高考数学一轮复习第2章函数的概念与性质第5节指数与指数函数课件
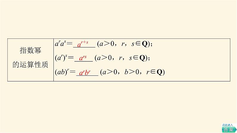
展开必备知识·回顾教材重“四基”
关键能力·研析考点强“四翼”
考点1 指数幂的化简与求值——基础性
考点2 指数函数的图像及应用——综合性
考点3 指数函数的性质及应用——应用性
一题N解·深化综合提“素养”
高考数学一轮复习基础知识复习课件第4讲函数的概念与性质(含解析): 这是一份高考数学一轮复习基础知识复习课件第4讲函数的概念与性质(含解析),共26页。PPT课件主要包含了考点一,考点二,答案C,答案B,答案D等内容,欢迎下载使用。
备战2024年高考总复习一轮(数学)第2章 函数的概念与性质 第5节 指数与指数函数课件PPT: 这是一份备战2024年高考总复习一轮(数学)第2章 函数的概念与性质 第5节 指数与指数函数课件PPT,共34页。PPT课件主要包含了内容索引,强基础固本增分,研考点精准突破,0+∞,增函数,减函数,答案B等内容,欢迎下载使用。
高考数学一轮复习第2章函数的概念与性质第9节函数的应用课件: 这是一份高考数学一轮复习第2章函数的概念与性质第9节函数的应用课件,共49页。

