资料中包含下列文件,点击文件名可预览资料内容
还剩5页未读,
继续阅读
所属成套资源:2022届黑龙江省哈尔滨市第三中学校高三第三次模拟考试
成套系列资料,整套一键下载
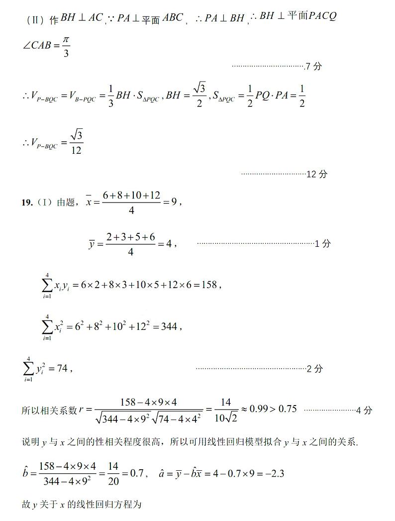
2022届黑龙江省哈尔滨市第三中学校高三第三次模拟考试文科数学试题及答案
展开
这是一份2022届黑龙江省哈尔滨市第三中学校高三第三次模拟考试文科数学试题及答案,文件包含2022届黑龙江省哈尔滨市第三中学校高三第三次模拟考试文科数学试题pdf、哈三中文科数学参考答案pdf等2份试卷配套教学资源,其中试卷共14页, 欢迎下载使用。
相关试卷
黑龙江省哈尔滨市第六中学校2023届高三第三次模拟考试数学试题及参考答案:
这是一份黑龙江省哈尔滨市第六中学校2023届高三第三次模拟考试数学试题及参考答案,共4页。
2022届黑龙江省哈尔滨市第三中学校高三第三次模拟考试文科数学试题含答案:
这是一份2022届黑龙江省哈尔滨市第三中学校高三第三次模拟考试文科数学试题含答案,共30页。试卷主要包含了选择题,填空题,解答题,选做题等内容,欢迎下载使用。
2022届黑龙江省哈尔滨市第三中学校高三第三次模拟考试理科数学试题含答案:
这是一份2022届黑龙江省哈尔滨市第三中学校高三第三次模拟考试理科数学试题含答案,共34页。试卷主要包含了选择题,填空题,解答题,选做题等内容,欢迎下载使用。

