(新高考)高考数学一轮复习课件第7章§7.6《空间向量的概念与运算》(含解析)
展开1.了解空间向量的概念,了解空间向量的基本定理及其意义,掌握空间向量的正交分 解及其坐标表示.2.掌握空间向量的线性运算及其坐标表示,掌握空间向量的数量积及其坐标表示,能 用向量的数量积判断向量的共线和垂直.3.理解直线的方向向量及平面的法向量,能用向量方法证明立体几何中有关线面位置 关系的一些简单定理.
LUOSHIZHUGANZHISHI
1.空间向量的有关概念
2.空间向量的有关定理(1)共线向量定理:对任意两个空间向量a,b(b≠0),a∥b的充要条件是存在实数λ,使 .(2)共面向量定理:如果两个向量a,b不共线,那么向量p与向量a,b共面的充要条件是存在 的有序实数对(x,y),使p= .(3)空间向量基本定理如果三个向量a,b,c不共面,那么对任意一个空间向量p,存在唯一的有序实数组(x,y,z),使得p= ,{a,b,c}叫做空间的一个基底.
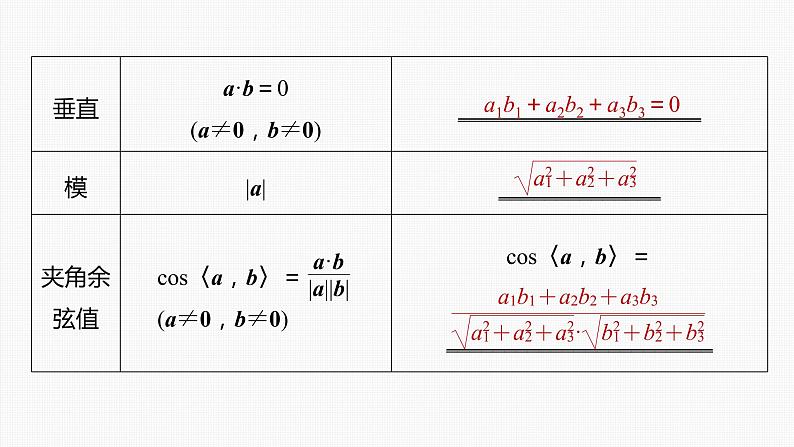
3.空间向量的数量积及运算律(1)数量积非零向量a,b的数量积a·b= .(2)空间向量的坐标表示及其应用设a=(a1,a2,a3),b=(b1,b2,b3).
|a||b|cs〈a,b〉
a1b1+a2b2+a3b3
a1=λb1,a2=λb2,a3=λb3
a1b1+a2b2+a3b3=0
4.空间位置关系的向量表示(1)直线的方向向量:如果表示非零向量a的有向线段所在直线与直线l平行或重合,则称此向量a为直线l的方向向量.(2)平面的法向量:直线l⊥α,取直线l的方向向量a,则向量a为平面α的法向量.(3)空间位置关系的向量表示
判断下列结论是否正确(请在括号中打“√”或“×”)(1)直线的方向向量是唯一确定的.( )(2)若直线a的方向向量和平面α的法向量平行,则a∥α.( )(3)在空间直角坐标系中,在Oyz平面上的点的坐标一定是(0,b,c).( )(4)若a·b<0,则〈a,b〉是钝角.( )
1.若{a,b,c}为空间向量的一个基底,则下列各项中,能构成空间向量的一个基底的是A.{a,a+b,a-b}B.{b,a+b,a-b}C.{c,a+b,a-b}D.{a+b,a-b,a+2b}
∵λa+μb(λ,μ∈R)与a,b共面.∴A,B,D不正确.
由题意,根据向量运算的几何运算法则,
3.设直线l1,l2的方向向量分别为a=(-2,2,1),b=(3,-2,m),若l1⊥l2,则m=____.
∵l1⊥l2,∴a⊥b,∴a·b=-6-4+m=0,∴m=10.
TANJIUHEXINTIXING
∵P是C1D1的中点,
用基向量表示指定向量的方法(1)结合已知向量和所求向量观察图形.(2)将已知向量和所求向量转化到三角形或平行四边形中.(3)利用三角形法则或平行四边形法则把所求向量用已知基向量表示出来.
空间向量基本定理及其应用
(2)判断点M是否在平面ABC内.
所以M,A,B,C四点共面,从而点M在平面ABC内.
所以M,A,B,C四点共面,从而M在平面ABC内.
跟踪训练2 (1)(多选)(2022·武汉质检)下列说法中正确的是A.|a|-|b|=|a+b|是a,b共线的充要条件
由|a|-|b|=|a+b|,可得向量a,b的方向相反,此时向量a,b共线,反之,当向量a,b同向时,不能得到|a|-|b|=|a+b|,所以A不正确;
由A,B,C三点不共线,对空间任意一点O,
可得P,A,B,C四点共面,故C正确;若P,A,B,C为空间四点,
当λ+μ=1时,即μ=1-λ,
所以A,B,C三点共线,反之也成立,即λ+μ=1是A,B,C三点共线的充要条件,所以D正确.
∴M,A,B,C四点共面.即点M∈平面ABC.
例3 如图所示,已知空间四边形ABCD的每条边和对角线长都等于1,点E,F,G分别是AB,AD,CD的中点,计算:
空间向量数量积及其应用
则|a|=|b|=|c|=1,〈a,b〉=〈b,c〉=〈c,a〉=60°,
(2)求异面直线AG和CE所成角的余弦值.
设正方体内切球的球心为O,则OM=ON=1,
又P在正方体表面上移动,
由向量数量积的定义知,要求a与b的数量积,需已知|a|,|b|和〈a,b〉,a与b的夹角与方向有关,一定要根据方向正确判定夹角的大小,才能使a·b计算准确.
跟踪训练3 如图所示,在四棱柱ABCDA1B1C1D1中,底面为平行四边形,以顶点A为端点的三条棱长都为1,且两两夹角为60°.(1)求AC1的长;
=a2+b2+c2+2(a·b+b·c+c·a)
(2)求证:AC1⊥BD;
=a·b+|b|2+b·c-|a|2-a·b-a·c=0.
(3)求BD1与AC夹角的余弦值.
=b2-a2+a·c+b·c=1.
例4 如图,在四棱锥P-ABCD中,PA⊥底面ABCD,AD⊥AB,AB∥DC,AD=DC=AP=2,AB=1,点E为棱PC的中点.证明:(1)BE⊥DC;
依题意,以点A为坐标原点建立空间直角坐标系(如图),可得B(1,0,0),C(2,2,0),D(0,2,0),P(0,0,2).由E为棱PC的中点,得E(1,1,1).
(2)BE∥平面PAD;
因为AB⊥AD,又PA⊥平面ABCD,AB⊂平面ABCD,所以AB⊥PA,PA∩AD=A,PA,AD⊂平面PAD,所以AB⊥平面PAD,
所以BE⊥AB,又BE⊄平面PAD,所以BE∥平面PAD.
(3)平面PCD⊥平面PAD.
设平面PCD的一个法向量为n=(x,y,z),
令y=1,可得n=(0,1,1)为平面PCD的一个法向量.
所以平面PAD⊥平面PCD.
(1)求证:EF∥平面A1B1BA;
因为AB=AC,E为BC的中点,所以AE⊥BC.因为AA1⊥平面ABC,AA1∥BB1,所以以过E作平行于BB1的垂线为z轴,EC,EA所在直线分别为x轴、y轴,建立如图所示的空间直角坐标系.
设平面AA1B1B的一个法向量为n=(x,y,z),
又EF⊄平面A1B1BA,所以EF∥平面A1B1BA.
(2)求证:平面AEA1⊥平面BCB1.
因为EC⊥平面AEA1,
又EA⊥平面BCB1,
故平面AEA1⊥平面BCB1.
(1)利用向量法证明平行、垂直关系,关键是建立恰当的坐标系(尽可能利用垂直条件,准确写出相关点的坐标,进而用向量表示涉及到直线、平面的要素).(2)向量证明的核心是利用向量的数量积或数乘向量,但向量证明仍然离不开立体几何的有关定理.
跟踪训练4 如图,在四棱锥P-ABCD中,底面ABCD是边长为a的正方形,侧面PAD⊥底面ABCD,且PA=PD= AD,设E,F分别为PC,BD的中点.求证:(1)EF∥平面PAD;
如图,取AD的中点O,连接OP,OF.
因为PA=PD,所以PO⊥AD.又侧面PAD⊥底面ABCD,平面PAD∩平面ABCD=AD,PO⊂平面PAD,所以PO⊥平面ABCD.又O,F分别为AD,BD的中点,所以OF∥AB.又四边形ABCD是正方形,所以OF⊥AD.
如图,以O为坐标原点,OA,OF,OP所在直线分别为x轴、y轴、z轴建立空间直角坐标系,
易知平面PAD的一个法向量为
且EF⊄平面PAD,所以EF∥平面PAD.
(2)平面PAB⊥平面PDC.
所以PA⊥CD.又PA⊥PD,PD∩CD=D,PD,CD⊂平面PDC,所以PA⊥平面PDC.又PA⊂平面PAB,所以平面PAB⊥平面PDC.
KESHIJINGLIAN
1.已知a=(2,1,-3),b=(0,-3,2),c=(-2,1,2),则a·(b+c)等于
因为b+c=(-2,-2,4),所以a·(b+c)=-4-2-12=-18.
A.必要不充分条件B.充分不必要条件C.充要条件D.既不充分也不必要条件
由x+y+z=1,得P,A,B,C四点共面,当P,A,B,C四点共面时,x+y+z=1,显然不止2,-3,2.故“x=2,y=-3,z=2”是“P,A,B,C四点共面”的充分不必要条件.
3.已知空间向量a=(1,0,1),b=(1,1,n),且a·b=3,则向量a与b的夹角为
由题意,a·b=1+0+n=3,解得n=2,
又〈a,b〉∈[0,π],
4.直线l的一个方向向量为(2,1,1),平面α的一个法向量为(4,2,2),则A.l∥αB.l⊥αC.l∥α或l⊂αD.l与α的位置关系不能判断
直线l的一个方向向量为(2,1,1),平面α的一个法向量为(4,2,2),显然它们共线,所以l⊥α.
因为B(-1,1,4),C(2,-1,3),
所以点P的坐标为(4,-2,2)或(-2,2,4).
6.(多选)已知空间中三点A(0,1,0),B(2,2,0),C(-1,3,1),则下列结论正确的有
所以C正确;对于D,设平面ABC的法向量是n=(x,y,z),
令x=1,则n=(1,-2,5),所以D正确.
7.已知a=(x,1,1),b=(-2,2,y),a·b=0,则2x-y=___.
因为a=(x,1,1),b=(-2,2,y),a·b=0,所以-2x+2+y=0,2x-y=2.
9.如图所示,在直三棱柱ABC-A1B1C1中,CA=CB=1,∠BCA=90°,棱AA1=2,M,N分别是A1B1,A1A的中点.
以C为坐标原点,CA,CB,CC1所在直线分别为x轴、y轴、z轴建立空间直角坐标系,如图.
B(0,1,0),N(1,0,1),
∵A1(1,0,2),B(0,1,0),C(0,0,0),B1(0,1,2),
(3)求证:A1B⊥C1M.
10.如图,在四棱锥P-ABCD中,PD⊥底面ABCD,底面ABCD为正方形,PD=DC,E,F分别是AB,PB的中点.
(1)求证:EF⊥CD;
设AD=a,则D(0,0,0),A(a,0,0),B(a,a,0),C(0,a,0),
如图,以D为坐标原点,分别以DA,DC,DP所在直线为x轴、y轴、z轴建立空间直角坐标系,
(2)在平面PAD内求一点G,使GF⊥平面PCB.
即G为AD的中点时,GF⊥平面PCB.
11.(多选)(2022·山东百师联盟大联考)下面四个结论正确的是A.向量a,b(a≠0,b≠0),若a⊥b,则a·b=0
D.任意向量a,b,c满足(a·b)·c=a·(b·c)
由向量垂直的充要条件可得A正确;
∴A,B,C三点共线,故B正确;当x=-3时,两个向量共线,夹角为π,故C错误;由于向量的数量积运算不满足结合律,故D错误.
12.(多选)(2022·重庆市第七中学月考)给出下列命题,其中为假命题的是A.已知n为平面α的一个法向量,m为直线l的一个方向向量,若n⊥m,则 l∥α
B.已知n为平面α的一个法向量,m为直线l的一个方向向量,若〈n,m〉 = ,则l与α所成角为C.若两个不同的平面α,β的法向量分别为u,v,且u=(1,2,-2),v= (-2,-4,4),则α∥βD.已知空间的三个向量a,b,c,则对于空间的任意一个向量p,总存在 实数x,y,z使得p=xa+yb+zc
对于A,由题意可得l∥α或l⊂α,故A错误;
=(1,2,-2),所以u∥v,故α∥β,故C正确;
对于D,当空间的三个向量a,b,c不共面时,对于空间的任意一个向量p,总存在实数x,y,z使得p=xa+yb+zc,故D错误.
13.(2022·杭州模拟)在棱长为1的正方体ABCD-A1B1C1D1中,E,F分别为A1D1,BB1的中点,则cs∠EAF=____;EF=_____.
如图,以A为坐标原点,AB,AD,AA1所在直线分别为x轴、y轴、z轴建立空间直角坐标系,
因为点Q在直线OP上,所以设点Q(λ,λ,2λ),
16.(2022·株州模拟)如图,棱柱ABCD-A1B1C1D1的所有棱长都等于2,∠ABC和∠A1AC均为60°,平面AA1C1C⊥平面ABCD.(1)求证:BD⊥AA1;
设BD与AC交于点O,则BD⊥AC,连接A1O,在△AA1O中,AA1=2,AO=1,∠A1AO=60°,
由于平面AA1C1C⊥平面ABCD,且平面AA1C1C∩平面ABCD=AC,A1O⊂平面AA1C1C,所以A1O⊥平面ABCD.
以O为坐标原点,OB,OC,OA1所在直线分别为x轴、y轴、z轴,建立如图所示的空间直角坐标系,
(2)在直线CC1上是否存在点P,使BP∥平面DA1C1,若存在,求出点P的位置,若不存在,请说明理由.
假设在直线CC1上存在点P,使BP∥平面DA1C1,
设平面DA1C1的一个法向量为n1=(x1,y1,z1),
新高考数学一轮复习讲练测课件第7章§7.6空间向量的概念与运算 (含解析): 这是一份新高考数学一轮复习讲练测课件第7章§7.6空间向量的概念与运算 (含解析),共60页。PPT课件主要包含了落实主干知识,探究核心题型,课时精练,同一个平面,a=λb,xa+yb,xa+yb+zc,同理可排除CD,VA∥平面PMN,∴A1C⊥AD1等内容,欢迎下载使用。
2024届高考数学一轮复习(新教材人教A版强基版)第七章立体几何与空间向量7.6空间向量的概念与运算课件: 这是一份2024届高考数学一轮复习(新教材人教A版强基版)第七章立体几何与空间向量7.6空间向量的概念与运算课件,共60页。PPT课件主要包含了落实主干知识,探究核心题型,课时精练,同一个平面,a=λb,xa+yb,xa+yb+zc,-12,同理可排除CD,VA∥平面PMN等内容,欢迎下载使用。
2024年高考数学一轮复习(新高考版) 第7章 §7.6 空间向量的概念与运算课件PPT: 这是一份2024年高考数学一轮复习(新高考版) 第7章 §7.6 空间向量的概念与运算课件PPT,共60页。PPT课件主要包含了落实主干知识,探究核心题型,课时精练,同一个平面,a=λb,xa+yb,xa+yb+zc,同理可排除CD,VA∥平面PMN,∴A1C⊥AD1等内容,欢迎下载使用。

