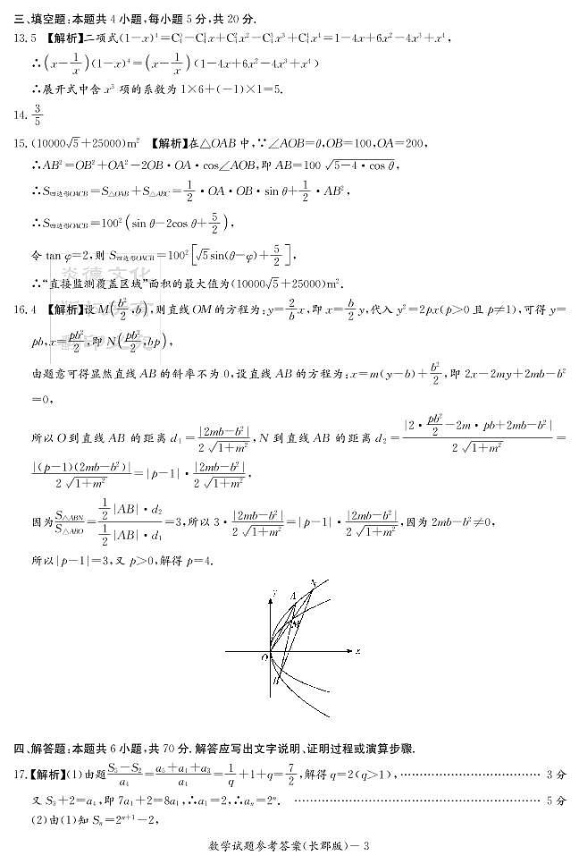
2021长郡中学高三第六次月考数学试卷及参考答案
展开2024长郡中学高三第五次月考数学试卷及参考答案: 这是一份2024长郡中学高三第五次月考数学试卷及参考答案,文件包含数学试卷长郡5pdf、数学答案长郡五pdf等2份试卷配套教学资源,其中试卷共11页, 欢迎下载使用。
2023长郡中学高三第五次月考数学试卷及参考答案: 这是一份2023长郡中学高三第五次月考数学试卷及参考答案,文件包含数学答案长郡第5次pdf、数学试卷长郡第5次pdf等2份试卷配套教学资源,其中试卷共11页, 欢迎下载使用。
2023届长郡中学高三第3次月考数学试卷及参考答案: 这是一份2023届长郡中学高三第3次月考数学试卷及参考答案

