资料中包含下列文件,点击文件名可预览资料内容
还剩4页未读,
继续阅读
2021河南省豫南九校高二上学期第一次联考(9月)数学理试卷扫描版含答案
展开
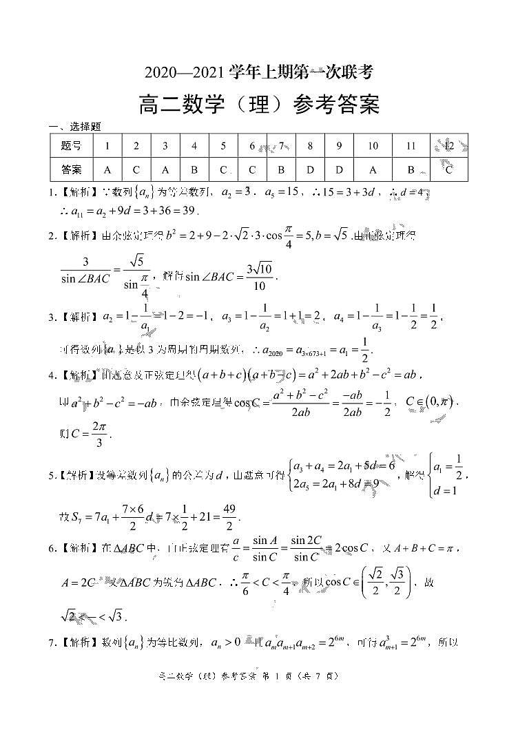
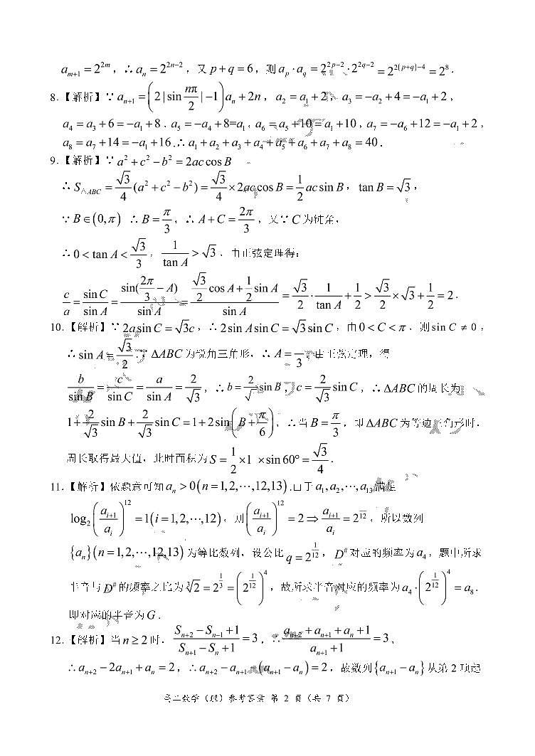
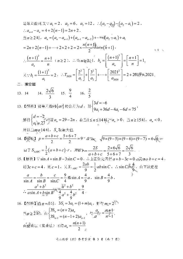
这是一份2021河南省豫南九校高二上学期第一次联考(9月)数学理试卷扫描版含答案,文件包含数学理参考答案1000pdf、理数pdf等2份试卷配套教学资源,其中试卷共11页, 欢迎下载使用。
相关试卷
2021河南省豫南九校高二上学期第一次联考(9月)数学(理)含答案:
这是一份2021河南省豫南九校高二上学期第一次联考(9月)数学(理)含答案
2021河南省豫南九校高二上学期第二次联考数学(文)试题PDF版含答案:
这是一份2021河南省豫南九校高二上学期第二次联考数学(文)试题PDF版含答案
2021河南省豫南九校高二上学期第四次联考数学(文)试卷PDF版含答案:
这是一份2021河南省豫南九校高二上学期第四次联考数学(文)试卷PDF版含答案

