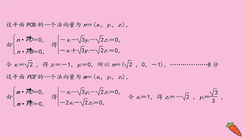
2022版高考苏教版数学(江苏专用)一轮课件:规范答题提分课 立体几何综合问题
展开规范答题提分课立体几何综合问题本课结束
广东专用2024版高考数学大一轮总复习第七章立体几何综合突破四立体几何综合问题课件: 这是一份广东专用2024版高考数学大一轮总复习第七章立体几何综合突破四立体几何综合问题课件,共60页。PPT课件主要包含了核心考点精准突破,课时作业知能提升,考点三求线面角,考点四求二面角,巩固强化等内容,欢迎下载使用。
2022版高考苏教版数学(江苏专用)一轮课件:规范答题提分课 数列综合问题: 这是一份2022版高考苏教版数学(江苏专用)一轮课件:规范答题提分课 数列综合问题,共10页。
2022版高考苏教版数学(江苏专用)一轮课件:规范答题提分课 三角综合问题: 这是一份2022版高考苏教版数学(江苏专用)一轮课件:规范答题提分课 三角综合问题,共10页。

