2021山西省高三下学期3月高考考前适应性测试文科数学试卷含答案
展开2021山西省高三下学期3月高考考前适应性调研考试(一模)文科数学试题含答案: 这是一份2021山西省高三下学期3月高考考前适应性调研考试(一模)文科数学试题含答案
2021山西省高三下学期4月高考考前适应性测试(二模)文科数学试题扫描版含答案: 这是一份2021山西省高三下学期4月高考考前适应性测试(二模)文科数学试题扫描版含答案,文件包含2021届山西省高考考前适应性测试二模文科数学试题PDF版pdf、2021年山西省高考考前适应性测试二文科数学答案pdf等2份试卷配套教学资源,其中试卷共8页, 欢迎下载使用。
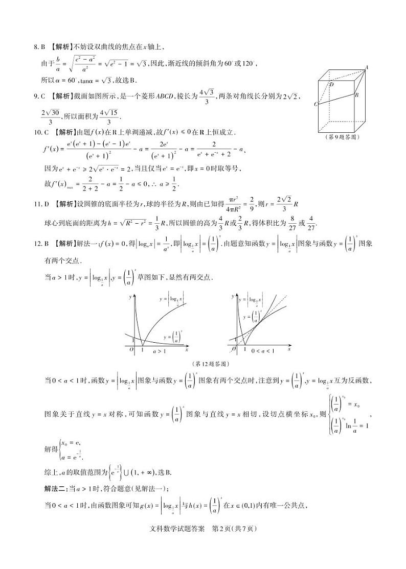
2021山西省高三下学期4月高考考前适应性测试(二模)数学(理)含答案: 这是一份2021山西省高三下学期4月高考考前适应性测试(二模)数学(理)含答案,共10页。试卷主要包含了1 B,已知F为双曲线C等内容,欢迎下载使用。

