2021安徽省示范高中培优联盟高二上学期冬季联赛数学(理)试题PDF版含答案
展开2021安徽省示范高中培优联盟高二上学期冬季联赛数学(文)试题PDF版含答案: 这是一份2021安徽省示范高中培优联盟高二上学期冬季联赛数学(文)试题PDF版含答案,文件包含冬季联赛高二文科数学参考答案pdf、2020冬联高二文数答卡pdf、2020年冬赛高二文数pdf等3份试卷配套教学资源,其中试卷共9页, 欢迎下载使用。
2021安徽省示范高中培优联盟高二上学期冬季联赛数学(理)含答案: 这是一份2021安徽省示范高中培优联盟高二上学期冬季联赛数学(理)含答案
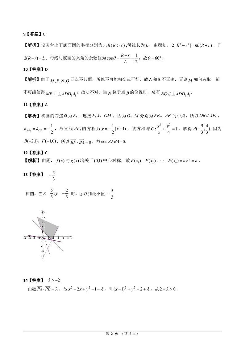
安徽省示范高中培优联盟2021-2022学年高二上学期冬季联赛数学含解析: 这是一份安徽省示范高中培优联盟2021-2022学年高二上学期冬季联赛数学含解析,共11页。试卷主要包含了答第II卷时,必须使用0,函数y=的图象大致是等内容,欢迎下载使用。

