人教B版高考数学一轮总复习27正弦定理与余弦定理的应用习题课件
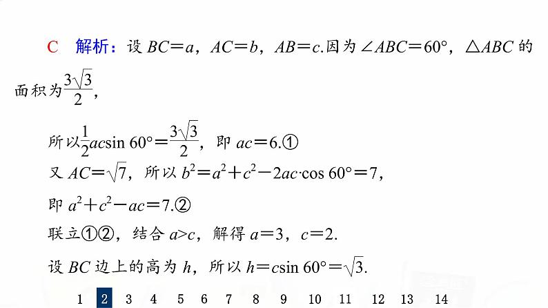
展开二十七 正弦定理与余弦定理的应用(建议用时:45分钟)01A组 全考点巩固练13524687910111213141352468791011121314135246879101112131421345687910111213142134568791011121314312456879101112131431245687910111213144123568791011121314412356879101112131424513687910111213142451368791011121314245136879101112131424513687910111213142451376891011121314245137689101112131424513867910111213142451386791011121314245138679101112131402B组 新高考培优练92451386710111213149245138671011121314924513867101112131492451386710111213149245138671011121314924513867101112131492451386710111213149245138671011121314924513867101112131492451386710111213149245138671011121314924513867101112131492451386710111213149245138671011121314924513867101112131492451386710111214139245138671011121413924513867101112141392451386710111214139245138671011121413谢谢观看 THANK YOU!
人教B版高考数学一轮总复习55统计模型习题课件: 这是一份人教B版高考数学一轮总复习55统计模型习题课件,共33页。PPT课件主要包含了A组全考点巩固练,B组新高考培优练等内容,欢迎下载使用。
人教B版高考数学一轮总复习47椭圆习题课件: 这是一份人教B版高考数学一轮总复习47椭圆习题课件,共36页。PPT课件主要包含了A组全考点巩固练,B组新高考培优练等内容,欢迎下载使用。
人教B版高考数学一轮总复习35复数习题课件: 这是一份人教B版高考数学一轮总复习35复数习题课件,共24页。PPT课件主要包含了A组全考点巩固练,B组新高考培优练等内容,欢迎下载使用。

