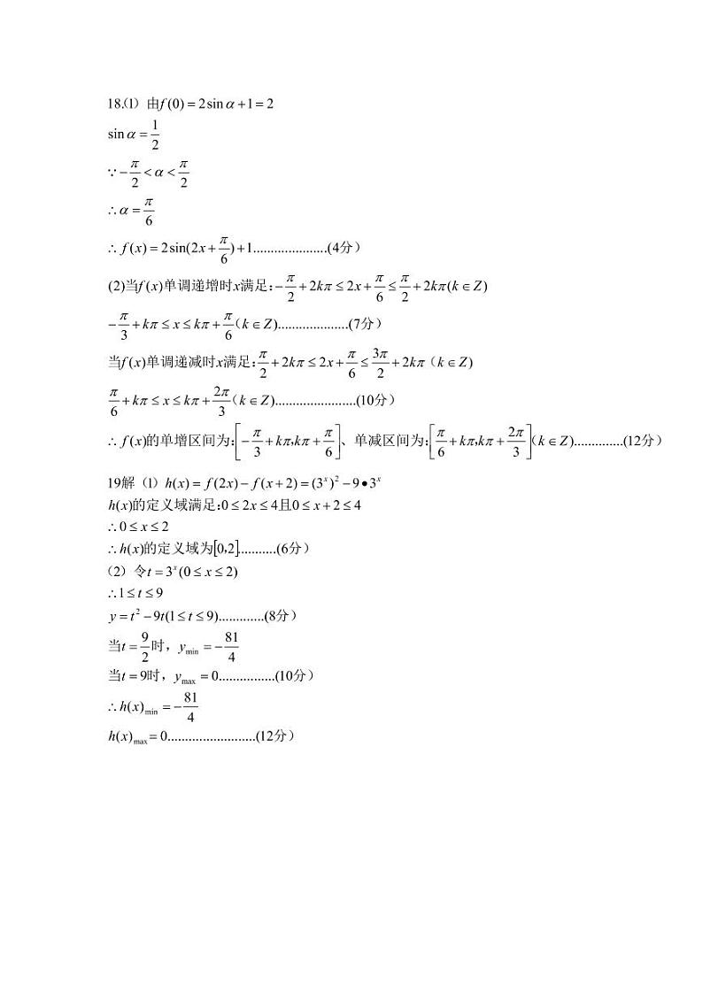
2021湘鄂冀三省来凤县高级中学等七校高一上学期期末联考数学试题PDF版含答案
展开2022-2023学年湘鄂冀三省七校高一上学期10月联考数学试题 PDF版: 这是一份2022-2023学年湘鄂冀三省七校高一上学期10月联考数学试题 PDF版,文件包含数学试题pdf、数学答案pdf等2份试卷配套教学资源,其中试卷共7页, 欢迎下载使用。
2023湘鄂冀三省七校高一上学期10月联考试题数学PDF版含答案: 这是一份2023湘鄂冀三省七校高一上学期10月联考试题数学PDF版含答案,文件包含数学试题pdf、数学答案pdf等2份试卷配套教学资源,其中试卷共7页, 欢迎下载使用。
湘鄂冀三省七校2022-2023学年高一上学期10月联考数学试卷(PDF版): 这是一份湘鄂冀三省七校2022-2023学年高一上学期10月联考数学试卷(PDF版),共7页。

