高考数学考前必备提分攻略九解析几何的4个计算技巧PPT课件
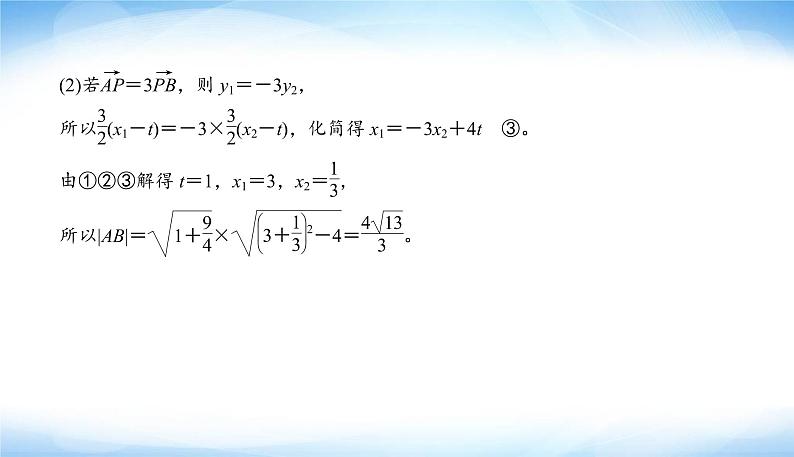
展开提分攻略九 解析几何的4个计算技巧
高考数学考前必备提分攻略十二导数中的“隐零点问题”PPT课件: 这是一份高考数学考前必备提分攻略十二导数中的“隐零点问题”PPT课件,共7页。
高考数学考前必备提分攻略十一概率统计的3个提分点PPT课件: 这是一份高考数学考前必备提分攻略十一概率统计的3个提分点PPT课件,共24页。
高考数学考前必备提分攻略十解析几何中的7种定值问题PPT课件: 这是一份高考数学考前必备提分攻略十解析几何中的7种定值问题PPT课件,共26页。

