专题13 ω的取值范围与最值问题 -2023年新高考数学大 二轮复习讲义之方法技巧与题型全归纳(新高考专用)
展开这是一份专题13 ω的取值范围与最值问题 -2023年新高考数学大 二轮复习讲义之方法技巧与题型全归纳(新高考专用),文件包含专题13ω的取值范围与最值问题解析版docx、专题13ω的取值范围与最值问题原卷版docx等2份试卷配套教学资源,其中试卷共61页, 欢迎下载使用。
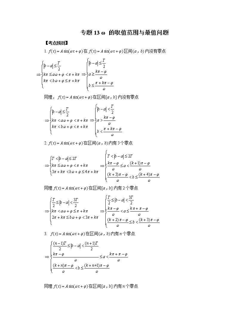
1.在区间内没有零点
同理,在区间内没有零点
2.在区间内有个零点
同理在区间内有个零点
3. 在区间内有个零点
同理在区间内有个零点
4. 已知一条对称轴和一个对称中心,由于对称轴和对称中心的水平距离为,则.
5.已知单调区间,则.
【方法技巧与总结】
解决ω的取值范围与最值问题主要方法是换元法和卡住ω的大致范围.
【题型归纳目录】
题型一:零点问题
题型二:单调问题
题型三:最值问题
题型四:极值问题
题型五:对称性
题型六:性质的综合问题
【典例例题】
题型一:零点问题
例1.(2022·江西·临川一中模拟预测(文))函数在上没有零点,则的取值范围是( )
A.B.
C.D.
例2.(2022·安徽·合肥市第八中学模拟预测(理))已知函数在区间上有且仅有4个零点,则的取值范围是( )
A.B.C.D.
例3.(2022·广西·贵港市高级中学三模(理))已知在有且仅有6个实数根,则实数的取值范围为( )
A.B.
C.D.
例4.(2022·海南华侨中学模拟预测)已知函数在上有且仅有个零点,则的取值范围是( )
A.B.
C.D.
例5.(2022·陕西·模拟预测(理))已知函数在上有且只有5个零点,则实数的范围是( )
A.B.C.D.
例6.(2022·广东·三模)已知函数,且f(x)在[0,]有且仅有3个零点,则的取值范围是( )
A.[,)B.[,)C.[,)D.[,)
例7.(2022·江西赣州·一模(文))已知函数在区间上有且仅有2个不同的零点,给出下列三个结论:
①在区间上有且仅有2条对称轴;
②在区间上单调递增;
③的取值范围是.
其中正确的个数为( )
A.0B.1C.2D.3
例8.(2022·全国·高三专题练习(理))已知函数在上恰有3个零点,则的取值范围是( )
A.B.
C.D.
例9.(2022·山西·一模(文))已知函数在上恰有3个零点,则的取值范围是( )
A.B.
C.D.
例10.(2022·山西·太原五中高三阶段练习(文))已知函数,若方程在区间上恰有5个实根,则的取值范围是( )
A.B.
C.D.
例11.(2022·陕西渭南·一模(理))若关于的方程在上有实数根,则实数的取值范围是________.
题型二:单调问题
例12.(2022·江西赣州·二模(理))已知函数相邻两个对称轴之间的距离为2π,若f(x)在(-m,m)上是增函数,则m的取值范围是( )
A.(0,]B.(0,]C.(0,]D.(0,]
例13.(2022·内蒙古赤峰·模拟预测(文))函数的图象向右平移个单位长度后得到函数的图象,的零点到轴的最近距离小于,且在上单调递增,则的取值范围是( )
A.B.
C.D.
例14.(2022·安徽·芜湖一中高三阶段练习(文))函数在上是减函数,则的取值范围是( )
A.B.C.D.
例15.(2022·河南·汝州市第一高级中学模拟预测(理))已知函数在区间上单调递减,则实数的取值范围是( )
A.B.C.D.
例16.(2022·陕西榆林·三模(理))已知,函数在上单调递增,且对任意,都有,则的取值范围为( )
A.B.C.D.
例17.(2022·全国·高三专题练习)将函数图象上所有点的横坐标缩短到原来的倍纵坐标不变,再向左平移个单位长度,得到函数的图象,若在上单调递减,则实数的取值范围为( )
A.B.C.D.
例18.(2022·江西·上饶市第一中学模拟预测(理))已知函数在上单调递增,则a的取值范围为( )
A.B.C.D.或
例19.(2022·天津市滨海新区塘沽第一中学三模)设,函数,,若在上单调递增,且函数与的图象有三个交点,则的取值范围( )
A.B.C.D.
例20.(2022·湖南·长沙一中模拟预测)已知函数,若在区间内单调递减,则的取值范围是( )
A.B.C.D.
题型三:最值问题
例21.(2022·重庆八中高三阶段练习)函数在上的值域是,则的取值范围是( )
A.B.C.D.
例22.(2022·安徽马鞍山·三模(理))函数在区间上恰有两个最小值点,则的取值范围为( )
A.B.C.D.
例23.(2022·河南·宝丰县第一高级中学模拟预测(理))已知函数在区间上的值域为,则的取值范围为( )
A.B.C.D.
例24.(2022·全国·高三专题练习(文))已知函数的定义域为,值域为,则的取值范围是( )
A.B.
C.D.
例25.(2022·陕西·武功县普集高级中学高三阶段练习(理))函数在内恰有两个最小值点,则的范围是( )
A.B.
C.D.
例26.(2022·全国·高三专题练习(理))已知函数,若至少存在两个不相等的实数,使得,则实数的取值范围是________.
例27.(2022·贵州·镇远县文德民族中学校模拟预测(文))已知函数,若函数的图象在区间上的最高点和最低点共有个,下列说法正确的是___________.
①在上有且仅有个零点;
②在上有且仅有个极大值点;
③的取值范围是;
④在上为单递增函数.
例28.(2022·全国·高三专题练习(文))已知函数在(0,2]上有最大值和最小值,且取得最大值和最小值的自变量的值都是唯一的,则的取值范围是___________.
题型四:极值问题
例29.(2022·全国·高三专题练习)若函数()在上单调,且在上存在极值点,则ω的取值范围是( )
A.B.C.D.
例30.(2022·全国·高三专题练习)已知函数在区间上无极值,则的取值范围是( )
A.(0,5]B.(0,5)
C.(0,)D.(0,]
例31.(2022·安徽·安庆一中高三阶段练习(文))已知函数在区间不存在极值点,则的取值范围是( )
A.B.
C.D.
例32.(2022·湖北武汉·模拟预测)已知偶函数(,)在上恰有2个极大值点,则实数的取值范围为( )
A.B.
C.D.
题型五:对称性
例33.(2022·安徽·蒙城第一中学高三阶段练习(理))已知函数在区间[0,]上有且仅有3条对称轴,则的取值范围是( )
A.(,]B.(,]C.[,)D.[,)
例34.(2022·福建龙岩·模拟预测)已知函数在内有且仅有三条对称轴,则的取值范围是( )
A.B.C.D.
题型六:性质的综合问题
例35.(2022·全国·高考真题(理))设函数在区间恰有三个极值点、两个零点,则的取值范围是( )
A.B.C.D.
(多选题)例36.(2022·广东韶关·二模)已知函数,则下列结论中正确的是( )
A.若ω=2,则将的图象向左平移个单位长度后得到的图象关于原点对称
B.若 ,且 的最小值为,则ω=2
C.若在[0, ]上单调递增,则ω的取值范围为(0,3]
D.若在[0,π]有且仅有3个零点,则ω的取值范围是
(多选题)例37.(2022·湖北武汉·模拟预测)已知,则下列判断中,错误的是( )
A.若,,且,则
B.存在,使得的图像右移个单位长度后得到的图像关于轴对称
C.若在上恰有7个零点,则的取值范围为
D.若在上单调递增,则的取值范围为
例38.(2022·贵州贵阳·模拟预测(理))若函数在上有且仅有3个零点和2个极小值点,则的取值范围为______.
例39.(2022·湖南永州·三模)已知函数,若在内单调且有一个零点,则的取值范围是__________.
例40.(2022·全国·高三专题练习)已知函数 (ω>0),若在上恰有两个零点,且在上单调递增,则ω的取值范围是________.
例41.(2022·全国·高三专题练习(理))已知函数,满足函数是奇函数,且当取最小值时,函数在区间和上均单调递增,则实数的取值范围为__________.
【过关测试】
一、单选题
1.(2022·全国·高三专题练习)已知函数在内有且仅有两个零点,则的取值范围是( )
A.B.C.D.
2.(2022·全国·高三专题练习)已知,函数在上单调递减,则的取值范围是( )
A.B.C.D.
3.(2021·安徽·铜陵一中高三阶段练习(文))已知函数,若方程在上有且只有五个实数根,则实数的取值范围为( )
A.B.C.D.
4.(2022·全国·高三专题练习(理))已知函数在区间上有且仅有4条对称轴,给出下列四个结论:
①在区间上有且仅有3个不同的零点;
②的最小正周期可能是;
③的取值范围是;
④在区间上单调递增.
其中所有正确结论的序号是( )
A.①④B.②③C.②④D.②③④
5.(2021·山东省潍坊第四中学高三开学考试)函数在有且仅有3个零点,则下列说法正确的是( )
A.在不存在,使得
B.函数在仅有1个最大值点
C.函数在上单调进增
D.实数的取值范围是
6.(2022·湖南·长沙市明德中学二模)已知函数,若,,则( )
A.点不可能是的一个对称中心
B.在上单调递减
C.的最大值为
D.的最小值为
7.(2022·甘肃酒泉·模拟预测(理))已知函数,,函数在上有且仅有一个极小值但没有极大值,则的最小值为( )
A.B.C.D.
8.(2022·陕西西安·二模(理))已知函数,若函数的一个零点为.其图像的一条对称轴为直线,且在上单调,则的最大值为( )
A.2B.6C.10D.14
二、多选题
9.(2022·全国·模拟预测)设函数,且函数在上是单调的,则下列说法正确是( )
A.若是奇函数,则的最大值为3
B.若,则的最大值为
C.若恒成立,则的最大值为2
D.若的图象关于点中心对称,则的最大值为
10.(2022·广东·广州市第四中学高三阶段练习)若函数在区间内没有最值,则下列说法正确的是( )
A.函数的最小正周期可能为
B.的取值范围是
C.当取最大值时,是函数的一条对称轴
D.当取最大值时,是函数的一个对称中心
11.(2022·江苏·南京市第一中学高三开学考试)已知函数,下面结论正确的是( )
A.若,是函数的两个不同的极值点,且的最小值为,则
B.存在,使得往右平移个单位长度后得到的图象关于原点对称
C.若在上恰有6个零点,则的取值范围是
D.若,则在上单调递增
三、填空题
12.(2022·四川成都·模拟预测(理))已知函数,若,且在上有最大值,没有最小值,则的最大值为______.
13.(2022·江西上饶·二模(理))已知函数,若且在区间上有最小值无最大值,则_______.
14.(2021·上海松江·一模)已知函数,若对任意的实数都成立,则的最小值为___________.
15.(2021·全国·高三专题练习)已知,,且在区间上有最小值,无最大值,则______.
16.(2022·河北张家口·高三期末)已知函数,且函数在区间上单调递减,则的最大值为___________.
17.(2022·全国·高三专题练习(文))已知函数为的零点,为图像的对称轴,且在单调,则的最大值是______ .
9.
当时,,,,.
此时在单调递减,不满足题意.
当时,,,,,
此时在不单调,不满足题意;
故此时无解.
(2)若在单调递减,
则,且,,
即③,且,④,
把③④可得:,,故有奇数的最大值为9.
当时,,,,.
此时在单调递减,满足题意.
故的最大值为9.
故答案为:9.
18.(2021·福建·莆田二中高三期中)函数,的图象过点,且在上单调递增,则的最大值为___________.
19.(2021·上海·复旦附中高三阶段练习)已知函数在内有且仅有1个最大值点和3个零点,则的取值范围是___________;
20.(2022·上海市建平中学高三期中)已知函数,若在区间内没有零点,则ω的取值范围是__.
21.(2022·江苏·高三专题练习)已知函数,若在区间内没有极值点,则的取值范围是___________.
相关试卷
这是一份专题40 圆锥曲线中参数范围与最值问题-新高考数学大一轮复习讲义之方法技巧与题型全归纳(新高考专用),文件包含专题40圆锥曲线中参数范围与最值问题解析版docx、专题40圆锥曲线中参数范围与最值问题原卷版docx等2份试卷配套教学资源,其中试卷共61页, 欢迎下载使用。
这是一份专题40 圆锥曲线中参数范围与最值问题-新高考数学大一轮复习讲义之方法技巧与题型全归纳(新高考专用),文件包含专题40圆锥曲线中参数范围与最值问题解析版docx、专题40圆锥曲线中参数范围与最值问题原卷版docx等2份试卷配套教学资源,其中试卷共61页, 欢迎下载使用。
这是一份专题25 圆中的范围与最值问题-新高考数学大一轮复习讲义之方法技巧与题型全归纳(新高考专用),文件包含专题25圆中的范围与最值问题解析版docx、专题25圆中的范围与最值问题原卷版docx等2份试卷配套教学资源,其中试卷共60页, 欢迎下载使用。

