2022版高考数学复习热点二情境问题突出素养导向PPT课件
展开第一篇高考前沿 把握趋势(领航篇)
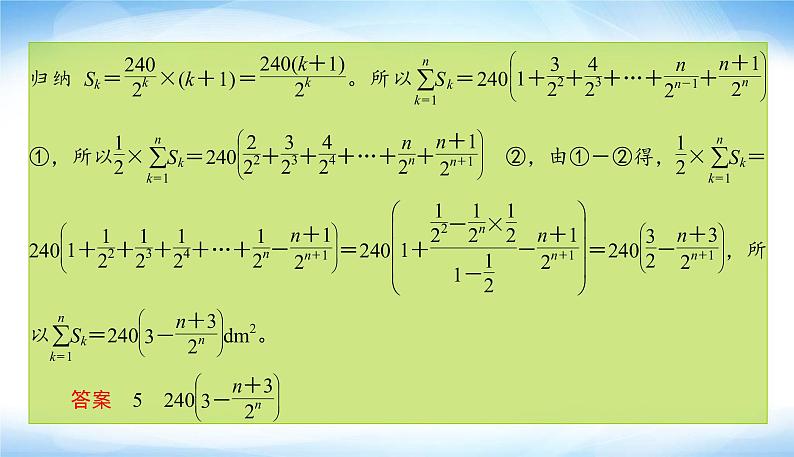
热点二情境问题 突出素养导向
统考版2024高考数学二轮专题复习第一篇核心价值引领引领一素养导向五育并举课件文: 这是一份统考版2024高考数学二轮专题复习第一篇核心价值引领引领一素养导向五育并举课件文,共55页。PPT课件主要包含了导向一,导向二,导向三,答案C,答案D,答案B,答案A等内容,欢迎下载使用。
统考版2024高考数学二轮专题复习第一篇核心价值引领引领一素养导向五育并举课件理: 这是一份统考版2024高考数学二轮专题复习第一篇核心价值引领引领一素养导向五育并举课件理,共53页。PPT课件主要包含了导向一,导向二,导向三,答案C,答案B,x-y+2=0,答案A,答案D等内容,欢迎下载使用。
(统考版)2023高考数学二轮专题复习 第一篇 核心价值引领(培素养 稳得分)引领一 素养导向、五育并举课件: 这是一份(统考版)2023高考数学二轮专题复习 第一篇 核心价值引领(培素养 稳得分)引领一 素养导向、五育并举课件,共56页。PPT课件主要包含了导向一,导向二,导向三,答案C,答案A,答案B,x-y+2=0,答案D等内容,欢迎下载使用。

