人教A版高考数学一轮总复习第4章微专题进阶课4三角函数解析式中“ω”的求法教学课件
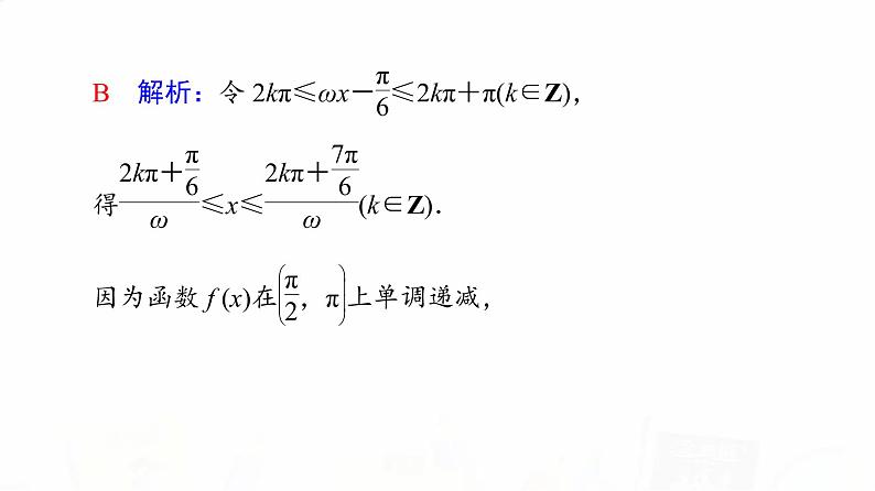
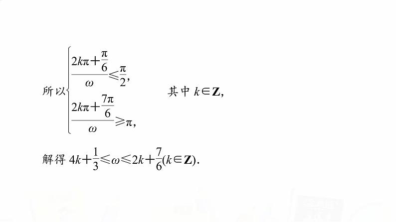
展开微专题进阶课(四) 三角函数解析式中“ω”的求法第四章 三角函数与解三角形谢谢观看 THANK YOU!
2024届人教A版高考数学一轮复习第4章三角函数思维深化微课堂三角函数解析式中“ω”的求法课件: 这是一份2024届人教A版高考数学一轮复习第4章三角函数思维深化微课堂三角函数解析式中“ω”的求法课件,共18页。
高考数学一轮复习第4章微课堂三角函数解析式中“ω”的求法课件: 这是一份高考数学一轮复习第4章微课堂三角函数解析式中“ω”的求法课件,共22页。
人教A版高考数学一轮总复习第8章微专题进阶课10“设而不求”在解析几何中的应用教学课件: 这是一份人教A版高考数学一轮总复习第8章微专题进阶课10“设而不求”在解析几何中的应用教学课件,共10页。

