2022年4月浙江三市高三教学质量检测试卷(二模)数学试题
展开浙江省杭州市2023届高三下学期教学质量检测(二模)数学试题: 这是一份浙江省杭州市2023届高三下学期教学质量检测(二模)数学试题,共25页。试卷主要包含了 本试卷分试题卷和答题卷两部分, 考试结束,只需上交答题卡等内容,欢迎下载使用。
【试卷】浙江省杭州市2023届高三下学期教学质量检测_二模_数学试题(含答案): 这是一份【试卷】浙江省杭州市2023届高三下学期教学质量检测_二模_数学试题(含答案),共11页。
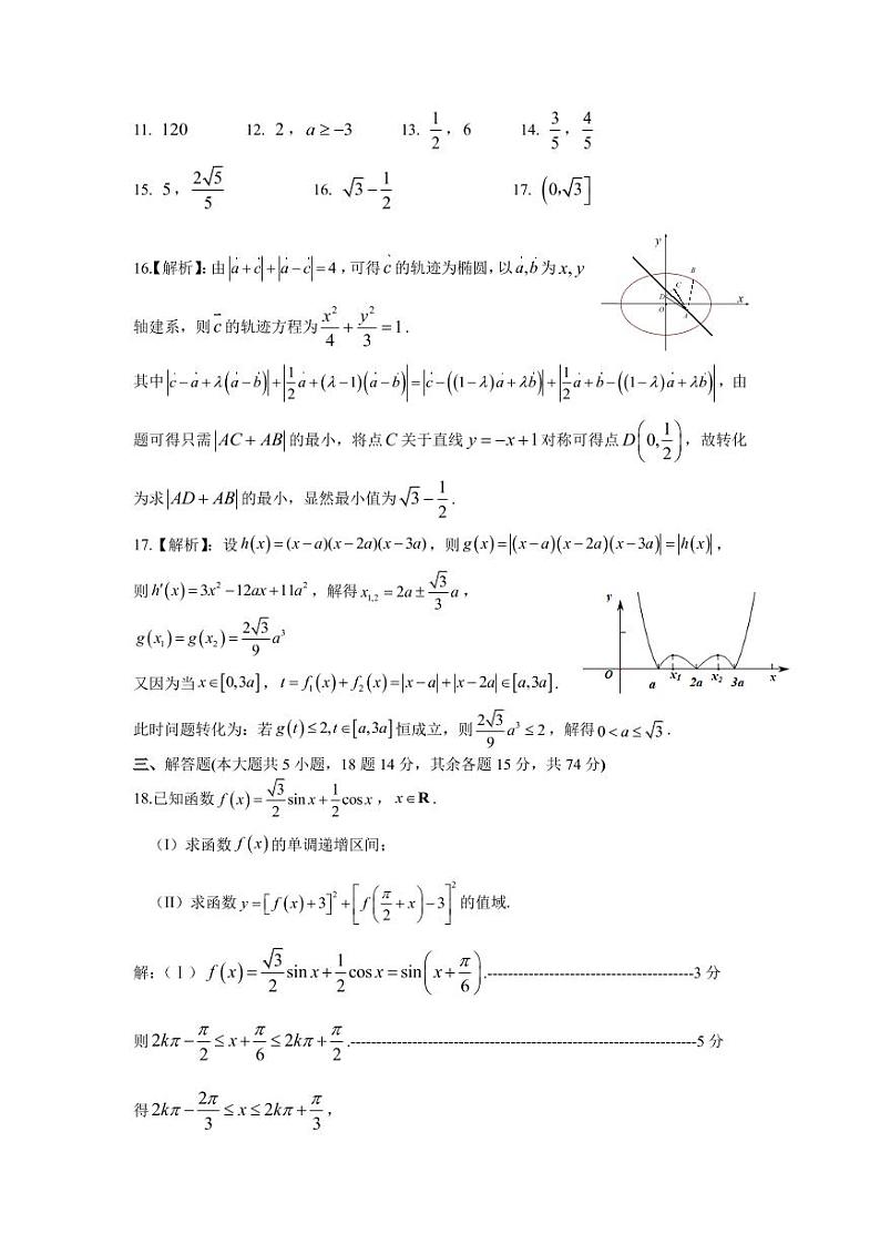
浙江省杭州市2023届高三下学期教学质量检测(二模)数学试题: 这是一份浙江省杭州市2023届高三下学期教学质量检测(二模)数学试题,文件包含2022届杭州市高三下学期第二次质量检测数学试题pdf、2022届杭州市高三下学期第二次质量检测数学试题答案pdf等2份试卷配套教学资源,其中试卷共8页, 欢迎下载使用。

