还剩10页未读,
继续阅读
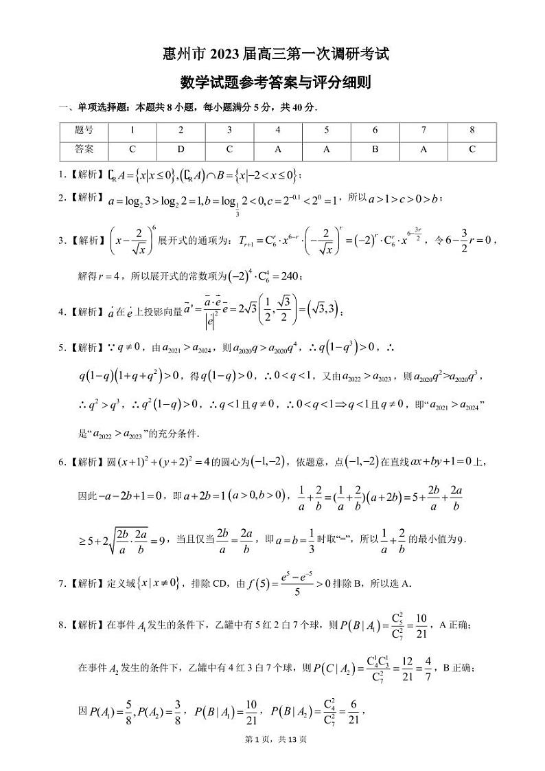
广东省惠州市一调2023届高三第一次调研考试数学答案与评分细则
展开
这是一份广东省惠州市一调2023届高三第一次调研考试数学答案与评分细则,共13页。
相关试卷
【定稿】【参考答案】福州市2021届高三数学5月调研卷参考答案与评分细则:
这是一份【定稿】【参考答案】福州市2021届高三数学5月调研卷参考答案与评分细则,共13页。
广东省惠州市2024届高三第一次调研考试数学试卷+答案:
这是一份广东省惠州市2024届高三第一次调研考试数学试卷+答案,共16页。
惠州市2024届高三第一次调研考试数学参考答案与评分细则:
这是一份惠州市2024届高三第一次调研考试数学参考答案与评分细则,共11页。

