所属成套资源:2022届高三高考数学一轮复习专项训练
第五章 三角函数专练9—三角函数大题专练(4)-2022届高三数学一轮复习
展开
这是一份第五章 三角函数专练9—三角函数大题专练(4)-2022届高三数学一轮复习,共8页。试卷主要包含了已知向量,,设函数,已知函数,已知向量,,且等内容,欢迎下载使用。
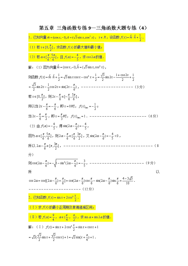
第五章 三角函数专练9—三角函数大题专练(4)1.已知向量,,设函数.(1)若,求函数的最大值和最小值;(2)若,且,求的值.解:(1)因为向量,则函数,(3分)若,则,所以当,即时,;当,即时,.(6分)(2)由,得,因为,则,又,所以,(8分)则,(9分)所以.(12分)2.已知函数.(Ⅰ)求的最小正周期及单调递减区间;(Ⅱ)若,,,求的值.解:(Ⅰ).函数的最小正周期;由,得,,的单调递减区间为,,;(Ⅱ)由,得,则,又,,则,,故,;,.3.某同学用”五点法”画函数,在某一个周期内的图象时,列表并填入了部分数据,如表所示.0 0200(Ⅰ)直接写出表格中空格处的数以及的解析式;(Ⅱ)将图象上所有的点向右平移个单位长度,得到的图象,若图象的一条对称轴方程为,求的值;(Ⅲ)在(Ⅱ)的条件下,若对任意的,恒有,求的最大值.解:(Ⅰ)由题意空格处的,,周期,故,当时,,而,解得:,故;(Ⅱ)由题意,当时,,,解得:,,由于,故;(Ⅲ)由(Ⅱ)知:,原问题转化为对任意的恒成立,即在,上单调递增,由,令,解得:,故的最大值是.4.已知函数.在下列条件①、条件②、条件③这三个条件中,选择可以确定和值的两个条件作为已知.(Ⅰ)求的值;(Ⅱ)若函数在区间,上是增函数,求实数的最大值条件①:最小正周期为;条件②:最大值与最小值之和为0;条件③:.解:函数,选条件①②:由于最小正周期为,所以,所以;由最大值与最小值之和为0,,,故,解得.所以.故(Ⅰ).(Ⅱ)由于函数在区间,上是增函数,所以,即,解得,故的最大值为.5.已知函数,,在一个周期内,当时,有最大值为2,当时,有最小值为.(1)求函数表达式;(2)并画出函数在一个周期内的简图.(用“五点法” ;(3)当,时,求函数的最值.解:(1)在1个周期内,当时有最大值为2,当时有最小值为,所以,且函数的周期,所以.把,代入,得,;解得,,结合,取,得;所以函数表达式为.(2)由题意列表如下:00200描点、连线,画出函数在1个周期,上的简图如下:(3),时,,,所以,,所以,即时,为最小值;,即时,为最大值.所以,当时,有最小值为,当时,有最大值为2.6.在①函数,的图象向右平移个单位长度得到的图象,图象关于原点对称;②向量,,,,,;③函数这三个条件中任选一个,补充在下面问题中,并解答.已知______,函数的图象相邻两条对称轴之间的距离为.(1)若,且,求的值;(2)求函数在,上的单调递减区间.解:选条件①函数,的图象向右平移个单位长度得到的图象,图象关于原点对称.由题意可得,解得,所以,所以.由的图象关于原点对称,可得,,由于,可得,即;(1)因为,且,所以,,,所以;(2)由,,可得,,令,可得,令,可得.所以函数在,上的单调递减区间为,,,.选②向量,,,,,,由题意可得,解得,即;(1)因为,且,所以,,,所以;(2)由,,可得,,令,可得,令,可得.所以函数在,上的单调递减区间为,,,.选③函数,,由题意可得,解得,即;(1)因为,且,所以,,,所以;(2)由,,可得,,令,可得,令,可得.所以函数在,上的单调递减区间为,,,.7.已知向量,,且.(1)求的值;(2)若,,且,求的值.解:(1)因为,所以,所以,所以,即.(2)因为,,所以,因为,所以,所以,因为,所以,因为,且,所以,因为,所以.因为,所以.
相关试卷
这是一份统考版2024版高考数学一轮复习微专题小练习专练24高考大题专练二三角函数与解三角形的综合运用理,共6页。
这是一份第五章 三角函数专练7—三角函数大题专练(2)-2022届高三数学一轮复习,共6页。试卷主要包含了已知函数,已知是的内角,函数的最大值为,已知函数,的最小值为0等内容,欢迎下载使用。
这是一份第五章 三角函数专练6—三角函数大题专练(1)-2022届高三数学一轮复习,共6页。试卷主要包含了函数在上的最大值为,函数,,的部分图象如图所示,已知函数的图象与轴的交点坐标为,已知且满足,函数等内容,欢迎下载使用。

