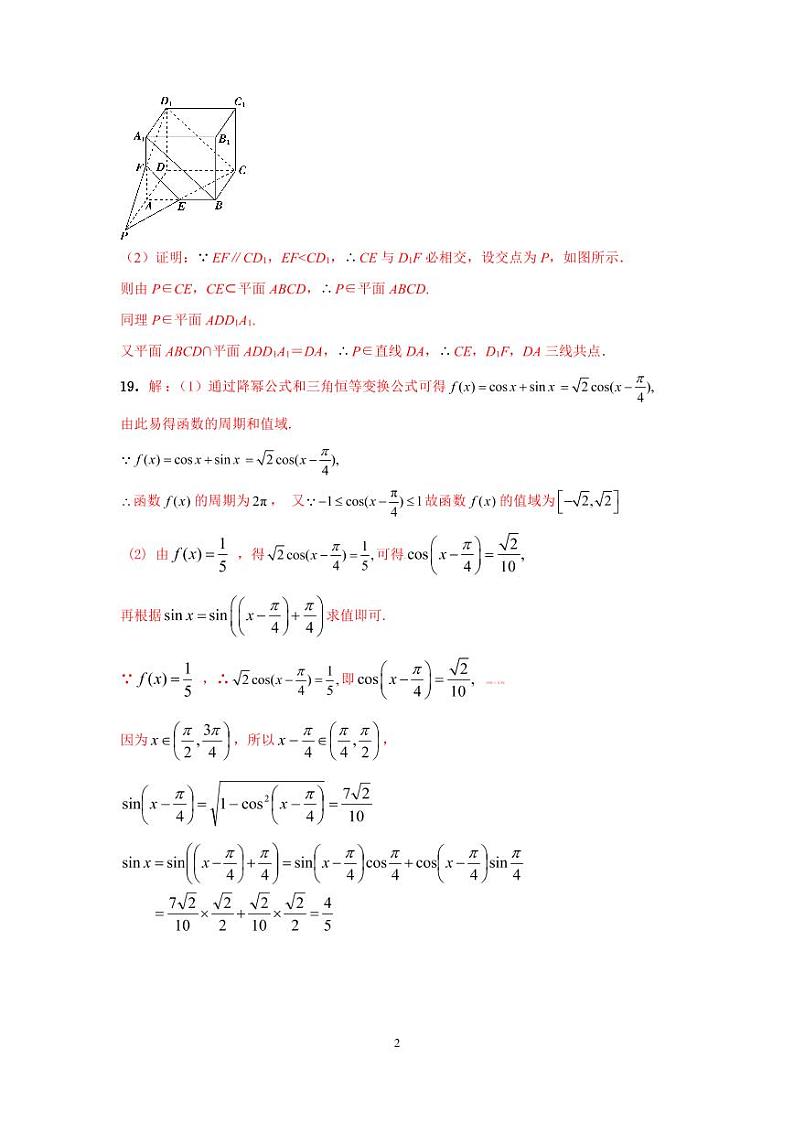
2021扬州中学高一下学期期中考试数学PDF版含答案
展开2023扬州高一下学期开学考试数学PDF版含答案: 这是一份2023扬州高一下学期开学考试数学PDF版含答案,文件包含数学答案pdf、江苏省扬州市2022-2023学年高一下学期开学考试数学试卷pdf等2份试卷配套教学资源,其中试卷共10页, 欢迎下载使用。
2021扬州中学高一上学期期中考试数学试题(可编辑)PDF版含答案: 这是一份2021扬州中学高一上学期期中考试数学试题(可编辑)PDF版含答案,文件包含江苏省扬州中学2020-2021学年高一上学期期中考试数学答案pdf、江苏省扬州中学2020-2021学年高一上学期期中考试数学试题pdf等2份试卷配套教学资源,其中试卷共8页, 欢迎下载使用。
2021扬州中学高一下学期3月月考数学试题PDF版缺答案: 这是一份2021扬州中学高一下学期3月月考数学试题PDF版缺答案

