还剩5页未读,
继续阅读
所属成套资源:六年级下学期小升初模拟专项训练
成套系列资料,整套一键下载
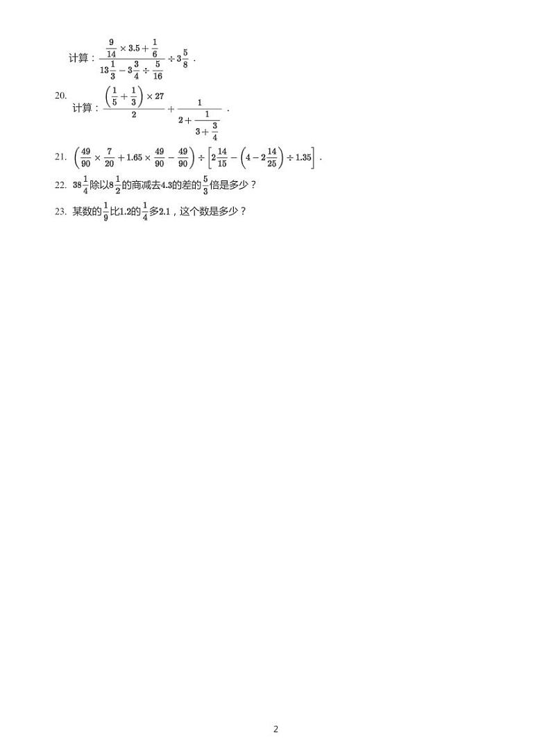
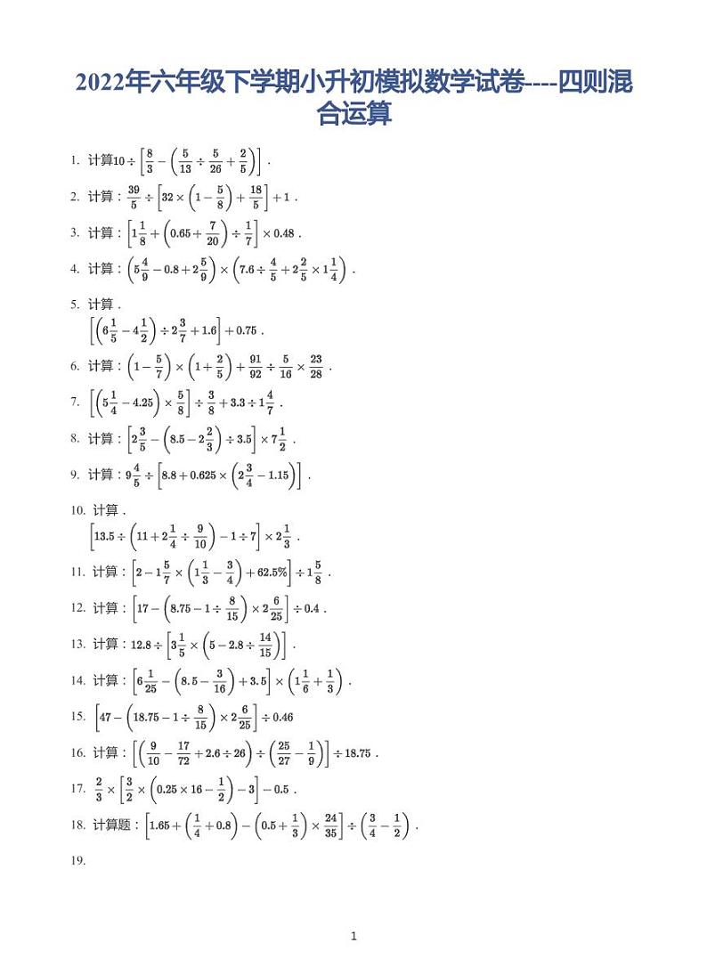
2022年六年级下学期小升初模拟数学试卷---四则混合运算带答案
展开
这是一份2022年六年级下学期小升初模拟数学试卷---四则混合运算带答案,共8页。
相关试卷
2022六年级下学期小升初模拟数学试卷----分段计费(带答案):
这是一份2022六年级下学期小升初模拟数学试卷----分段计费(带答案),共7页。
2022六年级下学期小升初模拟数学试卷----工程问题(带答案):
这是一份2022六年级下学期小升初模拟数学试卷----工程问题(带答案),共4页。
2022年六年级下学期小升初模拟数学试卷---抽屉原理 带答案:
这是一份2022年六年级下学期小升初模拟数学试卷---抽屉原理 带答案,共4页。

