专题19有机化学基础(选修)——三年(2019-2021)高考化学真题分项汇编(全国通用)(解析版)
展开专题19 有机化学基础(选修)
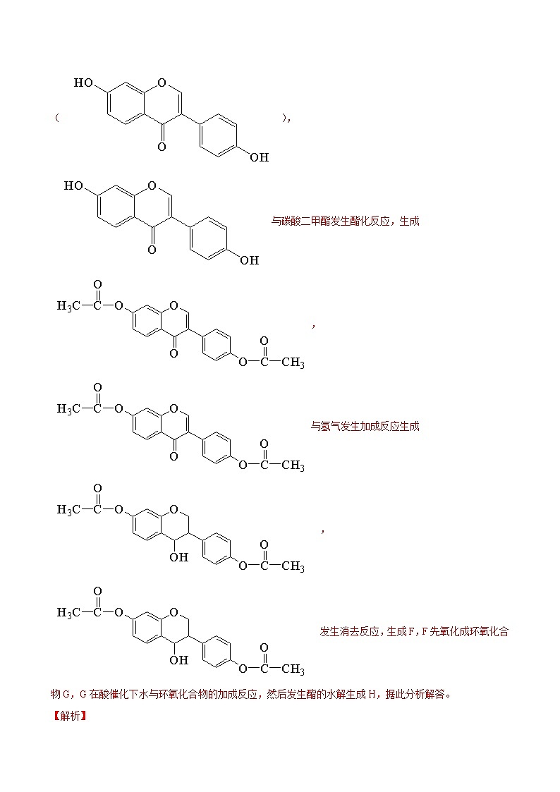
1.(2021·全国甲卷)近年来,以大豆素(化合物C)为主要成分的大豆异黄酮及其衍生物,因其具有优良的生理活性而备受关注。大豆素的合成及其衍生化的一种工艺路线如下:
回答下列问题:
(1)A的化学名称为_______。
(2)反应生成E至少需要_______氢气。
(3)写出E中任意两种含氧官能团的名称_______。
(4)由E生成F的化学方程式为_______。
(5)由G生成H分两步进行:反应1)是在酸催化下水与环氧化合物的加成反应,则反应2)的反应类型为_______。
(6)化合物B的同分异构体中能同时满足下列条件的有_______(填标号)。
a.含苯环的醛、酮
b.不含过氧键()
c.核磁共振氢谱显示四组峰,且峰面积比为3∶2∶2∶1
A.2个 B.3个 C.4个 D.5个
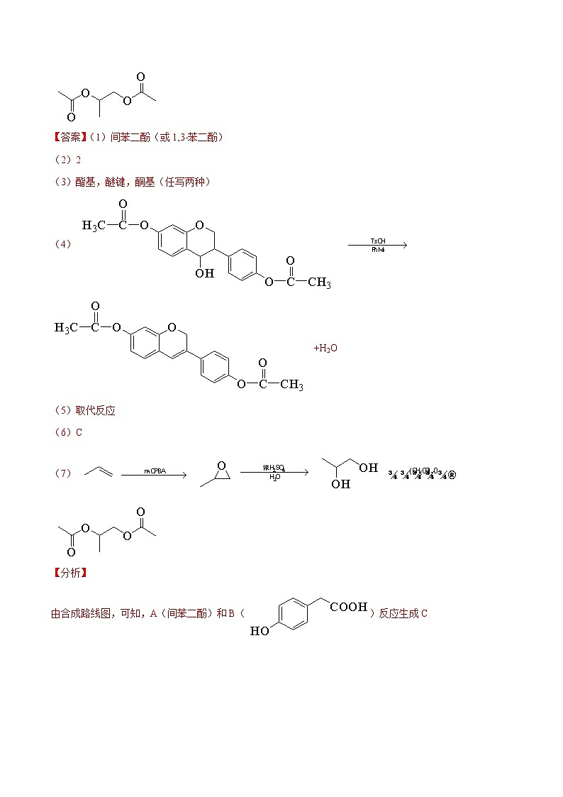
(7)根据上述路线中的相关知识,以丙烯为主要原料用不超过三步的反应设计合成下图有机物,写出合成路线_______。
【答案】(1)间苯二酚(或1,3-苯二酚)
(2)2
(3)酯基,醚键,酮基(任写两种)
(4) +H2O
(5)取代反应
(6)C
(7)
【分析】
由合成路线图,可知,A(间苯二酚)和B()反应生成C(),与碳酸二甲酯发生酯化反应,生成,与氢气发生加成反应生成,发生消去反应,生成F,F先氧化成环氧化合物G,G在酸催化下水与环氧化合物的加成反应,然后发生酯的水解生成H,据此分析解答。
【解析】
(1)A为,化学名称为间苯二酚(或1,3-苯二酚),故答案为:间苯二酚(或1,3-苯二酚);
(2)D为 ,与氢气发生加成反应生成,碳碳双键及酮基都发生了加成反应,所以反应生成E至少需要2氢气,故答案为:2;
(3)E为,含有的含氧官能团的名称为酯基,醚键,酮基(任写两种),故答案为:酯基,醚键,酮基(任写两种);
(4)E为,发生消去反应,生成,化学方程式为 +H2O,故答案为: +H2O;
(5)由G生成H分两步进行:反应1)是在酸催化下水与环氧化合物的加成反应,则反应2)是将酯基水解生成羟基,反应类型为取代反应,故答案为:取代反应;
(6)化合物B为,同分异构体中能同时满足下列条件:.含苯环的醛、酮;b.不含过氧键();c.核磁共振氢谱显示四组峰,且峰面积比为3∶2∶2∶1,说明为醛或酮,而且含有甲基,根据要求可以写出:,,,,故有4种,答案为:C;
(7)以丙烯为主要原料用不超过三步的反应设计合成下图有机物,可以将丙烯在m-CPBA的作用下生成环氧化合物,环氧化合物在酸催化下水发生加成反应,然后再与碳酸二甲酯发生酯化反应即可,故合成路线为: 。
2.(2021·全国乙卷)卤沙唑仑W是一种抗失眠药物,在医药工业中的一种合成方法如下:
已知:(ⅰ)
(ⅱ)
回答下列问题:
(1)A的化学名称是_______。
(2)写出反应③的化学方程式_______。
(3)D具有的官能团名称是_______。(不考虑苯环)
(4)反应④中,Y的结构简式为_______。
(5)反应⑤的反应类型是_______。
(6)C的同分异构体中,含有苯环并能发生银镜反应的化合物共有_______种。
(7)写出W的结构简式_______。
【答案】(1)2-氟甲苯(或邻氟甲苯)
(2)或或
(3)氨基、羰基、卤素原子(溴原子、氟原子)
(4)
(5)取代反应
(6)10
(7)
【分析】
A()在酸性高锰酸钾的氧化下生成B(),与SOCl2反应生成C(),与在氯化锌和氢氧化钠的作用下,发生取代反应生成,与Y()发生取代反应生成,与发生取代反应生成F(),F与乙酸、乙醇反应生成W(),据此分析解答。
【解析】
(1)由A()的结构可知,名称为:2-氟甲苯(或邻氟甲苯),故答案为:2-氟甲苯(或邻氟甲苯);
(2)反应③为与在氯化锌和氢氧化钠的作用下,发生取代反应生成,故答案为:;
(3)含有的官能团为溴原子、氟原子、氨基、羰基,故答案为:氨基、羰基、卤素原子(溴原子、氟原子);
(4) D为,E为,根据结构特点,及反应特征,可推出Y为,故答案为:;
(5) E为,F为,根据结构特点,可知与发生取代反应生成F,故答案为:取代反应;
(6) C为,含有苯环且能发生银镜反应的同分异构体为:含有醛基,氟原子,氯原子,即苯环上含有三个不同的取代基,可能出现的结构有,故其同分异构体为10种,故答案为:10;
(7)根据已知及分析可知,与乙酸、乙醇反应生成,故答案为:。
3.(2021·广东)天然产物Ⅴ具有抗疟活性,某研究小组以化合物Ⅰ为原料合成Ⅴ及其衍生物Ⅵ的路线如下(部分反应条件省略,Ph表示-C6H5):
已知:
(1)化合物Ⅰ中含氧官能团有_______(写名称)。
(2)反应①的方程式可表示为:I+II=III+Z,化合物Z的分子式为_______。
(3)化合物IV能发生银镜反应,其结构简式为_______。
(4)反应②③④中属于还原反应的有_______,属于加成反应的有_______。
(5)化合物Ⅵ的芳香族同分异构体中,同时满足如下条件的有_______种,写出其中任意一种的结构简式:_______。
条件:a.能与NaHCO3反应;b. 最多能与2倍物质的量的NaOH反应;c. 能与3倍物质的量的Na发生放出H2的反应;d.核磁共振氢谱确定分子中有6个化学环境相同的氢原子;e.不含手性碳原子(手性碳原子是指连有4个不同的原子或原子团的饱和碳原子)。
(6)根据上述信息,写出以苯酚的一种同系物及HOCH2CH2Cl为原料合成的路线_______(不需注明反应条件)。
【答案】(1)(酚)羟基、醛基
(2)C18H15OP
(3)
(4)②④ ②
(5)10
(6)
【解析】
(1)根据有机物Ⅰ的结构,有机物Ⅰ为对醛基苯酚,其含氧官能团为(酚)羟基、醛基;
(2)反应①的方程式可表示为:Ⅰ+Ⅱ=Ⅲ+Z,根据反应中Ⅰ、Ⅱ、Ⅲ的分子式和质量守恒定律可知,反应前与反应后的原子个数相同,则反应后Z的分子式为C18H15OP;
(3)已知有机物Ⅳ可以发生银镜反应,说明有机物Ⅳ中含有醛基,又已知有机物Ⅳ可以发生反应生成,则有机物Ⅳ一定含有酚羟基,根据有机物Ⅳ的分子式和可以得出,有机物Ⅳ的结构简式为;
(4)还原反应时物质中元素的化合价降低,在有机反应中一般表现为加氢或者去氧,所以反应②和④为还原反应,其中反应②为加成反应;
(5)化合物Ⅳ的分子式为C10H12O4,能与NaHCO3反应说明含有羧基,能与NaOH反应说明含有酚羟基或羧基或酯基,最多能与2倍物质的量的NaOH反应,说明除一个羧基外还可能含有酚羟基、羧基、酯基其中的一个,能与Na反应的挂能能团为醇羟基、酚羟基、羧基,能与3倍物质的量的发生放出的反应,说明一定含有醇羟基,综上该分子一定含有羧基和醇羟基,由于该分子共有4个碳氧原子,不可能再含有羧基和酯基,则还应含有酚羟基,核磁共振氢谱确定分子中有6个化学环境相同的氢原子,说明含有两个甲基取代基,并且高度对称,据此可知共有三个取代基,分别是-OH、-COOH和,当-OH与-COOH处于对位时,有两种不同的取代位置,即和;当-OH与处于对位时,-COOH有两种不同的取代位置,即和;当-COOH与处于对位时,-OH有两种不同的取代位置,即和;当三个取代基处于三个连续碳时,共有三种情况,即、和;当三个取代基处于间位时,共有一种情况,即,综上分析该有机物的同分异构体共有十种。
(6)根据题给已知条件对甲苯酚与HOCH2CH2Cl反应能得到,之后水解反应得到,观察题中反应可知得到目标产物需要利用反应④,所以合成的路线为。
4.(2021·河北)丁苯酞(NBP)是我国拥有完全自主知识产权的化学药物,临床上用于治疗缺血性脑卒中等疾病。ZJM—289是一种NBP开环体(HPBA)衍生物,在体内外可经酶促或化学转变成NBP和其它活性成分,其合成路线如图:
已知信息:+R2CH2COOH (R1=芳基)
回答下列问题:
(1)A的化学名称为___。
(2)D有多种同分异构体,其中能同时满足下列条件的芳香族化合物的结构简式为___、___。
①可发生银镜反应,也能与FeCl3溶液发生显色反应;
②核磁共振氢谱有四组峰,峰面积比为1∶2∶2∶3。
(3)E→F中(步骤1)的化学方程式为__。
(4)G→H的反应类型为___。若以NaNO3代替AgNO3,则该反应难以进行,AgNO3对该反应的促进作用主要是因为__。
(5)HPBA的结构简式为__。通常酯化反应需在酸催化、加热条件下进行,对比HPBA和NBP的结构,说明常温下HPBA不稳定、易转化为NBP的主要原因___。
(6)W是合成某种抗疟疾药物的中间体类似物。设计由2,4—二氯甲苯()和对三氟甲基苯乙酸()制备W的合成路线__。(无机试剂和四个碳以下的有机试剂任选)。
【答案】(1)邻二甲苯
(2)
(3)
(4)取代反应 AgNO3反应生成的AgBr难溶于水,使平衡正向移动促进反应进行
(5) HPBA中烃基的空间位阻较大,使得羟基较为活泼,常温下不稳定、易转化为NBP
(6)
【解析】
(1)A的分子式为C8H10,不饱和度为4,说明取代基上不含不饱和键,A与O2在V2O5作催化剂并加热条件下生成,由此可知A的结构简式为,其名称为邻二甲苯,故答案为:邻二甲苯。
(2)的同分异构体满足:①可发生银镜反应,也能与FeCl3溶液发生显色反应,说明结构中含有醛基和酚羟基,根据不饱和度可知该结构中除醛基外不含其它不饱和键,②核磁共振氢谱有四组峰,峰面积比为1:2:2:3,说明该结构具有对称性,根据该结构中氧原子数可知该结构中含有1个醛基、2个酚羟基、1个甲基,满足该条件的同分异构体结构简式为和,故答案为:;。
(3)E→F中步骤1)为与NaOH的水溶液反应,中酯基、羧基能与NaOH反应,反应方程式为,故答案为:。
(4)观察流程可知,G→H的反应为中Br原子被AgNO3中-O-NO2取代生成和AgBr,反应类型为取代反应;若以NaNO3代替AgNO3,则该反应难以进行,其原因是NaNO3反应生成的NaNO3易溶于水,而AgNO3反应生成的AgBr难溶于水,使平衡正向移动促进反应进行,故答案为:取代反应;AgNO3反应生成的AgBr难溶于水,使平衡正向移动促进反应进行。
(5)NBP()中酯基在碱性条件下发生水解反应生成,经过酸化后生成HPBA();中烃基体积较大,对羟基的空间位阻较大使得羟基较为活泼,容易与羧基发生酯化反应生成,故答案为:;HPBA中烃基的空间位阻较大,使得羟基较为活泼,常温下不稳定、易转化为NBP。
(6)由和制备可通过题干已知信息而得,因此需要先合成,可通过氯代后水解再催化氧化而得,因此合成路线为,故答案为:。
5.(2021·湖南)叶酸拮抗剂是一种多靶向性抗癌药物。以苯和丁二酸酐为原料合成该化合物的路线如下:
回答下列问题:
已知:①
②
(1)A的结构简式为_______;
(2),的反应类型分别是_______,_______;
(3)M中虚线框内官能团的名称为a_______,b_______;
(4)B有多种同分异构体,同时满足下列条件的同分异构体有_______种(不考虑立体异构)
①苯环上有2个取代基②能够发生银镜反应③与溶液发生显色发应
其中核磁共振氢谱有五组峰,且峰面积之比为6:2:2:1:1的结构简式为_______;
(5)结合上述信息,写出丁二酸酐和乙二醇合成聚丁二酸乙二醇酯的反应方程式_______;
(6)参照上述合成路线,以乙烯和为原料,设计合成的路线_______(其他试剂任选)。
【答案】(1)
(2)还原反应 取代反应
(3)酰胺基 羧基
(4)15
(5)
(6)
【解析】
1)由已知信息①可知,与 反应时断键与成键位置为,由此可知A的结构简式为,故答案为:。
(2)A→B的反应过程中失去O原子,加入H原子,属于还原反应;D→E的反应过程中与醛基相连的碳原子上的H原子被溴原子取代,属于取代反应,故答案为:还原反应;取代反应。
(3)由图可知,M中虚线框内官能团的名称为a:酰胺基;b:羧基。
(4)的同分异构体满足:①能发生银镜反应,说明结构中存在醛基,②与FeCl3溶液发生显色发应,说明含有酚羟基,同时满足苯环上有2个取代基,酚羟基需占据苯环上的1个取代位置,支链上苯环连接方式(红色点标记): 、 共五种,因此一共有5×3=15种结构;其中核磁共振氢谱有五组峰,因酚羟基和醛基均无对称结构,因此峰面积之比为6:2:2:1:1的结构简式一定具有对称性(否则苯环上的氢原子不等效),即苯环上取代基位于对位,核磁共振氢谱中峰面积比为6的氢原子位于与同一碳原子相连的两个甲基上,因此该同分异构的结构简式为,故答案为:15;。
(5)丁二酸酐()和乙二醇(HOCH2CH2OH)合成聚丁二酸乙二醇酯()的过程中,需先将转化为丁二酸,可利用已知信息②实现,然后利用B→C的反应类型合成聚丁二酸乙二醇酯,因此反应方程式为,故答案为:。
(6)以乙烯和为原料合成的路线设计过程中,可利用E→F的反应类型实现,因此需先利用乙烯合成,中醛基可通过羟基催化氧化而得,中溴原子可利用D→E的反应类型实现,因此合成路线为,故答案为:。
【点睛】
有机合成推断解题过程中对信息反应的分析主要是理解成键与断键的位置关系,同时注意是否有小分子物质生成。按照要求书写同分异构体时,需根据题干所给要求得出结构中官能团种类及数目,然后分析该结构是否具有对称性,当核磁共振氢谱中出现比例为6的结构中,一般存在同一个碳原子上连接两个甲基或者甲基具有对称性的情况,当核磁共振氢谱出现比例为9的结构中,一般存在三个甲基连接在同一个碳原子上。
6.(2021·浙江6月选考)某课题组研制了一种具有较高玻璃化转变温度的聚合物P,合成路线如下:
已知:
请回答:
(1)化合物A的结构简式是_______;化合物E的结构简式是_______。
(2)下列说法不正确的是_______。
A.化合物B分子中所有的碳原子共平面
B.化合物D的分子式为
C.化合物D和F发生缩聚反应生成P
D.聚合物P属于聚酯类物质
(3)化合物C与过量溶液反应的化学方程式是_______。
(4)在制备聚合物P的过程中还生成了一种分子式为的环状化合物。用键线式表示其结构_______。
(5)写出3种同时满足下列条件的化合物F的同分异构体的结构简式(不考虑立体异构体):_______。
①谱显示只有2种不同化学环境的氢原子
②只含有六元环
③含有结构片段,不含键
(6)以乙烯和丙炔酸为原料,设计如下化合物的合成路线(用流程图表示,无机试剂、有机溶剂任选)_______。
【答案】(1) HOCH2CH2Br
(2)C
(3)+4NaOH+2+2NaBr
(4)
(5) 、、、(任写3种)
(6)
【分析】
A的分子式为C8H10,其不饱和度为4,结合D的结构简式可知A中存在苯环,因此A中取代基不存在不饱和键,D中苯环上取代基位于对位,因此A的结构简式为,被酸性高锰酸钾氧化为,D中含有酯基,结合已知信息反应可知C的结构简式为,B与E在酸性条件下反应生成,该反应为酯化反应,因此E的结构简式为HOCH2CH2Br,D和F发生已知反应得到化合物P中的五元环,则化合物F中应含有碳碳三键,而化合物P是聚合结构,其中的基本单元来自化合物D和化合物F,所以化合物F应为。
【解析】
(1)由上述分析可知,A的结构简式为;化合物E的结构简式为HOCH2CH2Br,故答案为:;HOCH2CH2Br。
(2)A.化合物B的结构简式为,化合物B中苯环的6个碳原子共平面,而苯环只含有两个对位上的羧基,两个羧基的碳原子直接与苯环相连,所以这2个碳原子也应与苯环共平面,化合物B分子中所有碳原子共平面,故A正确;
B.D的结构简式为,由此可知化合物D的分子式为,故B正确;
C.缩聚反应除形成缩聚物外,还有水、醇、氨或氯化氢等低分子副产物产生,化合物D和化合物F的聚合反应不涉及低分子副产物的产生,不属于缩聚反应,故C错误;
D.聚合物P中含有4n个酯基官能团,所以聚合物P属于聚酯类物质,故D正确;
综上所述,说法不正确的是C项,故答案为C。
(3)中酯基能与NaOH溶液发生水解反应、溴原子能与NaOH溶液在加热条件下能发生取代反应,因此反应方程式为+4NaOH+2+2NaBr。
(4)化合物D和化合物F之间发生反应,可以是n个D分子和n个F分子之间聚合形成化合物P,同时也可能发生1个D分子和1个F分子之间的加成反应,对于后者情况,化合物D中的2个-N3官能团与化合物F中的2个碳碳三建分别反应,可以形成环状结构,用键线式表示为,该环状化合物的化学式为,符合题意,故答案为:。
(5)化合物F的分子式为C8H6O4,不饱和度为6,其同分异构体中含有结构片段,不含键,且只有2种不同化学环境的氢原子,说明结构高度对称,推测其含有2个相同结构片段,不饱和度为4,余2个不饱和度,推测含有两个六元环,由此得出符合题意的同分异构体如下:、、、。
(6)由逆向合成法可知,丙炔酸应与通过酯化反应得到目标化合物,而中的羟基又能通过水解得到,乙烯与Br2加成可得,故目标化合物的合成路线为。
7.(2021·浙江1月选考)某课题组合成了一种非天然氨基酸X,合成路线如下(Ph—表示苯基):
已知:R1—CH=CH—R2
R3BrR3MgBr
请回答:
(1)下列说法正确的是______。
A.化合物B的分子结构中含有亚甲基和次甲基
B.1H-NMR谱显示化合物F中有2种不同化学环境的氢原子
C.G→H的反应类型是取代反应
D.化合物X的分子式是C13H15NO2
(2)化合物A的结构简式是______ ;化合物E的结构简式是______。
(3)C→D的化学方程式是______ 。
(4)写出3种同时符合下列条件的化合物H的同分异构体的结构简式(不包括立体异构体)______。
①包含;
②包含 (双键两端的C不再连接H)片段;
③除②中片段外只含有1个-CH2-
(5)以化合物F、溴苯和甲醛为原料,设计下图所示化合物的合成路线(用流程图表示,无机试剂、有机溶剂任选)______。
(也可表示为)
【答案】(1)CD
(2)
(3)+NaOH+NaCl+H2O
(4)、、
(5)
【分析】
A发生取代反应生成B,B发生氧化反应并脱去CO2后生成C,C发生消去反应生成D,D发生第一个已知信息的反应生成E,E再转化为F,F发生取代反应生成G,G发生取代反应生成H,H经过一系列转化最终生成X。据此解答。
【解析】
(1)A.化合物B的结构简式为,因此分子结构中含有亚甲基-CH2-,不含次甲基,A错误;
B.化合物F的结构简式为,分子结构对称,1H-NMR谱显示化合物F中有1种不同化学环境的氢原子,B错误;
C.G→H是G中的-MgBr被-COOCH3取代,反应类型是取代反应,C正确;
D.化合物X的结构简式为,分子式是C13H15NO2,D正确;
答案选CD;
(2)A生成B是A中的羟基被氯原子取代,根据B的结构简式可知化合物A的结构简式是;C发生消去反应生成D,则D的结构简式为。D发生已知信息中的第一个反应生成E,所以化合物E的结构简式是;
(3)C发生消去反应生成D,则C→D的化学方程式是+NaOH+NaCl+H2O;
(4)化合物H的结构简式为,分子式为C13H14O2,符合条件的同分异构体①含有苯基,属于芳香族化合物;②含有,且双键两端的C不再连接H;③分子中除②中片段外中含有1个-CH2-,因此符合条件的同分异构体为、、;
(5)根据已知第二个信息以及F转化为G反应结合逆推法可知以化合物、溴苯和甲醛为原料制备的合成路线为。
8.(2021·山东)一种利胆药物F的合成路线如图:
已知:Ⅰ.+
Ⅱ.
回答下列问题:
(1)A的结构简式为___;符合下列条件的A的同分异构体有___种。
①含有酚羟基 ②不能发生银镜反应 ③含有四种化学环境的氢
(2)检验B中是否含有A的试剂为___;B→C的反应类型为___。
(3)C→D的化学方程式为__;E中含氧官能团共___种。
(4)已知:,综合上述信息,写出由和制备的合成路线___。
【答案】(1) 4
(2)FeCl3溶液 氧化反应
(3)+CH3OH+H2O 3
(4)
【分析】
由信息反应II以及F的结构简式和E的分子式可知E的结构简式为,D发生信息反应I得到E,则D的结构简式为,C与CH3OH发生反应生成D,C相较于D少1个碳原子,说明C→D是酯化反应,因此C的结构简式为,B→C碳链不变,而A→B碳链增长,且增长的碳原子数等于中碳原子数,同时B→C的反应条件为NaClO2、H+,NaClO2具有氧化性,因此B→C为氧化反应,A→B为取代反应,C8H8O3的不饱和度为5,说明苯环上的取代基中含有不饱和键,因此A的结构简式为,B的结构简式为。
【详解】
(1)由上述分析可知,A的结构简式为;A的同分异构体中满足:①含有酚羟基;②不能发生银镜反应,说明结构中不含醛基;③含有四种化学环境的氢,说明具有对称结构,则满足条件的结构有:、、、,共有4种,故答案为:;4。
(2)A中含有酚羟基,B中不含酚羟基,可利用FeCl3溶液检验B中是否含有A,若含有A,则加入FeCl3溶液后溶液呈紫色;由上述分析可知,B→C的反应类型为氧化反应,故答案为:FeCl3溶液;氧化反应。
(3)C→D为与CH3OH在浓硫酸作催化剂并加热条件下发生酯化反应生成,反应化学方程式为+CH3OH+H2O;E的结构简式为,其中的含氧官能团为醚键、酚羟基、酯基,共3种,故答案为:+CH3OH+H2O;3。
(4)由和制备过程需要增长碳链,可利用题干中A→B的反应实现,然后利用信息反应I得到目标产物,目标产物中碳碳双键位于端基碳原子上,因此需要与HBr在40℃下发生加成反应生成,和反应生成,根据信息Ⅰ.+得到
反应生成,因此合成路线为;故答案为:。
9.[2020新课标Ⅰ]有机碱,例如二甲基胺()、苯胺(),吡啶()等,在有机合成中应用很普遍,目前“有机超强碱”的研究越来越受到关注,以下为有机超强碱F的合成路线:
已知如下信息:
①
②
③苯胺与甲基吡啶互为芳香同分异构体
回答下列问题:
(1)A的化学名称为________。
(2)由B生成C的化学方程式为________。
(3)C中所含官能团的名称为________。
(4)由C生成D的反应类型为________。
(5)D的结构简式为________。
(6)E的六元环芳香同分异构体中,能与金属钠反应,且核磁共振氢谱有四组峰,峰面积之比为6∶2∶2∶1的有________种,其中,芳香环上为二取代的结构简式为________。
【答案】(1)三氯乙烯
(2)
(3)碳碳双键、氯原子
(4)取代反应
(5)
(6)6
【解析】
【分析】
由合成路线可知,A为三氯乙烯,其先发生信息①的反应生成B,则B为;B与氢氧化钾的醇溶液共热发生消去反应生成C,则C为;C与过量的二环己基胺发生取代反应生成D;D最后与E发生信息②的反应生成F。
【详解】
(1)由题中信息可知,A的分子式为C2HCl3,其结构简式为ClHC=CCl2,其化学名称为三氯乙烯。
(2) B与氢氧化钾的醇溶液共热发生消去反应生成C(),该反应的化学方程式为+KOH+KCl+H2O。
(3)由C的分子结构可知其所含官能团有碳碳双键和氯原子。
(4) C()与过量的二环己基胺发生生成D,D与E发生信息②的反应生成F,由F的分子结构可知,C的分子中的两个氯原子被二环己基胺基所取代,则由C生成D的反应类型为取代反应。
(5) 由D的分子式及F的结构可知D的结构简式为。
(6) 已知苯胺与甲基吡啶互为芳香同分异构体。E()的六元环芳香同分异构体中,能与金属钠反应,则其分子中也有羟基;核磁共振氢谱有四组峰,峰面积之比为6∶2∶2∶1的有、、、、、,共6种,其中,芳香环上为二取代的结构简式为。
【点睛】
本题的同分异构体的书写是难点,要根据题中“苯胺与甲基吡啶互为芳香同分异构体”才能找齐符合条件的同分异构体。
10.[2020新课标Ⅱ]维生素E是一种人体必需的脂溶性维生素,现已广泛应用于医药、营养品、化妆品等。天然的维生素E由多种生育酚组成,其中α-生育酚(化合物E)含量最高,生理活性也最高。下面是化合物E的一种合成路线,其中部分反应略去。
已知以下信息:
回答下列问题:
(1)A的化学名称为_____________。
(2)B的结构简式为______________。
(3)反应物C含有三个甲基,其结构简式为______________。
(4)反应⑤的反应类型为______________。
(5)反应⑥的化学方程式为______________。
(6)化合物C的同分异构体中能同时满足以下三个条件的有_________个(不考虑立体异构体,填标号)。
(ⅰ)含有两个甲基;(ⅱ)含有酮羰基(但不含C=C=O);(ⅲ)不含有环状结构。
(a)4 (b)6 (c)8 (d)10
其中,含有手性碳(注:连有四个不同的原子或基团的碳)的化合物的结构简式为______________________。
【答案】(1)3-甲基苯酚(或间甲基苯酚)
(2)
(3)
(4)加成反应
(5)
(6)c
【解析】
【分析】
结合“已知信息a”和B的分子式可知B为;结合“已知信息b”和C的分子式可知C为;结合“已知信息c”和D的分子式可知D为,据此解答。
【详解】
(1)A为,化学名称3-甲基苯酚(或间甲基苯酚),故答案为:3-甲基苯酚(或间甲基苯酚);
(2)由分析可知,B的结构简式为,故答案为:;
(3)由分析可知,C的结构简式为,故答案为:;
(4)反应⑤为加成反应,H加在羰基的O上,乙炔基加在羰基的C上,故答案为:加成反应;
(5)反应⑥为中的碳碳三键和H2按1:1加成,反应的化学方程式为:,故答案为:;
(6)C为,有2个不饱和度,含酮羰基但不含环状结构,则分子中含一个碳碳双键,一个酮羰基,外加2个甲基,符合条件的有8种,如下:CH3CH=CHCOCH2CH3、CH3CH=CHCH2COCH3、CH3CH2CH=CHCOCH3、CH2=CHCH(CH3)COCH3、CH2=C(C2H5)COCH3、CH2=C(CH3)COCH2CH3、CH2=C(CH3)CH2COCH3、CH2=CHCOCH(CH3)2,其中,含有手性碳的为CH2=CHCH(CH3)COCH3(),故答案为:c;CH2=CHCH(CH3)COCH3()。
11.[2020新课标Ⅲ]苯基环丁烯酮( PCBO)是一种十分活泼的反应物,可利用它的开环反应合成一系列多官能团化合物。近期我国科学家报道用PCBO与醛或酮发生[4+2]环加成反应,合成了具有生物活性的多官能团化合物(E),部分合成路线如下:
已知如下信息:
回答下列问题:
(1)A的化学名称是___________。
(2)B的结构简式为___________。
(3)由C生成D所用的试别和反应条件为___________;该步反应中,若反应温度过高,C易发生脱羧反应,生成分子式为C8H8O2的副产物,该副产物的结构简式为________。
(4)写出化合物E中含氧官能团的名称__________;E中手性碳(注:连有四个不同的原子或基团的碳)的个数为___________。
(5)M为C的一种同分异构体。已知:1 mol M与饱和碳酸氢钠溶液充分反应能放出2 mol二氧化碳;M与酸性高锰酸钾溶液反应生成对苯二甲酸。M的结构简式为__________。
(6)对于,选用不同的取代基R',在催化剂作用下与PCBO发生的[4+2]反应进行深入研究,R'对产率的影响见下表:
R'
—CH3
—C2H5
—CH2CH2C6H5
产率/%
91
80
63
请找出规律,并解释原因___________。
【答案】(1)2−羟基苯甲醛(水杨醛)
(2)
(3)乙醇、浓硫酸/加热
(4)羟基、酯基 2
(5)
(6)随着R'体积增大,产率降低;原因是R'体积增大,位阻增大
【解析】
【分析】
根据合成路线分析可知,A()与CH3CHO在NaOH的水溶液中发生已知反应生成B,则B的结构简式为,B被KMnO4氧化后再酸化得到C(),C再与CH3CH2OH在浓硫酸加热的条件下发生酯化反应得到D(),D再反应得到E(),据此分析解答问题。
【详解】
(1)A的结构简式为,其名称为2-羟基苯甲醛(或水杨醛),故答案为:2-羟基苯甲醛(或水杨醛);
(2)根据上述分析可知,B的结构简式为,故答案为:;
(3)C与CH3CH2OH在浓硫酸加热的条件下发生酯化反应得到D(),即所用试剂为乙醇、浓硫酸,反应条件为加热;在该步反应中,若反应温度过高,根据副产物的分子式可知,C发生脱羧反应生成,故答案为:乙醇、浓硫酸/加热;;
(4)化合物E的结构简式为,分子中的含氧官能团为羟基和酯基,E中手性碳原子共有位置为的2个手性碳,故答案为:羟基、酯基;2;
(5)M为C的一种同分异构体,1molM与饱和NaHCO3溶液反应能放出2mol二氧化碳,则M中含有两个羧基(—COOH),又M与酸性高锰酸钾溶液溶液反应生成对二苯甲酸,则M分子苯环上只有两个取代基且处于对位,则M的结构简式为,故答案为:;
(6)由表格数据分析可得到规律,随着取代基R′体积的增大,产物的产率降低,出现此规律的原因可能是因为R′体积增大,从而位阻增大,导致产率降低,故答案为:随着R′体积增大,产率降低;原因是R′体积增大,位阻增大。
12.[2020天津卷]天然产物H具有抗肿瘤、镇痉等生物活性,可通过以下路线合成。
已知:(Z=—COOR,—COOH等)
回答下列问题:
(1)A的链状同分异构体可发生银镜反应,写出这些同分异构体所有可能的结构: 。
(2)在核磁共振氢谱中,化合物B有 组吸收峰。
(3)化合物X的结构简式为 。
(4)D→E的反应类型为 。
(5)F的分子式为 ,G所含官能团的名称为 。
(6)化合物H含有手性碳原子的数目为 ,下列物质不能与H发生反应的是_________________(填序号)。
a.CHCl3
b.NaOH溶液
c.酸性KMnO4溶液
d.金属Na
(7)以和为原料,合成,在方框中写出路线流程图(无机试剂和不超过2个碳的有机试剂任选)。
【答案】(1)
(2)4
(3)
(4)加成反应
(5)
羰基,酯基
(6)1
a
(7)
【解析】
【分析】
根据所给信息分析同分异构体结构并写出可能的同分异构体;根据有机物结构分析有机物中H原子的化学环境;根据反应前后有机物结构和分子式推断反应前反应的结构;根据已知条件判断有机反应类型;根据有机物结构判断有机物可能发生的反应;根据题目所给的合成流程和已知条件选择合适的反应路线制备目标物质。
【详解】
(1) A的链状同分异构体可发生银镜反应说明该同分异构体中含有醛基,故可能的结构为、、、;故答案为:、、、。
(2)根据B的结构,有机物B中含有4种不同化学环境的H原子,故在核磁共振氢谱中有4组峰;故答案为:4。
(3)根据有机物C和有机物D的结构,有机物C与有机物X发生酯化反应生成有机物D,则有机物D的结构简式为;故答案为:。
(4) D→E为已知条件的反应,反应类型为加成反应;故答案为:加成反应。
(5)根据F的结构简式,有机物F的分子式为C13H12O3,有机物G中含有的官能团名称是酯基、羰基;故答案为:C13H12O3;酯基、羰基。
(6)根据有机物H的结构,有机物H中含有1个手性碳原子,为左下角与羟基相邻的碳原子;
有机物H中含有羟基,可以与金属Na发生反应;有机物H中含有碳碳双键,可以与酸性高锰酸钾溶液反应;有机物H中含有酯基,可以被NaOH水解;有机物H中不含与CHCl3反应的基团,故不与CHCl3反应,故选择a;故答案为:1;a。
(7)利用和反应制得,可先将环己醇脱水得环己烯,将环己烯()与溴发生加成反应再发生消去反应制得1,3-环己二烯(),将1,3-环己二烯与发生已知条件的反应制得,反应的具体流程为:;故答案为:。
13.[2020年山东新高考]化合物F是合成吲哚-2-酮类药物的一种中间体,其合成路线如下:
知:Ⅰ.
Ⅱ.
Ⅲ.
Ar为芳基;X=Cl,Br;Z或Z′=COR, CONHR,COOR等。
回答下列问题:
(1)实验室制备A的化学方程式为 ,提高A产率的方法是 ;A的某同分异构体只有一种化学环境的碳原子,其结构简式为 。
(2)C→D的反应类型为 ;E中含氧官能团的名称为 。
(3)C的结构简式为 ,F的结构简式为 。
(4)Br2和的反应与Br2和苯酚的反应类似,以和为原料合成,写出能获得更多目标产物的较优合成路线(其它试剂任选)。
【答案】(1)
及时蒸出产物(或增大乙酸或乙醇的用量);
(2)取代反应;羰基、酰胺基
(3)CH3COCH2COOH;
(4)
【解析】
【分析】
根据B的结构和已知条件Ⅰ可知R=H、R’=CH2H5,故A为CH3COOC2H5(乙酸乙酯),有机物B经过碱性条件下水解再酸化形成有机物C(),有机物C与SOCl2作用通过已知条件Ⅱ生成有机物D(),有机物D与邻氯苯胺反应生成有机物E(),有机物E经已知条件Ⅲ发生成环反应生成有机物F(),据此分析。
【详解】
(1)根据分析,有机物A为乙酸乙酯,在实验室中用乙醇和乙酸在浓硫酸的催化下制备,反应方程式为CH3COOH+CH3CH2OHCH3COOC2H5+H2O;该反应为可逆反应,若想提高乙酸乙酯的产率需要及时的将生成物蒸出或增大反应的用量;A的某种同分异构体只有1种化学环境的C原子,说明该同分异构体是一个对称结构,含有两条对称轴,则该有机物的结构为;
(2)根据分析,C→D为和SOCl2的反应,反应类型为取代反应;E的结构为,其结构中含氧官能团为羰基、酰胺基;
(3)根据分析,C的结构简式为CH3COCH2COOH;F的结构简式为;
(4)以苯胺和H5C2OOCCH2COCl为原料制得目标产物,可将苯胺与溴反应生成2,4,6—三溴苯胺,再将2,4,6—三溴苯胺与H5C2OOCCH2COCl反应发生已知条件Ⅱ的取代反应,再发生已知条件Ⅲ的成环反应即可得到目标产物,反应的流程为
14.[2020江苏卷]化合物F是合成某种抗肿瘤药物的重要中间体,其合成路线如下:
(1)A中的含氧官能团名称为硝基、 ▲ 和 ▲ 。
(2)B的结构简式为 ▲ 。
(3)C→D的反应类型为 ▲ 。
(4)C的一种同分异构体同时满足下列条件,写出该同分异构体的结构简式 ▲ 。
①能与FeCl3溶液发生显色反应。
②能发生水解反应,水解产物之一是α−氨基酸,另一产物分子中不同化学环境的氢原子数目比为1∶1且含苯环。
(5)写出以CH3CH2CHO和为原料制备的合成路线流程图(无机试剂和有机溶剂任用,合成路线流程图示例见本题题干)。
【答案】(1)醛基 (酚)羟基
(2)
(3)取代反应
(4)
(5)
【解析】
【分析】
本题从官能团的性质进行分析,利用对比反应前后有机物不同判断反应类型;
【详解】
(1)根据A的结构简式,A中含氧官能团有硝基、酚羟基、醛基;
(2)对比A和C的结构简式,可推出A→B:CH3I中的-CH3取代酚羟基上的H,即B的结构简式为;
(3)对比C和D的结构简式,Br原子取代-CH2OH中的羟基位置,该反应类型为取代反应;
(4)①能与FeCl3溶液发生显色反应,说明含有酚羟基;②能发生水解反应,说明含有酯基或肽键,水解产物之一是α-氨基酸,该有机物中含有“”,另一产物分子中不同化学环境的氢原子数目之比为1:1,且含有苯环,说明是对称结构,综上所述,符合条件的是;
(5)生成,根据E生成F,应是与H2O2发生反应得到,按照D→E,应由CH3CH2CH2Br与反应得到,CH3CH2CHO与H2发生加成反应生成CH3CH2CH2OH,CH3CH2CH2OH在PBr3作用下生成CH3CH2CH2Br,合成路线是CH3CH2CHOCH3CH2CH2OHCH3CH2CH2Br。
【点睛】
有机物的推断和合成中,利用官能团的性质以及反应条件下进行分析和推断,同时应注意利用对比的方法找出断键和生成键的部位,从而确定发生的反应类型。
15.[2020浙江7月选考]某研究小组以邻硝基甲苯为起始原料,按下列路线合成利尿药美托拉宗。
已知:
请回答:
(1)下列说法正确的是________。
A.反应Ⅰ的试剂和条件是和光照 B.化合物C能发生水解反应
C.反应Ⅱ涉及到加成反应、取代反应 D.美托拉宗的分子式是
(2)写出化合物D的结构简式_________。
(3)写出的化学方程式____________。
(4)设计以A和乙烯为原料合成C的路线(用流程图表示,无机试剂任选)__________。
(5)写出化合物A同时符合下列条件的同分异构体的结构简式___________。
谱和谱检测表明:①分子中共有4种氢原子,其中苯环上的有2种;②有碳氧双键,无氮氧键和。
【答案】(1)BC
(2)
(3)
(4)
(5)
【解析】
【分析】
结合邻硝基甲苯、C的结构简式以及B的分子式,可以推测出A的结构简式为、B的结构简式为,被酸性的高锰酸钾溶液氧化为D,D的结构简式为,D分子中含有肽键,一定条件下水解生成E,结合E的分子式可知,E的结构简式为,结合E的结构简式、美托拉宗的结构简式、F的分子式、题给已知可知,F的结构简式为。
【详解】
(1)A.由→,与甲基对位的苯环上的氢原子被氯原子代替,故反应Ⅰ试剂是液氯、FeCl3,其中FeCl3作催化剂,A错误;
B.化合物C中含有肽键,可以发生水解,B正确;
C.结合F的结构简式和CH3CHO、美托拉宗的结构简式以及已知条件,反应Ⅱ涉及到加成反应、取代反应,C正确;
D.美托拉宗的分子式为C16H16ClN3O3S,D错误;
答案选BC。
(2)由分析知化合物D的结构简式为;
(3)由分析可知,B的结构简式为,E的结构简式为,F的结构简式为,B和E发生取代反应生成F,其反应方程式为:+→+H2O;
(4)乙烯与水发生加成反应生成乙醇,乙醇被氧化为乙酸,在一定条件下被还原为,乙酸与发生取代反应生成,流程图为;
(5)分子中有4种氢原子并且苯环上有2种,分子中含有碳氧双键,不含—CHO和氮氧键,故分子中苯环上含有两个取代基,满足条件的它们分别为。
【点睛】
本题考查有机物的推断和合成,涉及官能团的性质、有机物反应类型、同分异构体的书写、合成路线设计等知识,利用已经掌握的知识来考查有机合成与推断、反应条件的选择、物质的结构简式、化学方程式、同分异构体的书写的知识。考查学生对知识的掌握程度、自学能力、接受新知识、新信息的能力;考查了学生应用所学知识进行必要的分析来解决实际问题的能力。难点是设计合成路线图时有关信息隐含在题干中的流程图中,需要学生自行判断和灵活应用。
16.[2019新课标Ⅰ] 化合物G是一种药物合成中间体,其合成路线如下:
回答下列问题:
(1)A中的官能团名称是 。
(2)碳原子上连有4个不同的原子或基团时,该碳称为手性碳。写出B的结构简式,用星号(*)标出B中的手性碳 。
(3)写出具有六元环结构、并能发生银镜反应的B的同分异构体的结构简式 。(不考虑立体异构,只需写出3个)
(4)反应④所需的试剂和条件是 。
(5)⑤的反应类型是 。
(6)写出F到G的反应方程式 。
(7)设计由甲苯和乙酰乙酸乙酯(CH3COCH2COOC2H5)制备的合成路线 (无机试剂任选)。
【答案】(1)羟基
(2)
(3)
(4)C2H5OH/浓H2SO4、加热
(5)取代反应
(6)
(7)
【解析】
【分析】有机物A被高锰酸钾溶液氧化,使羟基转化为羰基,B与甲醛发生加成反应生成C,C中的羟基被酸性高锰酸钾溶液氧化为羧基,则D的结构简式为。D与乙醇发生酯化反应生成E,E中与酯基相连的碳原子上的氢原子被正丙基取代生成F,则F的结构简式为,F首先发生水解反应,然后酸化得到G,据此解答。
【详解】(1)根据A的结构简式可知A中的官能团名称是羟基。
(2)碳原子上连有4个不同的原子或基团时,该碳称为手性碳,则根据B的结构简式可知B中的手性碳原子可表示为。
(3)具有六元环结构、并能发生银镜反应的B的同分异构体的结构简式中含有醛基,则可能的结构为。
(4)反应④是酯化反应,所需的试剂和条件是乙醇/浓硫酸、加热。
(5)根据以上分析可知⑤的反应类型是取代反应。
(6)F到G的反应分两步完成,方程式依次为:、
。
(7)由甲苯和乙酰乙酸乙酯(CH3COCH2COOC2H5)制备,可以先由甲苯合成,再根据题中反应⑤的信息由乙酰乙酸乙酯合成,最后根据题中反应⑥的信息由合成产品。具体的合成路线图为: ,
。
【点睛】本题考查有机物的推断和合成,涉及官能团的性质、有机物反应类型、同分异构体的书写、合成路线设计等知识,利用已经掌握的知识来考查有机合成与推断、反应条件的选择、物质的结构简式、化学方程式、同分异构体的书写的知识。考查学生对知识的掌握程度、自学能力、接受新知识、新信息的能力;考查了学生应用所学知识进行必要的分析来解决实际问题的能力。有机物的结构、性质、转化、反应类型的判断、化学方程式和同分异构体结构简式的书写及物质转化流程图的书写是有机化学学习中经常碰到的问题,掌握常见的有机代表物的性质、各类官能团的性质、化学反应类型、物质反应的物质的量关系与各类官能团的数目关系,充分利用题目提供的信息进行分析、判断是解答的关键。难点是设计合成路线图时有关信息隐含在题干中的流程图中,需要学生自行判断和灵活应用。
17.[2019新课标Ⅱ] 环氧树脂因其具有良好的机械性能、绝缘性能以及与各种材料的粘结性能,已广泛应用于涂料和胶黏剂等领域。下面是制备一种新型环氧树脂G的合成路线:
已知以下信息:
回答下列问题:
(1)A是一种烯烃,化学名称为__________,C中官能团的名称为__________、__________。
(2)由B生成C的反应类型为__________。
(3)由C生成D的反应方程式为__________。
(4)E的结构简式为__________。
(5)E的二氯代物有多种同分异构体,请写出其中能同时满足以下条件的芳香化合物的结构简式__________、__________。
①能发生银镜反应;②核磁共振氢谱有三组峰,且峰面积比为3∶2∶1。
(6)假设化合物D、F和NaOH恰好完全反应生成1 mol单一聚合度的G,若生成的NaCl和H2O的总质量为765 g,则G的n值理论上应等于__________。
【答案】(1)丙烯 氯原子、羟基
(2)加成反应
(3)
(或)
(4)
(5)
(6)8
【解析】
【分析】根据D的分子结构可知A为链状结构,故A为CH3CH=CH2;A和Cl2在光照条件下发生取代反应生成B为CH2=CHCH2Cl,B和HOCl发生加成反应生成C为 ,C在碱性条件下脱去HCl生成D;由F结构可知苯酚和E发生信息①的反应生成F,则E为;D和F聚合生成G,据此分析解答。
【详解】(1)根据以上分析,A为CH3CH=CH2,化学名称为丙烯;C为,所含官能团的名称为氯原子、羟基,故答案为:丙烯;氯原子、羟基;
(2)B和HOCl发生加成反应生成C,故答案为:加成反应;
(3)C在碱性条件下脱去HCl生成D,化学方程式为:,故答案为:;
(4)E的结构简式为。
(5)E的二氯代物有多种同分异构体,同时满足以下条件的芳香化合物:①能发生银镜反应,说明含有醛基;②核磁共振氢谱有三组峰,且峰面积比为3∶2∶1,说明分子中有3种类型的氢原子,且个数比为3:2:1。则符合条件的有机物的结构简式为;
(6)根据信息②和③,每消耗1molD,反应生成1molNaCl和H2O,若生成的NaCl和H2O的总质量为765g,生成NaCl和H2O的总物质的量为=10mol,由G的结构可知,要生成1 mol单一聚合度的G,需要(n+2)molD,则(n+2)=10,解得n=8,即G的n值理论上应等于8,故答案为:8。
18.[2019新课标Ⅲ]氧化白藜芦醇W具有抗病毒等作用。下面是利用Heck反应合成W的一种方法:
回答下列问题:
(1)A的化学名称为___________。
(2)中的官能团名称是___________。
(3)反应③的类型为___________,W的分子式为___________。
(4)不同条件对反应④产率的影响见下表:
实验
碱
溶剂
催化剂
产率/%
1
KOH
DMF
Pd(OAc)2
22.3
2
K2CO3
DMF
Pd(OAc)2
10.5
3
Et3N
DMF
Pd(OAc)2
12.4
4
六氢吡啶
DMF
Pd(OAc)2
31.2
5
六氢吡啶
DMA
Pd(OAc)2
38.6
6
六氢吡啶
NMP
Pd(OAc)2
24.5
上述实验探究了________和________对反应产率的影响。此外,还可以进一步探究________等对反应产率的影响。
(5)X为D的同分异构体,写出满足如下条件的X的结构简式________________。
①含有苯环;②有三种不同化学环境的氢,个数比为6∶2∶1;③1 mol的X与足量金属Na反应可生成2 g H2。
(6)利用Heck反应,由苯和溴乙烷为原料制备,写出合成路线________________。(无机试剂任选)
【答案】(1)间苯二酚(1,3-苯二酚)
(2)羧基、碳碳双键
(3)取代反应 C14H12O4
(4)不同碱 不同溶剂 不同催化剂(或温度等)
(5)
(6)
【解析】
【分析】首先看到合成路线:由A物质经反应①在酚羟基的邻位上了一个碘原子,发生了取代反应生成了B物质,B物质与丙烯酸在催化剂的作用下生成了C物质,那C物质就是将丙烯酸中的羧基去掉取代了碘原子的位置;由D反应生成E就是把HI中的H连在了O上,发生的是取代反应;最后Heck反应生成W物质。
【详解】(1)A物质所含官能团是两个酚羟基,且苯环上有两个是间位的取代基,那物质的命名就是间苯二酚或1,3-苯二酚;
(2)物质中含有的官能团是碳碳双键和羧基
(3)D物质到E物质没有双键的消失,且在O原子处增加了氢原子,没有双键参与反应所以属于取代反应,W物质中可以轻松数出共有14个C原子,4个氧原子,氢原子的个数可以通过不饱和度来推断出,14个碳的烷应该有30个氢,现在该分子有9个不饱和度,其中一个苯环4个,一个双键1个,一个不饱和度少2个氢,所以30-9×2=12,因此有12个氢原子,即分子式为C14H12O4。
(4)可以从表格中寻找溶剂一样的实验、碱一样的实验发现得出:实验1,2,3探究了不同碱对反应的影响;实验4,5,6探究了不同溶剂对反应的影响,最后只剩下不同催化剂对实验的影响。
(5)D的分子式为:C8H9O2I,要求含苯环,那支链最多含两个C,且1molX与足量Na反应可生成2g氢气,那就证明有两个酚羟基或醇羟基,又有三种不同环境的氢6:2:1,那一定是有两个甲基和两个酚羟基,因为醇羟基没有6个相同环境的氢,则符合条件的有机物结构简式为。
(6)由题意中的Heck反应可知需要一个反应物中含双建,一个反应物中含I;从苯出发可以经过溴乙烷和溴化铁的反应制得乙苯,乙苯在乙基上通过烷烃的取代反应引入氯原子,卤代烃在氢氧化钠醇溶液中发生消去反应产生双键,得到苯乙烯;可以仿照反应①通过相同条件在苯环上引入一个碘原子,因此合成路线图为。
【点睛】最后一个写合成路线,要必须从已有的物质出发,不得自己添加反应所需有机物,仿照题中出现的反应,将合成路线分为两部分,一次合成,遇到不会的合成,首先要在题意和已知中寻找。清楚想要有碳碳双键出现应该利用卤代烃的消去反应。
19.[2019天津] 我国化学家首次实现了膦催化的环加成反应,并依据该反应,发展了一条合成中草药活性成分茅苍术醇的有效路线。
已知环加成反应:
(、可以是或)
回答下列问题:
(1)茅苍术醇的分子式为____________,所含官能团名称为____________,分子中手性碳原子(连有四个不同的原子或原子团)的数目为____________。
(2)化合物B的核磁共振氢谱中有______个吸收峰;其满足以下条件的同分异构体(不考虑手性异构)数目为______。
①分子中含有碳碳三键和乙酯基
②分子中有连续四个碳原子在一条直线上
写出其中碳碳三键和乙酯基直接相连的同分异构体的结构简式____________。
(3)的反应类型为____________。
(4)的化学方程式为__________________,除外该反应另一产物的系统命名为____________。
(5)下列试剂分别与和反应,可生成相同环状产物的是______(填序号)。
a. b. c.溶液
(6)参考以上合成路线及条件,选择两种链状不饱和酯,通过两步反应合成化合物,在方框中写出路线流程图(其他试剂任选)。
【答案】(1) 碳碳双键、羟基 3
(2)2 5 和
(3)加成反应或还原反应
(4)
2-甲基-2-丙醇或2-甲基丙-2-醇
(5)b
(6)
(写成等合理催化剂亦可)
【解析】
【分析】由有机物的转化关系可知,与CH3C≡CCOOC(CH3)3发生题给信息反应生成,与氢气在催化剂作用下发生加成反应生成,与甲醇在浓硫酸作用下,共热发生酯基交换反应生成,一定条件下脱去羰基氧生成,与氢气在催化剂作用下发生加成反应生成,一定条件下反应生成茅苍术醇。
【详解】(1)茅苍术醇的结构简式为,分子式为C15H26O,所含官能团为碳碳双键、羟基,含有3个连有4个不同原子或原子团的手性碳原子;
(2)化合物B的结构简式为CH3C≡CCOOC(CH3)3,分子中含有两类氢原子,核磁共振氢谱有2个吸收峰;由分子中含有碳碳叁键和—COOCH2CH3,且分子中连续四个碳原子在一条直线上,则符合条件的B的同分异构体有、CH3CH2CH2C≡CCOOCH2CH3、CH3CH2C≡C—CH2COOCH2CH3、CH3—C≡C—CH2CH2COOCH2CH3和等5种结构,碳碳叁键和—COOCH2CH3直接相连的为、CH3CH2CH2C≡CCOOCH2CH3;
(3)C→D的反应为与氢气在催化剂作用下发生加成反应(或还原反应)生成,故答案为:加成反应(或还原反应);
(4)与甲醇与浓硫酸共热发生酯基交换反应生成,反应的化学方程式为,HOC(CH3)3的系统命名法的名称为2—甲基—2—丙醇;
(5)和均可与溴化氢反应生成,故答案为:b;
(6)由题给信息可知,CH3C≡CCOOCH2CH3与CH2=COOCH2CH3反应生成,与氢气发生加成反应生成,故答案为:。
【点睛】本题考查有机物推断与合成,对比物质的结构明确发生的反应,侧重对有机化学基础知识和逻辑思维能力考查,有利于培养自学能力和知识的迁移能力,需要熟练掌握官能团的结构、性质及相互转化。
20.[2019江苏] 化合物F是合成一种天然茋类化合物的重要中间体,其合成路线如下:
(1)A中含氧官能团的名称为________和________。
(2)A→B的反应类型为________。
(3)C→D的反应中有副产物X(分子式为C12H15O6Br)生成,写出X的结构简式:________。
(4)C的一种同分异构体同时满足下列条件,写出该同分异构体的结构简式:________。
①能与FeCl3溶液发生显色反应;
②碱性水解后酸化,含苯环的产物分子中不同化学环境的氢原子数目比为1∶1。
(5)已知:(R表示烃基,R'和R"表示烃基或氢),写出以和CH3CH2CH2OH为原料制备的合成路线流程图(无机试剂和有机溶剂任用,合成路线流程图示例见本题题干)。________________________
【答案】(1)(酚)羟基 羧基 (2)取代反应
(3) (4)
(5)
【解析】
【分析】有机物A和SOCl2在加热条件下发生取代反应生成B,B和甲醇发生取代反应生成C,C和CH3OCH2Cl在三乙胺存在条件下发生取代反应生成D,D和CH3I在K2CO3条件下发生取代反应生成E,E在LiAlH4条件下发生还原反应生成F,据此解答。
【详解】(1)由A的结构简式可知,A中含氧官能团为-OH和-COOH,名称为(酚)羟基、羧基;
(2)根据以上分析可知,A→B的反应中-COOH中的羟基被氯原子取代,反应类型为取代反应;
(3)观察对比C、D的结构可知,C→D的反应中酚羟基上的氢原子被-CH2OCH3取代生成D,根据副产物X的分子式C12H15O6Br,C→D的反应生成的副产物为C中两个酚羟基都发生了取代反应,可知X的结构简式为;
(4)C为,C的同分异构体满足以下条件:①能与FeCl3溶液发生显色反应,说明含有酚羟基;②碱性水解后酸化,含苯环的产物分子中不同化学环境的氢原子数目比为1:1,说明含苯环的产物分子中有两种类型的氢原子且数目相等,应为间苯三酚,则该同分异构体为酚酯,结构简式为;
(5)根据逆合成法,若要制备,根据题给已知可先制备和CH3CH2CHO。结合所给原料,1-丙醇催化氧化生成CH3CH2CHO,参考题中E→F的反应条件, 在LiAlH4条件下发生还原反应生成,和HCl发生取代反应生成,在Mg、无水乙醚条件下发生已知中的反应生成,和CH3CH2CHO在一定条件下反应生成,所以合成路线设计为:
CH3CH2CH2OHCH3CH2CHO,,。
【点睛】本题以化合物F的合成路线为载体,考查官能团的识别、反应类型的判断、副产物结构简式的推导、限定条件同分异构体的书写、有机合成路线的设计。难点是有机合成路线的设计,有机合成路线的设计,先对比原料和产物的结构,采用“切割化学键”的分析方法,分析官能团发生了什么改变,碳干骨架发生了什么变化,再根据有机物的之间的相互转化和题给信息进行设计。
21.[2019北京] 抗癌药托瑞米芬的前体K的合成路线如下。
已知:
ⅰ.
ⅱ.有机物结构可用键线式表示,如(CH3)2NCH2CH3的键线式为
(1)有机物A能与Na2CO3溶液反应产生CO2,其钠盐可用于食品防腐。有机物B能与Na2CO3溶液反应,但不产生CO2;B加氢可得环己醇。A和B反应生成C的化学方程式是___________,反应类型是___________________________。
(2)D中含有的官能团:__________________。
(3)E的结构简式为__________________。
(4)F是一种天然香料,经碱性水解、酸化,得G和J。J经还原可转化为G。J的结构简式为__________________。
(5)M是J的同分异构体,符合下列条件的M的结构简式是__________________。
①包含2个六元环
②M可水解,与NaOH溶液共热时,1 mol M最多消耗2 mol NaOH
(6)推测E和G反应得到K的过程中,反应物LiAlH4和H2O的作用是__________________。
(7)由K合成托瑞米芬的过程:
托瑞米芬具有反式结构,其结构简式是__________________。
【答案】(1)
取代反应(或酯化反应)
(2)羟基、羰基
(3)
(4)
(5)
(6)还原(加成)
(7)
【解析】
【分析】
有机物A能与碳酸钠溶液反应产生CO2,其钠盐可用于食品防腐,A为苯甲酸;有机物B能与碳酸钠反应,但不产生CO2,且B加氢得环己醇,则B为苯酚;苯甲酸和苯酚在浓硫酸、H3BO3,加热条件下发生取代反应生成C为;C发生信息中的反应生成D为;D发生信息中的反应生成E为;F经碱性水解,酸化得G和J,J经还原可转化为G,则G和J具有相同的碳原子数和碳骨架,则G为;J为;由G和J的结构可推知F为C6H5-CH=CH-COOCH2CH=CH-C6H5,E和G先在LiAlH4作用下还原,再水解最后得到K,据此解答。
【详解】(1)根据以上分析,A为苯甲酸,B为苯酚,苯甲酸和苯酚在浓硫酸、H3BO3,加热条件下发生取代反应生成C为,化学方程式为,
故答案为:取代反应;;
(2)D为,D中含有的官能团为羰基、羟基;
(3)D发生信息中的反应生成E,其结构简式为;
(4)F经碱性水解,酸化得G和J,J经还原可转化为G,则G和J具有相同的碳原子数和碳骨架,则G为;J为;
(5)J为,分子式为C9H8O2,不饱和度为6,其同分异构体符合条件的M,①包含两个六元环,则除苯环外还有一个六元环,②M可水解,与氢氧化钠溶液共热时,1molM最多消耗2molNaOH,说明含有酚酯的结构,则M的结构简式为;
(6)由合成路线可知,E和G先在LiAlH4作用下还原,再水解最后得到K;
(7)由合成路线可知,托瑞米芬分子中含有碳碳双键,两个苯环在双键两侧为反式结构,则其结构简式为:。
22.[2019浙江4月选考] 某研究小组拟合成除草剂苯达松和染料中间体X。
已知信息:①+RCOOR′
②RCH2COOR′+R′′COOR′′′
(1)下列说法正确的是________。
A.化合物B到C的转变涉及到取代反应
B.化合物C具有两性
C.试剂D可以是甲醇
D.苯达松的分子式是C10H10N2O3S
(2)化合物F的结构简式是________。
(3)写出E+G→H的化学方程式________。
(4)写出C6H13NO2同时符合下列条件的同分异构体的结构简式________。
①分子中有一个六元环,且成环原子中最多含2个非碳原子;
②1H−NMR谱和IR谱检测表明分子中有4种化学环境不同的氢原子。有N-O键,没有过氧键(-O-O-)。
(5)设计以CH3CH2OH和原料制备X()的合成路线(无机试剂任选,合成中须用到上述①②两条已知信息,用流程图表示)________。
【答案】(1)BC (2)(CH3)2CHNH2
(3)+(CH3)2CHNHSO2Cl+HCl
(4)
(5)CH3CH2OHCH3COOHCH3COOCH2CH3
CH3COCH2COOCH2CH3
【解析】
【分析】以A和F为原料制备苯达松,观察苯达松结构简式,易知A中有苯环,便可推出A为,根据A到B的反应条件(HNO3和H2SO4)可知该反应为硝化反应,继续观察苯达松可知其苯环上为邻位二取代侧链,因而B为,继续观察苯达松侧链有羰基和亚氨基,说明B到C的两步反应为甲基被氧化为羧基和硝基被还原为氨基,C为,根据反应条件易知C和D反应为酯化反应,然后结合E的分子式可推出D是甲醇,E为,最后结合苯达松右侧碳链部分和F的分子式可知氨基接在碳链中的2号碳上,F为,从而G为。
【详解】(1)A、B到C的两步反应分别是甲基的氧化反应和硝基的还原反应,不涉及取代反应,A项错误;
B、C为邻氨基苯甲酸,其官能团为氨基和羧基,氨基具有碱性,羧基具有酸性,因而C有两性,B项正确;
C、C和D发生酯化反应生成E,结合C和E的分子式,易推出D为甲醇,C项正确;
D、苯达松的分子式是C10H12N2O3S,D项错误。
故答案选BC。
(2)结合苯达松右侧杂环上的碳链可知,氨基接在碳链中2号碳的位置,F的结构简式为(CH3)2CHNH2。
(3)G的氯原子和E氨基上的氢原子偶联脱去HCl生成H,因而化学方程式为+(CH3)2CHNHSO2Cl+HCl。
(4)根据分子式C6H13NO2算出不饱和度为1,结合信息,说明存在一个六元环,无不饱和键(注意无硝基)。结合环内最多含有两个非碳原子,先分析六元环:①六元环全为碳原子;②六元环中含有一个O;③六元环中含有一个N;④六元环中含有一个N和一个O;若六元环中含有2个O,这样不存在N-O键,不符合条件。同时核磁共振氢谱显示有4中氢原子,该分子具有相当的对称性,可推知环上最少两种氢,侧链两种氢,这种分配比较合理。最后注意有N-O键,无O-O键。那么基于上述四种情况分析可得出4种同分异构体,结构简式分别为、 、 和 。
(5)基于逆合成分析法,观察信息①,X可从肽键分拆得和CH3COCH2COOR,那么关键在于合成CH3COCH2COOR,结合信息②可知利用乙酸某酯CH3COOR做原料合成制得。另一个原料是乙醇,其合成乙酸某酯,先将乙醇氧化为乙酸,然后乙酸与乙醇反应,可得乙酸乙酯。以上分析便可将整个合成路线设计为:CH3CH2OHCH3COOHCH3COOCH2CH3 CH3COCH2COOCH2CH3 。
专题19 有机化学基础(选修)——【全国通用】2020-2022三年高考化学真题分类汇编(原卷版+解析版): 这是一份专题19 有机化学基础(选修)——【全国通用】2020-2022三年高考化学真题分类汇编(原卷版+解析版),文件包含专题19有机化学基础选修全国通用2020-2022三年高考化学真题分类汇编解析版docx、专题19有机化学基础选修全国通用2020-2022三年高考化学真题分类汇编原卷版docx等2份试卷配套教学资源,其中试卷共121页, 欢迎下载使用。
【三年高考真题】最新三年化学高考真题分项汇编——专题19《有机化学基础(选修)》( 2023新高考地区专用): 这是一份【三年高考真题】最新三年化学高考真题分项汇编——专题19《有机化学基础(选修)》( 2023新高考地区专用),文件包含专题19有机化学基础选修三年2020-2022高考真题化学分项汇编新高考专用解析版docx、专题19有机化学基础选修三年2020-2022高考真题化学分项汇编新高考专用原卷版docx等2份试卷配套教学资源,其中试卷共86页, 欢迎下载使用。
三年高考(2019-2021)化学试题分项汇编专题19有机化学基础(选修)含答案: 这是一份三年高考(2019-2021)化学试题分项汇编专题19有机化学基础(选修)含答案,文件包含三年高考2019-2021化学试题分项汇编专题19有机化学基础选修含答案doc、三年高考2019-2021化学试题分项汇编专题19有机化学基础选修学生版doc等2份试卷配套教学资源,其中试卷共101页, 欢迎下载使用。

