专题27 数列求和-2023年新高考数学大 二轮复习讲义之方法技巧与题型全归纳(新高考专用)
展开一.公式法
(1)等差数列的前n项和,推导方法:倒序相加法.
(2)等比数列的前n项和,推导方法:乘公比,错位相减法.
(3)一些常见的数列的前n项和:
①;
②;
③;
= 4 \* GB3 \* MERGEFORMAT ④
二.几种数列求和的常用方法
(1)分组转化求和法:一个数列的通项公式是由若干个等差或等比或可求和的数列组成的,则求和时可用分组求和法,分别求和后相加减.
(2)裂项相消法:把数列的通项拆成两项之差,在求和时中间的一些项可以相互抵消,从而求得前n项和.
(3)错位相减法:如果一个数列的各项是由一个等差数列和一个等比数列的对应项之积构成的,那么求这个数列的前项和即可用错位相减法求解.
(4)倒序相加法:如果一个数列与首末两端等“距离”的两项的和相等或等于同一个常数,那么求这个数列的前项和即可用倒序相加法求解.
【方法技巧与总结】
常见的裂项技巧
积累裂项模型1:等差型
(1)
(2)
(3)
(4)
(5)
(6)
(7)
(8)
(9)
(10)
(11)
(12)
积累裂项模型2:根式型
(1)
(2)
(3)
(4)
(5)
(6)
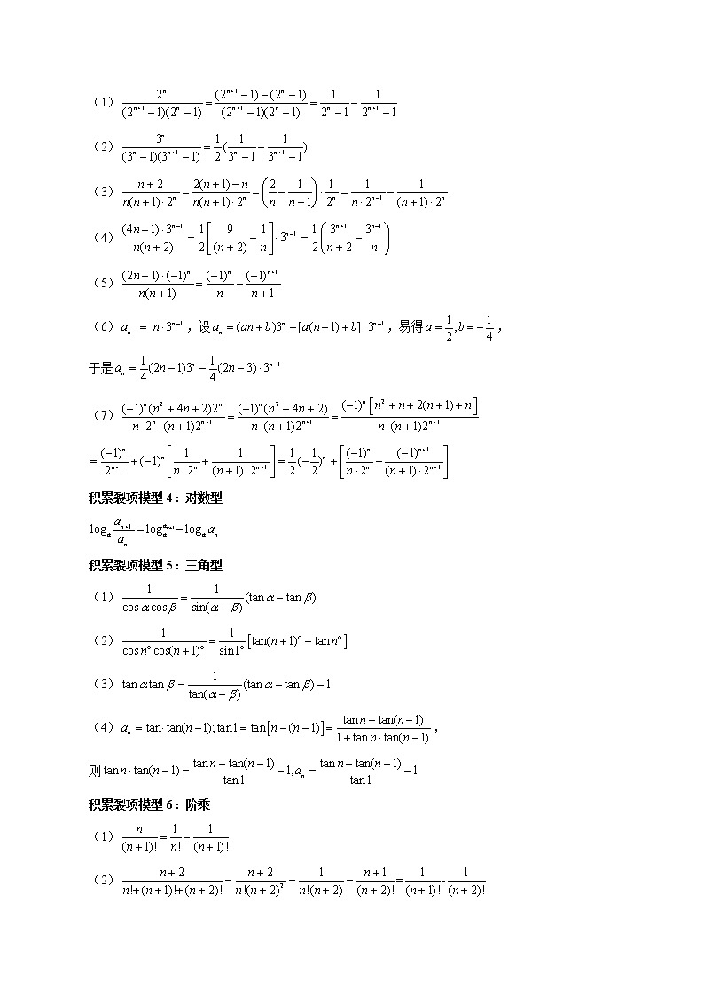
积累裂项模型3:指数型
(1)
(2)
(3)
(4)
(5)
(6),设,易得,
于是
(7)
积累裂项模型4:对数型
积累裂项模型5:三角型
(1)
(2)
(3)
(4),
则
积累裂项模型6:阶乘
(1)
(2)
常见放缩公式:
(1);
(2);
(3);
(4);
(5);
(6);
(7);
(8);
(9);
(10)
;
(11)
;
(12);
(13).
(14).
【题型归纳目录】
题型一:通项分析法
题型二:公式法
题型三:错位相减法
题型四:分组求和法
题型五:裂项相消法
题型六:倒序相加法
题型七:并项求和
题型八:先放缩后裂项求和
题型九:分段数列求和
【典例例题】
题型一:通项分析法
例1.(2022·全国·高三专题练习)求和.
【解析】∵
,
∴.
例2.数列9,99,999,的前项和为
A.B.C.D.
【解析】解数列通项,
.
故选:.
例3.求数列1,,,,,的前项之和.
【解析】解:由于,
所以前项之和
.
【方法技巧与总结】
先分析数列通项的特点,再选择合适的方法求和是求数列的前项和问题应该强化的意识.
题型二:公式法
例4.已知等差数列中,,.
(1)求的通项公式;
(2)令,求数列的前项和.
【解析】解:(1)设数列的公差为,由题意得
解得,,
的通项公式为.
(2)由得
,
是首项为,公比的等比数列.
.
例5.如图,从点做轴的垂线交曲线于点,曲线在点处的切线与轴交于点,再从做轴的垂线交曲线于点,依次重复上述过程得到一系列点:,;,;,,记点的坐标为,,2,,.
(Ⅰ)试求与的关系;
(Ⅱ)求.
【解析】解:(Ⅰ)设,,
由得
点处切线方程为
由得.
(Ⅱ),,得,
声明:试题解析著作权属所有,未经书面同意,不得复制发布日期:2022/7/10 12:47:46;用户:18316341968;邮箱:18316341968;学号:32362679
【方法技巧与总结】
针对数列的结构特征,确定数列的类型,符合等差或等比数列时,直接利用等差、等比数列相应公式求解.
题型三:错位相减法
例6.(2022·全国·高三专题练习)“一尺之棰,日取其半,万世不竭”出自我国古代典籍《庄子·天下》,其中蕴含着等比数列的相关知识.已知长度为4的线段,取的中点,以为边作等边三角形(如图①),该等边三角形的面积为,在图①中取的中点,以为边作等边三角形(如图②),图②中所有的等边三角形的面积之和为,以此类推,则___________;___________.
【答案】 ; .
【解析】依题可知,各等边三角形的面积形成等比数列,公比为,首项为,所以,即;
,而,设
,
,作差得:
,所以,所以
.
故答案为:;.
例7.(2022·内蒙古·海拉尔第二中学模拟预测(理))已知数列的前n项和,记,则数列的前n项和_______.
【答案】
【解析】当时,,
当时,,
当时,,
综上:,,
所以,
所以①,①×得:
②,
两式相减得:,
所以
故答案为:
例8.(2022·全国·高三专题练习)在平面四边形中,的面积是面积的倍,又数列满足,当时,恒有,设的前项和为,则所有正确结论的序号是___________.
①为等比数列;②为递减数列;③为等差数列;④
【答案】②③④
【解析】设与交于点,,
,
,,共线,所以存在实数,使得,
所以,
所以,所以,,
所以,,,不是等比数列,①错;
因为,所以,即,所以是等差数列,③正确;
又因为,则,即,,
所以当时,,即,
所以是递减数列,②正确;
因为,
,
所以两式相减得
,
所以,④正确.
故答案为:②③④.
例9.(2022·云南师大附中高三阶段练习)已知数列的前n项和为,.
(1)求数列的通项公式;
(2)若数列满足,求数列的前n项和.
【解析】(1)因为,所以,所以,
所以,当时,,,
所以数列是首项,公比的等比数列,所以;
(2)由得,所以,,
两式相减,得,,所以.
例10.(2022·全国·模拟预测(文))若数列满足,,.
(1)求的通项公式;
(2)若,求数列的前项和.
【解析】(1)因为数列满足,,,所以.
所以数列为等比数列,设其公比为q().
所以,解得:.
所以.
即的通项公式为.
(2)由(1)可知:,所以,
所以 ①
得: ②
①-②得:
所以
例11.(2022·全国·模拟预测)已知等差数列的前n项和为,数列为等比数列,且,.
(1)求数列,的通项公式;
(2)若,求数列的前n项和.
【解析】(1)设等差数列的公差为,等比数列的公比为,
由题意得:,解得:,
所以,
由得:,所以,
所以
(2),
则①,
②,
两式相减得:
,
所以
例12.(2022·全国·高三专题练习)已知数列{}为等差数列,,,数列{}的前n项和为,且满足.
(1)求{}和{}的通项公式;
(2)若,数列{}的前n项和为,且对恒成立,求实数m的取值范围.
【解析】(1)解:等差数列{}中,设公差为d,
则
数列{}中的前n项和为,且①
当时,
当时,②
②-①得:
故数列{}是以1为首项,3为公比的等比数列,所以.
(2)解:数列{}中,.
则
所以
故
所以
∵对恒成立.
当n为奇数时,,
当n为偶数时,
综上:实数m的取值范围为.
【方法技巧与总结】
错位相减法求数列的前n项和
(1)适用条件
若是公差为的等差数列,是公比为的等比数列,求数列{an·bn}的前n项和.
(2)基本步骤
(3)注意事项
①在写出与的表达式时,应特别注意将两式“错位对齐”,以便下一步准确写出;
②作差后,应注意减式中所剩各项的符号要变号.
等差乘等比数列求和,令,可以用错位相减法.
①
②
得:.
整理得:.
题型四:分组求和法
例13.(2022·广西柳州·模拟预测(理))已知数列{}满足,.
(1)证明{}是等比数列,并求{}的通项公式;
(2)求数列的前n项和.
【解析】(1)由题意可得:
∵
所以是首项为2,公比为2的等比数列
则,即
因此{}的通项公式为
(2)由(1)知,令则
所以.
.
综上.
例14.(2022·青海·海东市第一中学模拟预测(文))已知正项数列满足,且.
(1)求数列的通项公式;
(2)求数列的前项和.
【解析】(1)解:因为,①
当时,.②
①②得,所以.
当时,,也满足上式,
所以.
(2)解:因为,
则,
则.
例15.(2022·上海松江·二模)在等差数列中,已知,.
(1)求数列的通项公式;
(2)若数列是首项为1,公比为3的等比数列,求数列的前项和.
【解析】(1)设等差数列的公差为,
由,
可得,
解得,
∴;
(2)∵数列是首项为1,公比为3的等比数列,
∴,
又,可得,
所以
.
【方法技巧与总结】
(1)分组转化求和
数列求和应从通项入手,若无通项,则先求通项,然后通过对通项变形,转化为等差数列或等比数列或可求前n项和的数列求和.
(2)分组转化法求和的常见类型
题型五:裂项相消法
例16.(2022·全国·高三专题练习)记为数列的前n项和,已知是公差为的等差数列.
(1)求的通项公式;
(2)证明:.
【解析】(1)∵,∴,∴,
又∵是公差为的等差数列,
∴,∴,
∴当时,,
∴,
整理得:,
即,
∴
,
显然对于也成立,
∴的通项公式;
(2)
∴
例17.(2022·全国·高三专题练习)记为数列的前项和,已知,且.
(1)求数列的通项公式;
(2)已知数列满足________,记为数列的前项和,证明:.
从① ②两个条件中任选一个,补充在第(2)问中的横线上并作答.
【解析】(1)①,
当时,,;当时,②
①-②得,即
又,
∴数列是从第2项起的等比数列,即当时,.
.
(2)若选择①:,
.
若选择②,则③,④,
③-④得,
.
例18.(2022·全国·高三专题练习(理))已知正项数列{}中,,是其前n项和,且满足
(1)求数列{}的通项公式:
(2)已知数列{}满足,设数列{}的前n项和为,求的最小值.
【解析】(1)正项数列{},,满足,所以,
所以数列{}是以1为首项1为公差的等差数列,
所以,所以,
当时,,
当时也成立,
所以.
(2)因为
所以,
所以当为奇数时,;
当为偶数时,,
由{}递增,得,
所以的最小值为.
例19.(2022·浙江·模拟预测)已知数列的首项为正数,其前项和满足.
(1)求实数的值,使得是等比数列;
(2)设,求数列的前项和.
【解析】(1)当时,,,解得;
当时,把代入题设条件得:
,即,
很显然是首项为8+1=9,公比为9的等比数列,
∴;
(2)由(1)知是首项为,公比的等比数列,
所以,.
故数列的前项和为:
.
例20.(2022·湖南·一模)已知等差数列中,前项和为,,为等比数列且各项均为正数,,且满足,.
(1)求与;
(2)设,,求的前项和.
【解析】(1)由题意,设等差数列的公差为,等比数列的公比为,
则,,
,,
,,
,即,
解得(舍去),或,
,,
,.
(2)由(1),可得,
则,
.
例21.(2022·全国·高三专题练习)已知数列前n项和为,且,记.
(1)求数列的通项公式;
(2)设数列的前n项和为,求.
【解析】(1),当时,;
当,时,,.
当时也符合, .
(2)
.
例22.(2022·河南·洛宁县第一高级中学一模(文))已知数列是公差不为零的等差数列,,且,,成等比数列.
(1)求的通项公式;
(2)设,求数列的前n项和.
【解析】(1)等差数列中,,解得,因,,成等比数列,即,
设的公差为d,于是得,整理得,而,解得,
所以.
(2)由(1)知,,
所以.
例23.(2022·山西大同·高三阶段练习)已知数列的前n项和满足.
(1)证明:数列是等比数列;
(2)设数列的前n项和为,求证:.
【解析】(1)证明:当时,
∴
当时,
,
∴
∴数列是以2为公比,首项的等比数列
(2)由(1)知,,代入得
∴
由,,
,所以
∴
综上所述
例24.(2022·江西九江·三模(理))已知数列的前项和为,且满足,.
(1)求;
(2)求数列的前项和.
【解析】(1)当时,,
∵,∴.
当时,由,得,
两式相减得
即
∴数列,均为公比为4的等比数列
∴,
∴
(2)∵
∴数列的前项和
例25.(2022·广东·大埔县虎山中学高三阶段练习)已知各项均不相等的等差数列的前4项和为10,且是等比数列的前3项.
(1)求;
(2)设,求的前n项和.
【解析】(1)设等差数列的公差为,,
则,得,得,
因为,所以,解得,
所以,
所以,,所以等比数列的公比,
所以.
(2),
所以
.
例26.(2022·全国·高三专题练习)等比数列中,首项,前项和为,且满足.
(1)求数列的通项公式;
(2)若,求数列的前项和.
【解析】(1)设数列公比为,由,,
可得,化简得,
即,所以.
(2)由(1)得,
所以
所以
..
例27.(2022·全国·高三专题练习)已知等差数列的前n项和为,且,;数列的前n项和,且,数列的,.
(1)求数列、的通项公式;
(2)若数列满足:,当时,求证:.
【解析】(1)解:因为,由,得,
所以,即,
设等差数列的公差为d,
所以,
所以.
由,,得,,
两式相减得,
即,
又,
所以数列是以1为首项、2为公比的等比数列,
则;
(2)由(1)知:,
,
∴
.
例28.(2022·广东惠州·高三阶段练习)记是公差不为零的等差数列的前项和,若,是和的等比中项.
(1)求数列的通项公式;
(2)记,求数列的前20项和.
【解析】(1)由题意知,
设等差数列的公差为,则,
因为,解得
又,可得,
所以数列是以1为首项和公差为1的等差数列,
所以,
(2)由(1)可知,
设数列的前和为,则
,
所以
所以数列的前20和为
例29.(2022·河北衡水·高三阶段练习)已知数列的前n项和为,且满足,数列满足,,.
(1)求数列,的通项公式;
(2)设,且数列的前n项和为,若,恒成立,求常数k的最小值.
【解析】(1)由,得当时,,
当时,,
两式相减得,
,
数列是首项为2,公比为2的等比数列,
.
由,,,,
得,,…,,
累加得
,
,.
(2)由(1)得
,
,
,即常数k的最小值为.
例30.(2022·全国·高三专题练习)已知等比数列公比为正数,其前项和为,且.数列满足:.
(1)求数列的通项公式:
(2)求证:.
【解析】(1)
当时,
,
,
又
,经检验符合上式,
(2).
.
另解:
.得证
例31.(2022·广东佛山·二模)已知数列{}的前n项和为,且满足
(1)求、的值及数列{}的通项公式:
(2)设,求数列{}的前n项和
【解析】(1)因,取和得:,
即,解得,由得:,
数列是首项为,公差的等差数列,则,即,
当时,,而满足上式,因此,,
所以,数列{}的通项公式.
(2)由(1)知,当时,,
因此,,,
则,满足上式,
所以.
例32.(2022·全国·高三专题练习)已知正项数列的前n项和为,且满足,,,数列满足.
(1)求出,的通项公式;
(2)设数列的前n项和为,求证:.
【解析】(1)由,
得.又,
则数列是首项为2,公比为2的等比数列,
∴,
∴,,…,,
累加得,
∴.
数列满足,①
当时,;
当时,,②
由①-②可得,
当时,也符合上式,
故数列的通项公式为.
(2)由(1)可得,
则
,
故成立.
例33.(2022·天津南开·三模)已知数列是公比的等比数列,前三项和为13,且,,恰好分别是等差数列的第一项,第三项,第五项.
(1)求和的通项公式;
(2)已知,数列满足,求数列的前2n项和;
(3)设,求数列的前n项和.
【解析】(1)(1)解:或,
又,则,∴().
设等差数列的公差为,由题意得,,,
即,所以().
(2)(2)解:时,,
∴
.
时,
∴
,①
,②
由①②可得,
∴
∴().
(3)(3)由(1)知,则
∴
故().
【方法技巧与总结】
题型六:倒序相加法
例34.(2022·河北·高三阶段练习)德国大数学家高斯年少成名,被誉为数学届的王子,19岁的高斯得到了一个数学史上非常重要的结论,就是《正十七边形尺规作图之理论与方法》.在其年幼时,对的求和运算中,提出了倒序相加法的原理,该原理基于所给数据前后对应项的和呈现一定的规律生成,因此,此方法也称之为高斯算法,现有函数,设数列满足,若,则的前n项和_________.
【答案】
【解析】由得,
,
由,
得,
故,
故,
所以,
则,
两式相减得:
故,
故答案为:
例35.(2022·黑龙江齐齐哈尔·三模(文))已知数列的前n项和为,且,设函数,则______.
【答案】
【解析】∵①,
∴当时,②,
①-②得,∴;
当时,,∴,此时仍然成立,
∴.
∴当n=1时,;
当时,,
当n=1时,上式也成立,故.
由于,
设
则,
∴.
故答案为:.
例36.(2022·全国·高三专题练习(文))已知数列,满足,,.
(1)证明为等比数列,并求的通项公式;
(2)求.
【解析】(1)由可得,
于是,即,
而,所以是首项为2,公比为2的等比数列.
所以.
(2)由(1)知,所以.
因为,
所以
,
因此.
例37.(2022·全国·高三专题练习)已知函数,数列的前n项和为,点均在函数的图象上,函数.
(1)求数列的通项公式;
(2)求的值;
(3)令,求数列的前2020项和.
【解析】(1)因为点均在函数的图象上,
所以,
当时,,
当时,,适合上式,所以.
(2)因为,所以,
所以.
(3)由(1)知,可得,
所以,①
又因为,②
因为,
所以①②,得,
所以.
例38.(2022·全国·高三专题练习)已知函数,,正项等比数列满足,则值是多少?.
【解析】因为,
所以.
因为数列是等比数列,所以,
即.
设 ①,
又+…+ ②,
①+②,得,所以.
例39.(2022·全国·高三专题练习)已知函数对任意的,都有,数列满足….求数列的通项公式.
【解析】因为,
.
故….①
….②
①+②,得,.
所以数列的通项公式为.
例40.(2022·全国·高三专题练习)已知函数,数列的前项和为,点均在函数的图象上.
(1)求数列的通项公式;
(2)若函数,令,求数列的前2020项和.
【解析】(1)∵点均在函数的图象上,
∴.
当时,;
当时,,适合上式,∴.
(2)∵,∴.
又由(1)知,∴.
∴,①
又,②
①+②,,
∴.
【方法技巧与总结】
将一个数列倒过来排列,当它与原数列相加时,若有规律可循,并且容易求和,则这样的数列求和时可用倒序相加法(等差数列前项和公式的推导即用此方法).
题型七:并项求和
例41.(2022·全国·高三专题练习)已知的通项公式为,求的前n项和.
【解析】解:当n为偶数时,
,
;
当n为奇数时,
,
.
综上:.
例42.(2022·福建·厦门一中模拟预测)已知数列的前项和,,,.
(1)计算的值,求的通项公式;
(2)设,求数列的前项和.
【解析】(1)解:当时,,解得,
由题知①,②,
由②①得,因为,所以,
于是:数列的奇数项是以为首项,以4为公差的等差数列,
即,
偶数项是以为首项,以4为公差的等差数列,
即
所以的通项公式;
(2)解:由(1)可得,
.
例43.(2022·河北·沧县中学模拟预测)已知数列为等差数列,为其前n项和,若.
(1)求数列的通项公式;
(2)若,求数列的前18项和.
【解析】(1)设等差数列的公差为.则
,解得.
故数列的通项公式为.
(2)由(1)知,,
所以.
因为当时,,
.
所以数列的前18项和为.
例44.(2022·全国·高三专题练习)已知数列的前项和为,且满足.
(1)求的通项公式;
(2)在和中插入个相同的数,构成一个新数列,,,,,,,,,,,求的前项和.
【解析】(1)解:因为,当时,,
当时,,
也满足,所以,对任意的,.
(2)解;在和中插入个相同的数,
构成一个新数列,,,,,,,,,,,,
其项数为,
因为,即当时,,
因此,.
例45.(2022·河南·汝州市第一高级中学模拟预测(理))在数列中,,且.
(1)证明:为等比数列,并求的通项公式;
(2)令,求数列的前项和.
【解析】(1)解:因为,所以,又,所以,
所以是以4为首项,2为公比的等比数列.
故,即.
(2)解:由(1)得,
则,
①当时,
②当时,
,
综上所述,
例46.(2022·全国·高三专题练习)已知数列满足,.
(1)证明:数列为等比数列.
(2)求数列的前n项和.
【解析】(1)证明:因为,,
所以,
所以数列是首项为4,公比为4的等比数列;
(2)解:由(1)可得,即,
则
.
当n为偶数时,,
则
,
当n为奇数时,则
,
综上所述,.
【方法技巧与总结】
两两并项或者四四并项
题型八:先放缩后裂项求和
例47.(2022·天津市宝坻区第一中学二模)已知为等差数列,前n项和为是首项为2的等比数列,且公比大于0,.
(1)和的通项公式;
(2)求数列的前8项和;
(3)证明:.
【解析】(1)解:设等差数列的公差为d,等比数列的公比为q.
由已知,得,而,所以.又因为,解得.所以.
由,可得①.由,得②,联立①②,解得,由此可得.
所以,的通项公式为的通项公式为.
(2)解:设数列的前n项和为,由,得,所以
,
,
上述两式相减,得
.
得.
所以,数列的前n项和为
当时,.
(3)解:由(1)得,所以:
当时,,不等式成立;
当时,,所以,不等式成立;
当时,,
所以,
,
所以,得证.
例48.(2022·浙江·效实中学模拟预测)设各项均为正数的数列的前项和为,满足.
(1)求的值:
(2)求数列的通项公式:
(3)证明:对一切正整数,有.
【解析】(1)令,,则舍去,
所以.
(2),
因为数列各项均为正数,舍去,
,当时,
,
(3)令
,
所以
例49.(2022·广东汕头·一模)已知数列的前n项和为,.
(1)证明:数列为等比数列,并求数列的前n项和为;
(2)设,证明:.
【解析】(1)当时,,即
由,则
两式相减可得,即
所以,即
数列为等比数列
则,所以
则
(2)
所以
例50.(2022·浙江绍兴·模拟预测)已知等差数列的首项为,且,数列满足.
(1)求和;
(2)设,记,证明:当时,.
【解析】(1)因为是等差数列,设其公差为d.
因为,所以.
因为,所以等差数列的公差,
所以.
因为,所以,所以.
当时,,
结合可知.
经检验:也适合上式.
所以.
(2)由(1)可知:.
所以要证明原不等式成立,只需证明:成立.
易得:,所以
当时,左边,右边,左边=右边.
当时,,此时.
所以
所以
于是,当时,成立.
综上所述:当时,.
例51.(2022·天津·一模)已知数列是等差数列,其前n项和为,,;数列的前n项和为,.
(1)求数列,的通项公式;
(2)求数列的前n项和;
(3)求证:.
【解析】(1)数列是等差数列,设公差为d,
,
化简得,
解得,,
∴,.
由已知,
当时,,解得,
当时,,
∴,,
即,
∴数列构成首项为3,公比为3的等比数列,
∴,.
(2)由(1)可得,,
∴,
∴
(3)由(1)可得,,
则,
方法一:
∵,
∴,
令,
,
两式相减可得
,
∴,
∴
方法二:
∵时,
,
根据“若,,则”,可得,
∴,
令,
,
两式相减可得
,
∴
∴,
∴
方法三:
令,下一步用分析法证明“”
要证,即证,
即证,
即证,
当,显然成立,
∴,
∴
例52.(2022·全国·高三专题练习)求证: .
【解析】,
【方法技巧与总结】
先放缩后裂项,放缩的目的是为了“求和”,这也是凑配放缩形式的目标.
题型九:分段数列求和
例53.(2022·全国·高三专题练习)设数列的前n项和为,且满足.
(1)求数列的通项公式;
(2)若,求数列的前15项的和.
【解析】(1)由得,
当n=1时,,解得.
当n≥2时,,从而,即,
因此数列是等比数列,其首项和公比都等于2,所以.
(2)当n为奇数时,,
当n为偶数时,,
所以数列的前15项和为
.
例54.(2022·山东师范大学附中模拟预测)已知是数列的前n项和,且.
(1)求数列的通项公式;
(2)记,求数列的前项和.
【解析】(1)变形为,
因为,
所以,故;
(2)当为奇数时,,
当为偶数时,,
则
例55.(2022·湖南·长郡中学模拟预测)已知数列满足,.
(1)记,证明:数列为等比数列,并求出数列的通项公式;
(2)求数列的前项和.
【解析】(1)因为,当n为奇数时, ,当n为偶数时, ,且,
所以,
所以,∴,
所以为以2为首项,2为公比的等比数列,所以;
(2)因为,
所以,
所以数列的前项和;
综上,所以,数列的前项和.
例56.(2022·辽宁·抚顺市第二中学三模)已知数列中,满足对任意都成立,数列的前n项和为.
(1)若是等差数列,求k的值;
(2)若,且是等比数列,求k的值,并求.
【解析】(1)若是等差数列,则对任意,
,即,所以,故.
(2)因为且得,
又是等比数列,则
即,得.
当时,,,故是以2为首项,公比为1的等比数列,
此时的前n项和;
当时,,即,
所以,且所以以为首项,公比为-1的等比数列,
又,
所以,当n是偶数时,
,
当n是奇数时,,
,
综上,当时,,
当时,.
例57.(2022·湖南·高三阶段练习)已知数列中,,,令.
(1)求数列的通项公式;
(2)若,求数列的前14项和.
【解析】(1)当时,,又,得,
由①
得②,①②两式相除可得,
则,且,
所以数列是以2为首项,2为公比的等比数列,
故.
(2)当n为奇数时,;
当n为偶数时,,
.
所以数列的前14项和为
.
例58.(2022·全国·模拟预测)已知数列满足,
(1)令,求,及的通项公式;
(2)求数列的前2n项和.
【解析】(1)由题意得,,,,,
,,,
当时,,
又,所以是以1为首项,2为公比的等比数列,所以.
(2)由(1)知,所以,
所以
.
例59.(2022·全国·高三专题练习)已知数列的前n项和为,且
(1)求的通项公式;
(2)设,求数列的前20项和.
【解析】解:(1)当时,
当n为奇数,且时,,显然满足;
当n为偶数时,
所以
(2)
.
例60.(2022·重庆·高三阶段练习)已知数列的前项和,且,正项等比数列满足:,.
(1)求数列和的通项公式;
(2)若,求数列的前项和.
【解析】(1)当时,,
由,得,即,
当时,,当时,,
所以;
设正项等比数列的公比为,则,
所以,解得或(舍),
所以.
(2),
所以当时,,
当时,,
即
【方法技巧与总结】
(1)分奇偶各自新数列求和
(2)要注意处理好奇偶数列对应的项:
①可构建新数列;②可“跳项”求和
【过关测试】
一、单选题
1.(2022·全国·高三专题练习)数列的前2022项和等于( )
A.B.2022C.D.2019
【答案】B
【解析】解:设数列的前项和为,
当为奇数时,
当为偶数时,
所以
.
故选:B
2.(2022·江西·临川一中模拟预测(文))已知数列的通项公式为为数列的前n项和,( )
A.1008B.1009C.1010D.1011
【答案】D
【解析】解:因为当为奇数时,为偶数时,
所以,
所以,
所以;
故选:D
3.(2022·四川·射洪中学模拟预测(文))已知首项为1的等差数列的前项和为,满足,则( )
A.B.C.D.
【答案】B
【解析】由可得:为等差数列,公差为,首项为,
所以,
则,,
所以
故选:B
4.(2022·全国·高三专题练习)己知数列满足,在之间插入n个1,构成数列:,则数列的前100项的和为( )
A.178B.191C.206D.216
【答案】A
【解析】解:数列满足,在,之间插入个1,构成数列,1,,1,1,,1,1,1,,,
所以共有个数,
当时,,
当时,,
由于,
所以.
故选:A.
5.(2022·河南·南阳中学高三阶段练习(文))已知数列满足,,,数列满足,则数列的前2021项的和为( )
A.B.
C.D.
【答案】D
【解析】因为,故数列为等比数列,又,所以;
则;
所以.
故选:D.
6.(2022·全国·高三专题练习)已知公比为2的等比数列满足,记为在区间(为正整数)中的项的个数,则数列的前100项的和为( )
A.360B.480C.600D.100
【答案】B
【解析】解:因为,,所以,
由于,所以
对应的区间为,则;
对应的区间分别为,则,即有2个1;
对应的区间分别为,则,即有个2;
对应的区间分别为,则,即有个3;
对应的区间分别为,则,即有个4;
对应的区间分别为,则,即有个5;
对应的区间分别为,则,即有37个6.
所以.
故选:B
7.(2022·全国·高三专题练习)已知数列满足,,用表示不超过的最大整数,则( )
A.1B.2C.3D.4
【答案】B
【解析】因为,所以,即,
所以,
由,可得,,,,
则数列是递增数列,,则,则.
故选:B.
8.(2022·全国·哈师大附中模拟预测(文))已知数列满足,则数列的前5项和为( )
A.B.C.D.
【答案】D
【解析】因为,
所以.
所以前5项和为
故选:D
二、多选题
9.(2022·全国·高三专题练习)已知下图的一个数阵,该阵第行所有数的和记作,,,,,数列的前项和记作,则下列说法正确的是( )
A.B.
C.D.
【答案】ABC
【解析】解:由题意得:
A选项:
,故A正确;
B选项:,故B正确;
D选项:,故D错误;
C选项:,故C正确.
故选:ABC
10.(2022·全国·高三专题练习)已知正项数列的首项为2,前项和为,且,,数列的前项和为,若,则的值可以为( )
A.543B.542
C.546D.544
【答案】AB
【解析】因为,所以,
即,故数列是首项为,公差为2的等差数列,
则,则,
所以,
则,
令,解得,即,
故选:AB
11.(2022·全国·高三专题练习)我们把()叫作“费马数”(费马是十七世纪法国数学家).设,,表示数列的前项和,则使不等式成立的正整数的值可以是( )
A.7B.8C.9D.10
【答案】CD
【解析】(),,,
,
,
.
当时,左边,不满足题意;
当时,左边,满足题意,
故最小正整数的值为9.
故选:CD.
12.(2022·河北·模拟预测)将数列与的公共项从小到大排列得到数列,则下列说法正确的有( )
A.数列为等差数列B.数列为等比数列
C.D.数列的前n项和为
【答案】BD
【解析】数列中的项为1,4,7,10,13,16,19,22,25,28,31,
34,37,40,43,46,49,52,55,58,61,64,67,…,
数列中的项为2,4,8,16,32,64,128,…,
∴数列是首项为4,公比为4的等比数列,
∴;
∴,记数列的前n项和为,
则,
,
两式相减:
,
∴.
故选:BD
三、填空题
13.(2022·四川成都·模拟预测(理))杨辉三角,是二项式系数在三角形中的一种几何排列.在欧洲,这个表叫做帕斯卡三角形.帕斯卡(1623-1662)是在1654年发现这一规律的,比杨辉要迟393年,比贾宪迟600年.这是我国数学史上的又一个伟大成就.其实,中国古代数学家在数学的许多重要领域中处于遥遥领先的地位.中国古代数学史曾经有自己光辉灿烂的篇章,而杨辉三角的发现就是十分精彩的一页.下图的表在我国南宋数学家杨辉1261年所著的《详解九章算法》一书里就出现了.该表中,从上到下,第次出现某行所有数都是奇数的行号记为,比如,则数列的前10项和为___________.
第1行 1 1
第2行 1 2 1
第3行 1 3 3 1
第4行 1 4 6 4 1
第5行 1 5 10 10 5 1
第6行 1 6 15 20 15 6 1
【答案】2036
【解析】容易发现,,归纳可得,故的前10项和为.
故答案为:2036.
14.(2022·四川省内江市第六中学模拟预测(理))已知数列满足,,,则数列的前20项和为___________.
【答案】330
【解析】由题意,当为奇数时,,
所以数列是公差为,首项为的等差数列,
所以,
当为偶数时,,
所以数列是公差为,首项为的等差数列,
所以,
,
故答案为:330
15.(2022·上海·模拟预测)设是坐标平面上的一列圆,它们的圆心都在x轴的正半轴上,且都与直线相切,对每一个正整数n,圆都与圆相互外切,以表示圆的半径,已知为递增数列,若,则数列的前n项和为_________.
【答案】
【解析】的倾斜角,设圆、与直线的切点分别为,连接,过作,垂足为,
则
∵,整理得
数列是以首项,公比的等比数列,即
∴,设数列的前n项和为,则有:
两式相减得:
即
故答案为:.
16.(2022·全国·高三专题练习)设数列的前n项和为,已知,则_________.
【答案】960
【解析】由,
当n为奇数时,有;当n为偶数时,,
∴数列的偶数项构成以2为首项,以2为公差的等差数列,
则
,
故答案为:960.
四、解答题
17.(2022·湖北·模拟预测)已知数列,满足,,且,.
(1)若为等比数列,求值;
(2)在(1)的条件下,求数列的前n项和.
【解析】(1)由题
∵为等比数列,设公比为q
则
∴,
∴,即,解得或
当时,,即
又,
∴成以3为首项,以为公比的等比数列
当时,即
又,
∴成以3为首项,以1为公比的等比数列
综上:或
(2)由(1)得,
∴
∴
18.(2022·广东·深圳市光明区高级中学模拟预测)已知各项都为正数的数列满足, .
(1)若,求证:是等比数列;
(2)求数列的前项和.
【解析】(1)因为
所以,
因为所以
所以
所以
所以是首项和公比均为的等比数列.
(2)由(1)易得:
因为所以
所以
19.(2022·山东·肥城市教学研究中心模拟预测)已知数列为公差不为零的等差数列,其前项和为,,.
(1)求数列的通项公式;
(2)令,其中表示不超过的最大整数,求的值.
【解析】(1)设数列为公差为,
,,
∴
∴
∴数列的通项公式为
(2),则,,
当,则,可得,
当,则,可得,
当,则,可得,
当,则,可得,
此时.
所以,,
故
20.(2022·江西萍乡·三模(理))已知正项数列的前项和满足:,且成等差数列.
(1)求数列的通项公式;
(2)令,求证:数列的前项和.
【解析】(1)由题意:,
两式相减得到,
又,是首项为,公比为的等比数列,
再由成等差数列得,得,
即,则,
的通项公式为.
(2)由题意知,
21.(2022·宁夏·银川一中模拟预测(文))已知数列是等差数列,是等比数列,且,,,.
(1)求数列、的通项公式;
(2)设,数列的前项和为,求.
【解析】(1)依题意,等比数列的公比,则有,因此,,
由得,等差数列的公差,,
所以数列、的通项公式分别为:,.
(2)由(1)知,,
则,
于是得,
两式相减得:,
所以.
22.(2022·浙江·杭师大附中模拟预测)数列的前n项和为,数列满足,且数列的前n项和为.
(1)求,并求数列的通项公式;
(2)抽去数列中点第1项,第4项,第7项,…,第项,余下的项顺序不变,组成一个新数列,数列的前n项和为,求证:.
【解析】(1)由题意得,①
当时,;当时,;
当时,,②
①②得,,
当时,,也适合上式,所以,所以,
两式相减得,
所以数列是以2为首项,2为公比的等比数列,所以.
(2)数列为:,所以奇数项是以4为首项,8为公比的等比数列,偶数项是以8为首项,8为公比的等比数列.
所以当时,
所以,
所以,显然是关于k的减函数,所以;
所以当时,
所以,
所以,显然是关于k的减函数,所以;
综上所述,.
裂裂
项相
消法
求和
(1)基本步骤
(2)裂项原则
一般是前边裂几项,后边就裂几项,直到发现被消去项的规律为止.
(3)消项规律
消项后前边剩几项,后边就剩几项,前边剩第几项,后边就剩倒数第几项.
专题35 圆的方程-2023年新高考数学大 二轮复习讲义之方法技巧与题型全归纳(新高考专用): 这是一份专题35 圆的方程-2023年新高考数学大 二轮复习讲义之方法技巧与题型全归纳(新高考专用),文件包含专题35圆的方程解析版docx、专题35圆的方程原卷版docx等2份试卷配套教学资源,其中试卷共53页, 欢迎下载使用。
专题27 直线与圆的综合应用-2023年新高考数学大 二轮复习讲义之方法技巧与题型全归纳(新高考专用): 这是一份专题27 直线与圆的综合应用-2023年新高考数学大 二轮复习讲义之方法技巧与题型全归纳(新高考专用),文件包含专题27直线与圆的综合应用解析版docx、专题27直线与圆的综合应用原卷版docx等2份试卷配套教学资源,其中试卷共72页, 欢迎下载使用。
专题26 数列的通项公式-2023年新高考数学大 二轮复习讲义之方法技巧与题型全归纳(新高考专用): 这是一份专题26 数列的通项公式-2023年新高考数学大 二轮复习讲义之方法技巧与题型全归纳(新高考专用),文件包含专题26数列的通项公式解析版docx、专题26数列的通项公式原卷版docx等2份试卷配套教学资源,其中试卷共110页, 欢迎下载使用。

