还剩56页未读,
继续阅读
所属成套资源:高中数学一轮复习课件
成套系列资料,整套一键下载
高端精品高中数学一轮专题-基本不等式及其应用课件
展开
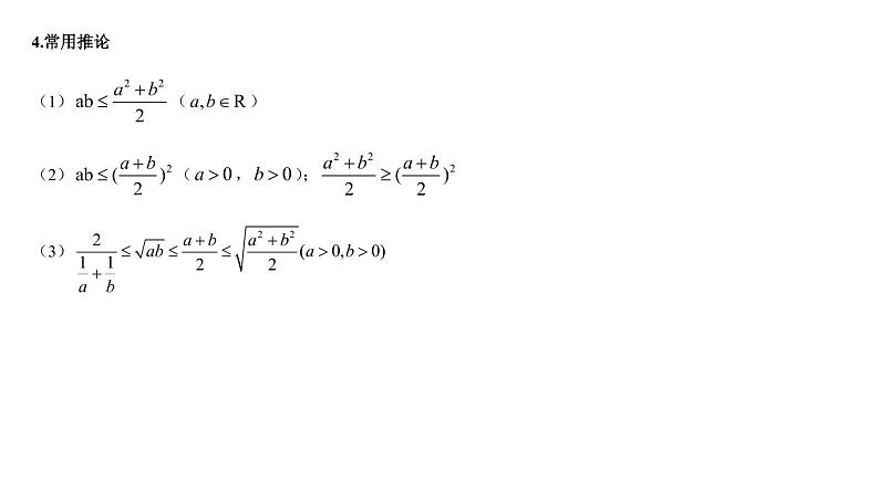
这是一份高端精品高中数学一轮专题-基本不等式及其应用课件,共59页。
相关课件
高端精品高中数学一轮专题-基本不等式及其应用课件:
这是一份高端精品高中数学一轮专题-基本不等式及其应用课件,共59页。
高端精品高中数学一轮专题-余弦定理、正弦定理的应用课件:
这是一份高端精品高中数学一轮专题-余弦定理、正弦定理的应用课件,共33页。
高端精品高中数学一轮专题-余弦定理、正弦定理的应用课件:
这是一份高端精品高中数学一轮专题-余弦定理、正弦定理的应用课件,共33页。

