还剩4页未读,
继续阅读
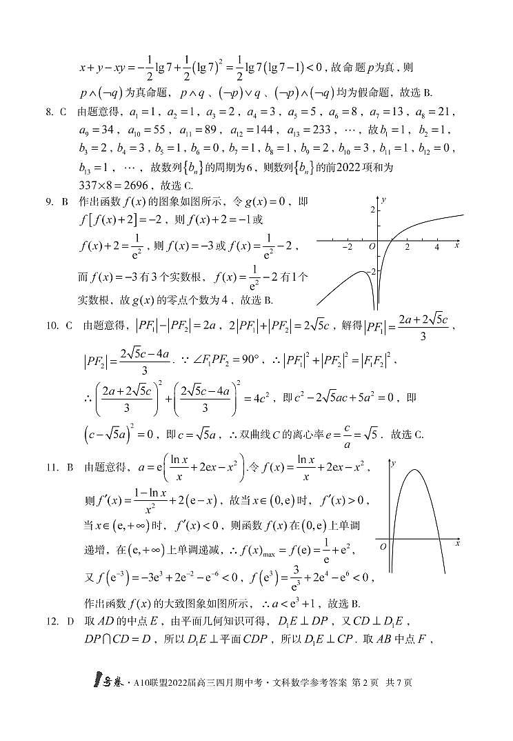
1号卷 A10联盟2022届高三四月期中考数学(文科)答案
展开
这是一份1号卷 A10联盟2022届高三四月期中考数学(文科)答案,共7页。
相关试卷
1号卷·A10联盟2021届高三开年考文科数学:
这是一份1号卷·A10联盟2021届高三开年考文科数学,共2页。
1号卷·A10联盟2021届高三开年考文科数学答案:
这是一份1号卷·A10联盟2021届高三开年考文科数学答案,共8页。
1号卷 A10联盟2022届高三四月期中考数学(理科)答案:
这是一份1号卷 A10联盟2022届高三四月期中考数学(理科)答案,共8页。

