资料中包含下列文件,点击文件名可预览资料内容
还剩10页未读,
继续阅读
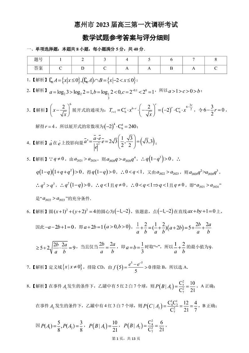
惠州市2023届高三第一次调研考试数学试题及参考答案
展开
这是一份惠州市2023届高三第一次调研考试数学试题及参考答案,文件包含答案第一稿惠州市2023届高三第一次调研考试数学试题参考答案与评分细则pdf、惠州市2023届高三第一次调研考试数学试题pdf等2份试卷配套教学资源,其中试卷共19页, 欢迎下载使用。
相关试卷
惠州市2024届高三第一次调研考试数学试题及参考答案:
这是一份惠州市2024届高三第一次调研考试数学试题及参考答案,文件包含惠州市2024届高三第一次调研考试数学参考答案与评分细则pdf、惠州市2024届高三第一次调研考试数学试题pdf等2份试卷配套教学资源,其中试卷共16页, 欢迎下载使用。
惠州市2024届高三第一次调研考试数学试题:
这是一份惠州市2024届高三第一次调研考试数学试题,共16页。
惠州市2024届高三第一次调研考试数学试题:
这是一份惠州市2024届高三第一次调研考试数学试题,共5页。

