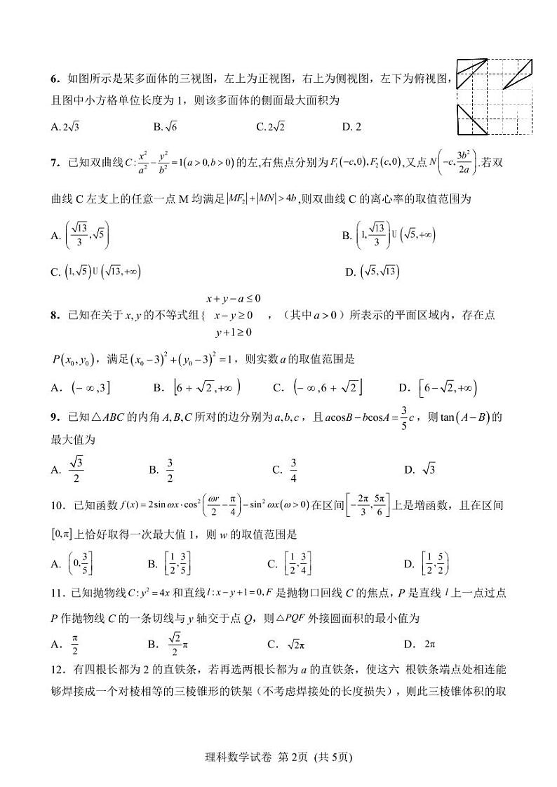
2020湖南湖北四校高三学情调研联考数学(理)试题PDF版含答案
展开2020湖南省天壹名校联盟高三12月大联考数学(理)试题PDF版含解析: 这是一份2020湖南省天壹名校联盟高三12月大联考数学(理)试题PDF版含解析,文件包含理科数学参考答案pdf、理科数学试卷pdf、理科数学答题卡pdf等3份试卷配套教学资源,其中试卷共11页, 欢迎下载使用。
2020南昌四校联盟高三第二次联考数学(理)试题PDF版含解析: 这是一份2020南昌四校联盟高三第二次联考数学(理)试题PDF版含解析
2020湖南湖北四校高三学情调研联考数学(文)试题PDF版含答案: 这是一份2020湖南湖北四校高三学情调研联考数学(文)试题PDF版含答案

