专题48 椭圆、双曲线的焦点弦被焦点分成定比-2023年高考数学优拔尖核心压轴题(选择、填空题)(新高考地区专用)
展开专题48 椭圆、双曲线的焦点弦被焦点分成定比
【方法点拨】
1. 设椭圆的右焦点为,过的直线与椭圆相交于两点,直线的倾斜角为,且,则间满足.
2.长短弦公式:如下图,长弦,短弦(其中是焦参数,即焦点到对应准线的距离,是直线与轴的夹角,而非倾斜角).
说明:
(1)公式1的推导使用椭圆的第二定义,不必记忆,要有“遇过将焦半径转化为到准线距离”的意识即可.
(2)双曲线也有类似结论.
【典型题示例】
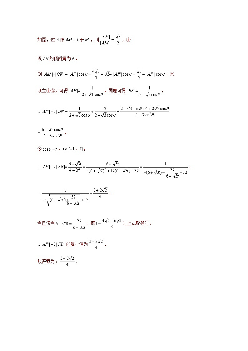
例1 已知椭圆方程为,AB为椭圆过右焦点F的弦,则的最小值为 .
【答案】
【解析】由,得,,则椭圆的离心率为,右准线方程为
如图,过作于,则,①
设的倾斜角为,
则,②
联立①②,可得,同理可得,
.
令,,,
.
.
当且仅当,即时上式取等号.
的最小值为.
故答案为:.
例2 (2021·江苏南京盐城二调·7)已知双曲线的左、右焦点分别为F1,F2,过点F2作倾斜角为θ的直线l交双曲线C的右支于A,B两点,其中点A在第一象限,且若|AB|=|AF1|,则双曲线C的离心率为
A.4 B. C. D.2
【答案】D
【解析】,,
.
例3 已知椭圆C:+=1(a>b>0)的离心率为,与过右焦点F且斜率为k(k>0)的直线相交于A,B两点.若=3,则k=________.
【答案】
【解析】如右图,设l为椭圆的右准线,过A、B
分别向l作垂线AA/、BB/,A/、B/分别是垂足,过B作AA/垂线BD,D是垂足
设BF=t ,AF=3t
则,
中,
故
又k>0,所以.
【巩固训练】
1. 设F1,F2分别是椭圆E:+=1(a>b>0)的左、右焦点,过点F1的直线交椭圆E于A,B两点.若|AF1|=3|F1B|,AF2⊥x轴,则椭圆E的离心率为________.
2.已知F是椭圆C的一个焦点,B是短轴的一个端点,线段BF的延长线交C于点D,且 =2,则C的离心率为________.
3. 已知是抛物线的焦点,过且斜率为1的直线交于两点.设,则与的比值等于 .
4.已知,是椭圆的左右焦点,若上存在不同两点,,使得,则该椭圆的离心率的取值范围为
A., B. C., D.
5.设为双曲线的右焦点,过点且斜率为的直线与双曲线的两条渐近线分别交于两点,若,则双曲线的离心率等于( )
A. B. C. D.
6.设双曲线:的右焦点为,过且斜率为的直线交于、两点,若,则的离心率为__________.
7.抛物线,直线l经过抛物线的焦点F,与抛物线交于A、B两点,若,则(O为坐标原点)的面积为______.
【答案与提示】
1.【答案】
【解析】如右图,设直线AB的倾斜角为
则,
所以
由|AF1|=3|F1B|、长短弦公式得:,化简得:
代入得:,即
解之得:(负值已舍),所以.
2.【答案】
3.【答案】
4.【答案】C
【解析】延长交椭圆于,根据椭圆的对称性,则,,
由,且,,
由,所以,整理得,其中,,
由,不重合,所以,
,解得,所以,椭圆的离心率的取值范围,.
5.【答案】D
【解析】设双曲线的右焦点,
则过点且斜率为的直线的方程为,渐近线方程是.
由,得,
由,得,
所以,.
由,得,
则,即,
则,则,故选D.
6.【答案】
【解析】由可得,设,
过分别做准线的垂线,垂足为,由双曲线定义得,,过做垂直于垂足,
因为斜率为,所以在中,,可得 ,
即,解得 ,的离心率为,故答案为.
7.【答案】
【解析】由题意可知:,
结合焦半径公式有:,解得:,
故直线AB的方程为:,与抛物线方程联立可得:,
则,
故的面积.
2022高考数学选填经典题型汇编 题型43 椭圆、双曲线的焦点弦被焦点分成定比: 这是一份2022高考数学选填经典题型汇编 题型43 椭圆、双曲线的焦点弦被焦点分成定比,共7页。
高考数学必刷压轴小题(选择+填空) 专题43 椭圆、双曲线的焦点弦被焦点分成定比 (新高考地区专用): 这是一份高考数学必刷压轴小题(选择+填空) 专题43 椭圆、双曲线的焦点弦被焦点分成定比 (新高考地区专用),共7页。试卷主要包含了明确模拟练习的目的,查漏补缺,以“错”纠错,严格有规律地进行限时训练,保证常规题型的坚持训练,注重题后反思总结等内容,欢迎下载使用。
专题47 抛物线过焦点的弦-2023年高考数学优拔尖核心压轴题(选择、填空题)(新高考地区专用): 这是一份专题47 抛物线过焦点的弦-2023年高考数学优拔尖核心压轴题(选择、填空题)(新高考地区专用),共9页。

