2021淮南高三下学期4月第二次模拟考试(二模)数学(理)试题PDF版含答案
展开2021届安徽省淮南市高三下学期4月第二次模拟考试(二模)数学(文)试题 PDF版: 这是一份2021届安徽省淮南市高三下学期4月第二次模拟考试(二模)数学(文)试题 PDF版,文件包含数学文科试题pdf、数学文科答案终pdf等2份试卷配套教学资源,其中试卷共11页, 欢迎下载使用。
2021届安徽省淮南市高三下学期4月第二次模拟考试(二模)数学(理)试题 PDF版: 这是一份2021届安徽省淮南市高三下学期4月第二次模拟考试(二模)数学(理)试题 PDF版,文件包含数学理科答案终pdf、数学理科试题pdf等2份试卷配套教学资源,其中试卷共12页, 欢迎下载使用。
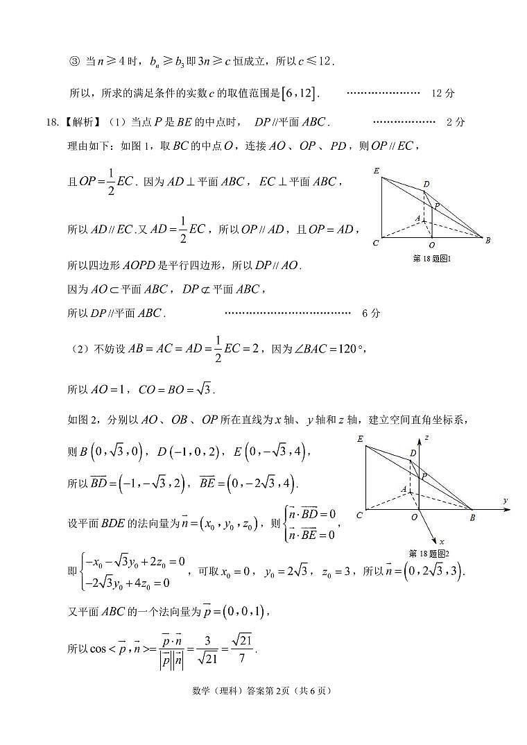
2021淮南高三下学期4月第二次模拟考试(二模)数学(理)试题含答案: 这是一份2021淮南高三下学期4月第二次模拟考试(二模)数学(理)试题含答案,文件包含淮南二模2021数学理科答案pdf、2021届安徽省淮南市高三4月第二次模拟考试数学理试题word含答案docx等2份试卷配套教学资源,其中试卷共16页, 欢迎下载使用。

