第三章 第二节第三课时 利用导数研究函数的单调性课件PPT
展开课时跟踪检测(十七) 利用导数研究函数的单调性
1.函数f(x)=(x+2)ex的单调递增区间是( )
A.(-∞,3) B.(0,3)
C.(-3,0) D.(-3,+∞)
解析:选D 由已知f′(x)=(x+3)ex,
当x<-3时f′(x)<0,当x>-3时f′(x)>0,
所以增区间为(-3,+∞).
2.(2021·聊城模拟)已知f′(x)是函数f(x)的导函数,且f(-x)=f(x),当x≥0时,f′(x)>3x,则不等式f(x)-f(x-1)<3x-的解集是( )
A. B.
C. D.
解析:选D 设g(x)=f(x)-x2,则g′(x)=f′(x)-3x.因为当x≥0时,f′(x)>3x,
所以当x≥0时,g′(x)=f′(x)-3x>0,
即g(x)在[0,+∞)上单调递增.
因为f(-x)=f(x),
所以g(-x)=f(-x)-x2=f(x)-x2=g(x),
所以g(x)是偶函数.因为f(x)-f(x-1)<3x-,
所以f(x)-x2<f(x-1)-(x-1)2,
即g(x)<g(x-1),所以g(|x|)<g(|x-1|),
则|x|<|x-1|,解得x<.
3.(多选)(2021·重庆检测)若定义在R上的函数f(x)满足f(0)=-1,其导函数f′(x)满足f′(x)>m>1,则下列成立的有( )
A.f> B.f<-1
C.f> D.f<0
解析:选AC 设g(x)=f(x)-mx,则g′(x)=f′(x)-m>0,故函数g(x)=f(x)-mx在R上单调递增,又>0,∴g>g(0),即f-1>-1,∴f>0,
而<0,∴f>,故A正确,B错误.
∵>0,∴g>g(0),即f->-1,f>>0,故C正确,D错误.
4.(2020·南京检测)若函数f(x)=x2+x-ln x-2在其定义域的一个子区间(2k-1,2k+1)内不是单调函数,则实数k的取值范围是( )
A. B.
C. D.
解析:选D 因为函数f(x)的定义域为(0,+∞),
所以2k-1≥0,即k≥,
又f′(x)=2x+1-=,
令f′(x)=0,解得x=或x=-1(舍去),
由于函数在区间(2k-1,2k+1)内不是单调函数,
所以∈(2k-1,2k+1),
即2k-1<<2k+1,解得-<k<,
综上可得≤k<,故选D.
5.(多选)(2021年1月新高考八省联考卷)已知函数f(x)=xln(1+x),则( )
A.f(x)在(0,+∞)单调递增
B.f(x)有两个零点
C.曲线y=f(x)在点处切线的斜率为-1-ln 2
D.f(x)是偶函数
解析:选AC f(x)定义域为(-1,+∞),不关于原点对称,故选项D不正确.
因为f′(x)=ln(1+x)+,当x∈(0,+∞)时,f′(x)>0恒成立,
所以f(x)在(0,+∞)单调递增,故选项A正确.
又因为f″(x)=+=,当x∈(-1,+∞)时,f″(x)>0恒成立,
所以f′(x)=ln(1+x)+在(-1,+∞)单调递增,
又f′(0)=0,
所以当x∈(-1,0)时,f′(x)<0,f(x)在(-1,0)单调递减;
当x∈(0,+∞)时,f′(x)>0,f(x)在(0,+∞)单调递增.
又f(0)=0,所以f(x)只有一个零点,故选项B不正确.
因为f′(x)=ln(1+x)+,
所以f′=ln-1=-1-ln 2,
故选项C正确.
6.若函数y=-x3+ax有三个单调区间,则实数a的取值范围是________.
解析:y′=-x2+a,y=-x3+ax有三个单调区间,则方程-x2+a=0应有两个不等实根,故a>0.
答案:(0,+∞)
7.定义在(0,+∞)上的函数f(x)满足x2f′(x)+1>0,f(1)=5,则不等式f(x)<+4的解集为________.
解析:设g(x)=f(x)--4,由x2f′(x)+1>0,得g′(x)=f′(x)+>0.
故函数g(x)在(0,+∞)上单调递增,
又g(1)=0,故g(x)<0的解集为(0,1),即f(x)<+4的解集为(0,1).
答案:(0,1)
8.已知函数f(x)=ax2-xln x在上单调递增,则实数a的取值范围是________.
解析:由f′(x)=2ax-ln x-1≥0,
解得2a≥在上恒成立,
构造函数g(x)=,
则由g′(x)===0,
得x=1,∴g(x)在上单调递增,在(1,+∞)上单调递减,g(x)的最大值为g(1)=1,∴2a≥1,a≥.
答案:
9.已知函数f(x)=-x3+3x2+9x-2,求:
(1)函数y=f(x)的图象在点(0,f(0))处的切线方程;
(2)f(x)的单调递减区间.
解:(1)由题意得:f′(x)=-3x2+6x+9=-3(x2-2x-3)=-3(x-3)(x+1),
∴f′(0)=9,又f(0)=-2,
∴y=f(x)在(0,f(0))处的切线方程为y+2=9(x-0),即9x-y-2=0.
(2)由(1)知:f′(x)=-3(x-3)(x+1),
∴当x∈(-∞,-1)∪(3,+∞)时,f′(x)<0;
当x∈(-1,3)时,f′(x)>0;
∴f(x)的单调递减区间为(-∞,-1),(3,+∞).
10.已知函数f(x)=x2+aln x.
(1)当a=-2时,求函数f(x)的单调区间;
(2)若函数g(x)=f(x)+在[1,+∞)上是单调函数,求实数a的取值范围.
解:(1)函数f(x)的定义域是(0,+∞),a=-2时,
f′(x)=2x-=,
当0<x<1时,f′(x)<0,当x>1时,f′(x)>0.
∴f(x)的单调递增区间是(1,+∞),单调递减区间是(0,1).
(2)g(x)=x2+aln x+,g′(x)=2x+-,
由题意当x≥1时,g′(x)≥0恒成立,或g′(x)≤0恒成立.
若g′(x)=2x+-≥0,
则a≥-2x2=-,
当x≥1时,-≤0,∴a≥0;
若g′(x)=2x+-≤0,
则a≤-2x2=-,
当x≥1时,-≤0无最小值,
∴g′(x)≤0不可能恒成立.
综上,a的取值范围是[0,+∞).
11.已知函数f(x)=(x-1)2+mln x,其中m∈R.
(1)当m=2时,求函数f(x)的图象在点(1,0)处的切线方程;
(2)试讨论函数f(x)的单调性.
解:(1)当m=2时,f(x)=(x-1)2+2ln x,
其导数f′(x)=2(x-1)+,所以f′(1)=2,
即函数f(x)的图象在点(1,0)处的切线斜率为2.
又切点为(1,0),所以切线方程为2x-y-2=0.
(2)函数f(x)的定义域为(0,+∞),
f′(x)=2(x-1)+=.
令g(x)=2x2-2x+m,x>0,
其图象的对称轴为直线x=,g=m-,
g(0)=m,
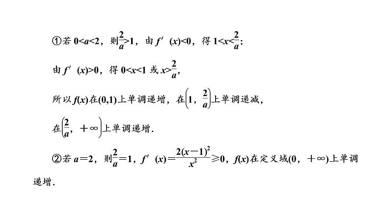
①当g≥0,即m≥时,g(x)≥0,即f′(x)≥0.
此时,f(x)在(0,+∞)上单调递增;
②当g<0且g(0)>0,即0<m<时,令g(x)=0,
得x1=,x2=,
此时,f(x)在,上单调递增,
在上单调递减;
③当g(0)≤0,即m≤0时,令g(x)=0,
得x0=,此时f(x)在上单调递减,在上单调递增.
综上所述,当m≥时,f(x)在(0,+∞)上单调递增;
当0<m<时,f(x)在,上单调递增,
在上单调递减;
当m≤0时,f(x)在上单调递减,在上单调递增.
广东专用2024版高考数学大一轮总复习第三章一元函数的导数及其应用3.2导数在研究函数中的应用第1课时利用导数研究函数的单调性课件: 这是一份广东专用2024版高考数学大一轮总复习第三章一元函数的导数及其应用3.2导数在研究函数中的应用第1课时利用导数研究函数的单调性课件,共60页。
高中数学人教B版 (2019)选择性必修 第三册6.2.1导数与函数的单调性完整版ppt课件: 这是一份高中数学人教B版 (2019)选择性必修 第三册6.2.1导数与函数的单调性完整版ppt课件,共32页。PPT课件主要包含了学习目标,新知学习,即时巩固,典例剖析,随堂小测,课堂小结等内容,欢迎下载使用。
高考数学一轮复习配套课件 第三章 第二节 第1课时 利用导数研究函数的单调性: 这是一份高考数学一轮复习配套课件 第三章 第二节 第1课时 利用导数研究函数的单调性,共43页。PPT课件主要包含了关键能力考点突破,微专题,答案A,答案D,-20,答案1D,2+∞,答案C等内容,欢迎下载使用。

