安徽名校2020-2021学年高二上学期期中联考数学(理)试题(可编辑) PDF版含答案
展开2020-2021学年河南省百强名校高二上学期11月联考数学(理)试题 PDF版: 这是一份2020-2021学年河南省百强名校高二上学期11月联考数学(理)试题 PDF版,共8页。
安徽省卓越县中联盟2020-2021学年高二上学期期中联考数学(理)试卷 PDF版含答案: 这是一份安徽省卓越县中联盟2020-2021学年高二上学期期中联考数学(理)试卷 PDF版含答案,文件包含高二数学理答案1docx、高二联考数学试题-理科pdf等2份试卷配套教学资源,其中试卷共11页, 欢迎下载使用。
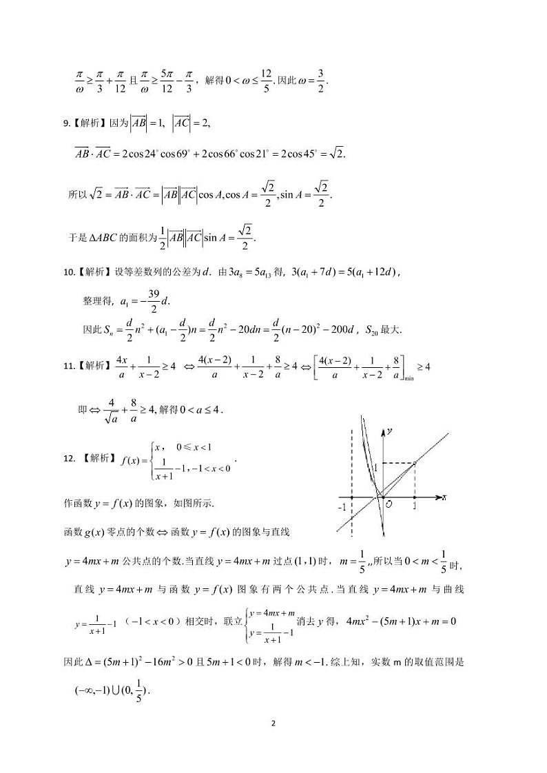
黑吉两省十校2020-2021学年高二上学期期中联考数学(理)试题 PDF版含答案: 这是一份黑吉两省十校2020-2021学年高二上学期期中联考数学(理)试题 PDF版含答案,文件包含212105D-高二答案数学理pdf、高二212105D-数学理pdf等2份试卷配套教学资源,其中试卷共8页, 欢迎下载使用。

