中考数学复习专题讲座十一 动点型问题(一)
展开中考数学复习专题讲座十一 动点型问题(一)
(双动点问题、考点四:因动点产生的最值问题)
一、中考专题诠释
所谓“动点型问题”是指题设图形中存在一个或多个动点,它们在线段、射线或弧线上运动的一类开放性题目.解决这类问题的关键是动中求静,灵活运用有关数学知识解决问题.
“动点型问题” 题型繁多、题意创新,考察学生的分析问题、解决问题的能力,内容包括空间观念、应用意识、推理能力等,是近几年中考题的热点和难点。
二、解题策略和解法精讲
解决动点问题的关键是“动中求静”.
从变换的角度和运动变化来研究三角形、四边形、函数图像等图形,通过“对称、动点的运动”等研究手段和方法,来探索与发现图形性质及图形变化,在解题过程中渗透空间观念和合情推理。在动点的运动过程中观察图形的变化情况,理解图形在不同位置的情况,做好计算推理的过程。在变化中找到不变的性质是解决数学“动点”探究题的基本思路,这也是动态几何数学问题中最核心的数学本质。
三、中考考点精讲
考点三:双动点问题
动态问题是近几年来中考数学的热点题型.这类试题信息量大,其中以灵活多变而著称的双动点问题更成为中考试题的热点中的热点,双动点问题对同学们获取信息和处理信息的能力要求更高高;解题时需要用运动和变化的眼光去观察和研究问题,挖掘运动、变化的全过程,并特别关注运动与变化中的不变量、不变关系或特殊关系,动中取静,静中求动.
(一)以双动点为载体,探求函数图象问题
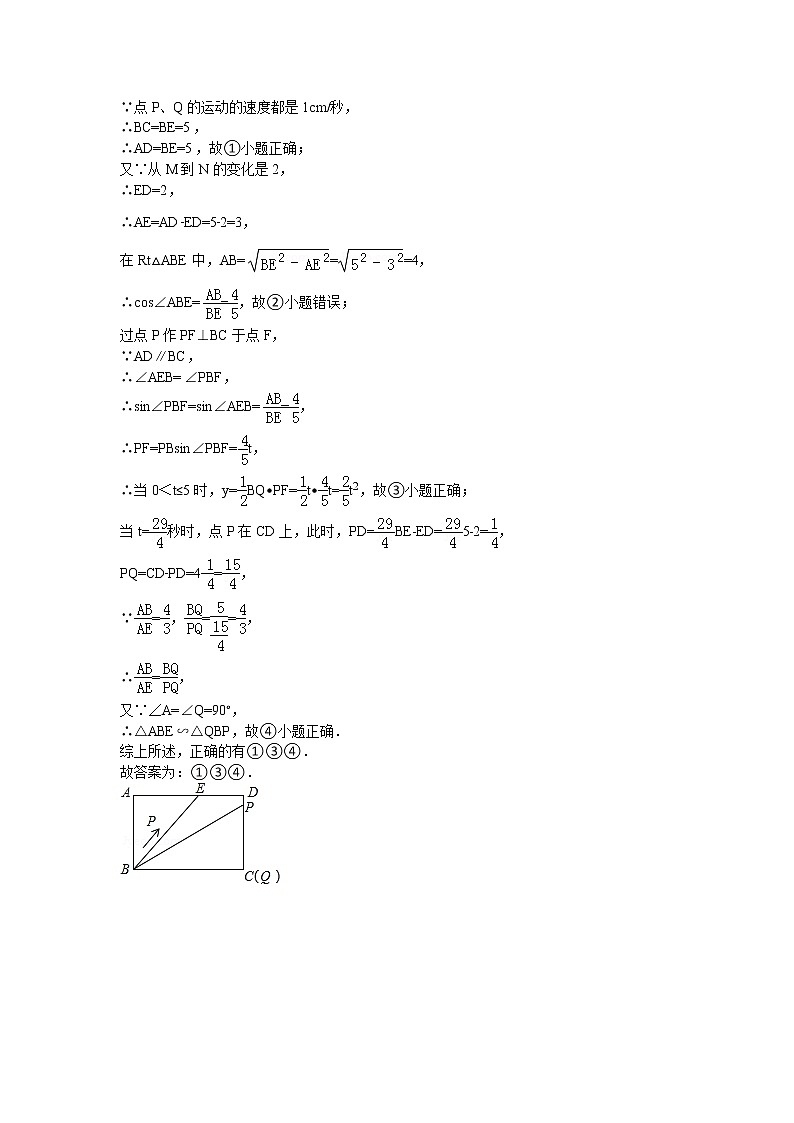
例1 (荆门)如图(1)所示,E为矩形ABCD的边AD上一点,动点P、Q同时从点B出发,点P沿折线BE﹣ED﹣DC运动到点C时停止,点Q沿BC运动到点C时停止,它们运动的速度都是1cm/秒.设P、Q同发t秒时,△BPQ的面积为ycm2.已知y与t的函数关系图象如图(2)(曲线OM为抛物线的一部分),则下列结论:①AD=BE=5;②cos∠ABE=;③当0<t≤5时,y=t2;④当t=秒时,△ABE∽△QBP;其中正确的结论是 (填序号).
思路分析: 根据图(2)可以判断三角形的面积变化分为三段,可以判断出当点P到达点E时点Q到达点C,从而得到BC、BE的长度,再根据M、N是从5秒到7秒,可得ED的长度,然后表示出AE的长度,根据勾股定理求出AB的长度,然后针对各小题分析解答即可.
解:根据图(2)可得,当点P到达点E时点Q到达点C,
∵点P、Q的运动的速度都是1cm/秒,
∴BC=BE=5,
∴AD=BE=5,故①小题正确;
又∵从M到N的变化是2,
∴ED=2,
∴AE=AD﹣ED=5﹣2=3,
在Rt△ABE中,AB===4,
∴cos∠ABE==,故②小题错误;
过点P作PF⊥BC于点F,
∵AD∥BC,
∴∠AEB=∠PBF,
∴sin∠PBF=sin∠AEB==,
∴PF=PBsin∠PBF=t,
∴当0<t≤5时,y=BQ•PF=t•t=t2,故③小题正确;
当t=秒时,点P在CD上,此时,PD=﹣BE﹣ED=﹣5﹣2=,
PQ=CD﹣PD=4﹣=,
∵=,==,
∴=,
又∵∠A=∠Q=90°,
∴△ABE∽△QBP,故④小题正确.
综上所述,正确的有①③④.
故答案为:①③④.
点评: 本题考查了动点问题的函数图象,根据图(2)判断出点P到达点E时点Q到达点C是解题的关键,也是本题的突破口.
(二)以双动点为载体,探求结论开放性问题
例2 (广元)如图,在矩形ABCD中,AO=3,tan∠ACB=.以O为坐标原点,OC为x轴,OA为y轴建立平面直角坐标系,设D、E分别是线段AC、OC上的动点,它们同时出发,点D以每秒3个单位的速度从点A向点C运动,点E以每秒1个单位的速度从点C向点O运动.设运动时间为t(秒)
(1)求直线AC的解析式;
(2)用含t的代数式表示点D的坐标;
(3)在t为何值时,△ODE为直角三角形?
(4)在什么条件下,以Rt△ODE的三个顶点能确定一条对称轴平行于y轴的抛物线?并请选择一种情况,求出所确定的抛物线的解析式.
思路分析: (1)在Rt△AOC中,已知AO的长以及∠ACB的正弦值,能求出OC的长,即可确定点C的坐标,利用待定系数法能求出直线AC的解析式.
(2)过D作AO、OC的垂线,通过构建相似三角形来求出点D的坐标.
(3)用t表示出OD、DE、OE的长,若△ODE为直角三角形,那么三边符合勾股定理,据此列方程求出对应的t的值.
(4)根据(3)的结论能得到t的值,△ODE中,当OD⊥x轴或DE垂直x轴时,都不能确定“一条对称轴平行于y轴的抛物线”,余下的情况都是符合要求的,首先得D、E的坐标,再利用待定系数法求出抛物线的解析式.
解:(1)根据题意,得CO=AB=BC•tan∠ACB=4,则A(0,3)、B(4,3)、C(4,0);
设直线AC的解析式为:y=kx+3,代入C点坐标,得:
4k+3=0,k=﹣
∴直线AC:y=﹣x+3.
(2)分别作DF⊥AO,DH⊥CO,垂足分别为F、H,则有△ADF∽△DCH∽△ACO
∴AD:DC:AC=AF:DH:AO=FD:HC:OC,
而AD=3t(其中0≤t≤),OC=AB=4,AC=5,
∴FD=AD=,AF=AD=,DH=3﹣,HC=4﹣,
∴D(,3﹣).
(3)CE=t,E(4﹣t,0),OE=OC﹣CE=4﹣t,HE=|CH﹣CE|=|(4﹣)﹣t|=|4﹣|
则OD2=DH2+OH2=(3﹣)2+()2=9t2﹣t+9,
DE2=DH2+HE2=(3﹣)2+(4﹣)2=t2﹣38t+25,
当△ODE为Rt△时,有OD2+DE2=OE2,或OD2+OE2=DE2,或DE2+OE2=OD2,
则(9t2﹣t+9)+(t2﹣38t+25)=(4﹣t)2 ①,
或(9t2﹣t+9)+(4﹣t)2=t2﹣38t+25 ②,
或(t2﹣38t+25)+(4﹣t)2=9t2﹣t+9 ③,
上述三个方程在0≤t≤内的所有实数解为:
t1=,t2=1,t3=0,t4=.
(4)当DO⊥OE,及DE⊥OE时,即t3=0和t4=时,以Rt△ODE的三个顶点不能确定对称轴平行于y轴的抛物线,其它两种情况都可以各确定一条对称轴平行于y轴的抛物线.
当t2=1时,D(,),E(3,0),因为抛物线过O(0,0),
所以设所求抛物线为y=ax2+bx,将点D、E坐标代入,求得 a=﹣,b=,
∴所求抛物线为:y=﹣x2+x
(当t1=时,所求抛物线为y=﹣x2+x).
点评: 本题主要考查了二次函数的应用、相似三角形的性质、勾股定理等重要知识;后面两问的难度较大,注意分类进行讨论.
(三)以双动点为载体,探求存在性问题
例3 (沈阳)已知,如图,在平面直角坐标系中,点A坐标为(﹣2,0),点B坐标为(0,2),点E为线段AB上的动点(点E不与点A,B重合),以E为顶点作∠OET=45°,射线ET交线段0B于点F,C为y轴正半轴上一点,且OC=AB,抛物线y=﹣x2+mx+n的图象经过A,C两点.
(1)求此抛物线的函数表达式;
(2)求证:∠BEF=∠AOE;
(3)当△EOF为等腰三角形时,求此时点E的坐标;
(4)在(3)的条件下,当直线EF交x轴于点D,P为(1)中抛物线上一动点,直线PE交x轴于点G,在直线EF上方的抛物线上是否存在一点P,使得△EPF的面积是△EDG面积的(2+1)倍?若存在,请直接写出点P的坐标;若不存在,请说明理由.
思路分析: (1)首先求出点C的坐标,然后利用待定系数法求出抛物线的解析式;
(2)利用三角形外角性质,易证∠BEF=∠AOE;
(3)当△EOF为等腰三角形时,有三种情况,需要分类讨论,注意不要漏解;
(4)本问关键是利用已知条件求得点P的纵坐标,要点是将△EPF与△EDG的面积之比转化为线段之比.如图④所示,首先证明点E为DF的中点,然后作x轴的平行线FN,则△EDG≌△EFN,从而将△EPF与△EDG的面积之比转化为PE:NE;过点P作x轴垂线,可依次求出线段PT、PM的长度,从而求得点P的纵坐标;最后解一元二次方程,确定点P的坐标.
解:(1)如图①,∵A(﹣2,0)B(0,2)
∴OA=OB=2,
∴AB2=OA2+OB2=22+22=8
∴AB=2,
∵OC=AB
∴OC=2,即C(0,2)
又∵抛物线y=﹣x2+mx+n的图象经过A、C两点
则可得,
解得.
∴抛物线的表达式为y=﹣x2﹣x+2.
(2)∵OA=OB,∠AOB=90°,∴∠BAO=∠ABO=45°
又∵∠BEO=∠BAO+∠AOE=45°+∠AOE,
∠BEO=∠OEF+∠BEF=45°+∠BEF,
∴∠BEF=∠AOE.
(3)当△EOF为等腰三角形时,分三种情况讨论
①当OE=OF时,∠OFE=∠OEF=45°
在△EOF中,∠EOF=180°﹣∠OEF﹣∠OFE=180°﹣45°﹣45°=90°
又∵∠AOB=90°
则此时点E于点A重合,不符合题意,此种情况不成立.
②如图2,当FE=FO时,
∠EOF=∠OEF=45°
在△EOF中,
∠EFO=180°﹣∠OEF﹣∠EOF=180°﹣45°﹣45°=90°
∴∠AOF+∠EFO=90°+90°=180°
∴EF∥AO,
∴∠BEF=∠BAO=45°
又∵由(2)可知,∠ABO=45°
∴∠BEF=∠ABO,
∴BF=EF,
EF=BF=OB=×2=1
∴E(﹣1,1)
③如图③,当EO=EF时,过点E作EH⊥y轴于点H
在△AOE和△BEF中,
∠EAO=∠FBE,EO=EF,∠AOE=∠BEF
∴△AOE≌△BEF,
∴BE=AO=2
∵EH⊥OB,
∴∠EHB=90°,
∴∠AOB=∠EHB
∴EH∥AO,
∴∠BEH=∠BAO=45°
在Rt△BEH中,∵∠BEH=∠ABO=45°
∴EH=BH=BEcos45°=2×=
∴OH=OB﹣BH=2﹣∴E(﹣,2﹣)
综上所述,当△EOF为等腰三角形时,所求E点坐标为E(﹣1,1)或E(﹣,2﹣).
(4)假设存在这样的点P.
当直线EF与x轴有交点时,由(3)知,此时E(﹣,2﹣).
如图④所示,过点E作EH⊥y轴于点H,则OH=FH=2﹣.
由OE=EF,易知点E为Rt△DOF斜边上的中点,即DE=EF,
过点F作FN∥x轴,交PG于点N.
易证△EDG≌△EFN,因此S△EFN=S△EDG,
依题意,可得
S△EPF=(2+1)S△EDG=(2+1)S△EFN,
∴PE:NE=2+1.
过点P作PM⊥x轴于点M,分别交FN、EH于点S、T,则ST=TM=2﹣.
∵FN∥EH,
∴PT:ST=PE:NE=2+1,
∴PT=(2+1)•ST=(2+1)(2﹣)=3﹣2;
∴PM=PT+TM=2,即点P的纵坐标为2,
∴﹣x2﹣x+2=2,
解得x1=0,x2=﹣1,
∴P点坐标为(0,2)或(﹣1,2).
综上所述,在直线EF上方的抛物线上存在点P,使得△EPF的面积是△EDG面积的(2+1)倍;
点P的坐标为(0,2)或(﹣1,2).
点评: 本题综合考查了二次函数的图象与性质、待定系数法、等腰三角形、直角三角形、全等三角形与相似三角形的性质等重要的知识点,难度较大.第(2)问注意分类讨论思想的应用,注意不要漏解;第(3)问中,将三角形面积之比转化为线段之比,这是解题的重要技巧,这是本题的难点.
(四)以双动点为载体,探求函数最值问题
例4 (张家界)如图,抛物线y=﹣x2+x+2与x轴交于C、A两点,与y轴交于点B,OB=2.点O关于直线AB的对称点为D,E为线段AB的中点.
(1)分别求出点A、点B的坐标;
(2)求直线AB的解析式;
(3)若反比例函数y=的图象过点D,求k值;
(4)两动点P、Q同时从点A出发,分别沿AB、AO方向向B、O移动,点P每秒移动1个单位,点Q每秒移动个单位,设△POQ的面积为S,移动时间为t,问:S是否存在最大值?若存在,求出这个最大值,并求出此时的t值;若不存在,请说明理由.
思路分析: (1)抛物线的解析式中,令x=0,能确定抛物线与y轴的交点坐标(即B点坐标);令y=0,能确定抛物线与x轴的交点坐标(即A、C的坐标).
(2)由(1)的结果,利用待定系数法可求出直线AB的解析式.
(3)欲求出反比例函数的解析式,需要先得到D点的坐标.已知A、B的坐标,易判断出△OAB是含特殊角的直角三角形,结合O、D关于直线AB对称,可得出OD的长,结合∠DOA的读数,即可得到D点的坐标,由此得解.
(4)首先用t列出AQ、AP的表达式,进而可得到P到x轴的距离,以OQ为底、P到x轴的距离为高,可得到关于S、t的函数关系式,根据函数的性质即可得到S的最大值及此时t的值.
解:(1)令y=0,即﹣x2+x+2=0;
解得 x1=﹣,x2=2.
∴C(﹣,0)、A(2,0).
令x=0,即y=2,
∴B(0,2).
综上,A(2,0)、B(0,2).
(2)令AB方程为y=k1x+2因为点A(2,0)在直线上,
∴0=k1•2+2
∴k1=﹣
∴直线AB的解析式为y=﹣x+2.
(3)由A(2,0)、B(0,2)得:OA=2,OB=2,AB=4,∠BAO=30°,∠DOA=60°;
∵D与O点关于AB对称,∠DOA=60°,
∴OD=OA=2
∴D点的横坐标为,纵坐标为3,即D(,3).
因为y=过点D,
∴3=,
∴k=3.
(4)∵AP=t,AQ=t,P到x轴的距离:AP•sin30°=t,OQ=OA﹣AQ=2﹣t;
∴S△OPQ=•(2﹣t)•t=﹣(t﹣2)2+;
依题意有,
解得0<t≤4.
∴当t=2时,S有最大值为.
点评: 该题考查的知识点有:函数解析式的确定、二次函数的性质、图形面积的解法等,在解答动点函数问题时,一定要注意未知数的取值范围.
考点四:因动点产生的最值问题
因动点产生的最值问题与一般最值问题一样,一般都归于两类基本模型:
1.归于函数模型即利用一次函数的增减性和二次函数的对称性及增减性确定某范围内函数的最大或最小值
2.归于几何模型这类模型又分为两种情况:
(1)归于“两点之间的连线中线段最短”。凡属于求“变动的两线段之和的最小值”时大都应用这一模型。
(2)归于“三角形两边之差小于第三边”凡属于求“变动的两线段之差的最大值”时大都应用这一模型。
例5 (南宁)已知点A(3,4),点B为直线x=﹣1上的动点,设B(﹣1,y).
(1)如图1,若点C(x,0)且﹣1<x<3,BC⊥AC,求y与x之间的函数关系式;
(2)在(1)的条件下,y是否有最大值?若有,请求出最大值;若没有,请说明理由;
(3)如图2,当点B的坐标为(﹣1,1)时,在x轴上另取两点E,F,且EF=1.线段EF在x轴上平移,线段EF平移至何处时,四边形ABEF的周长最小?求出此时点E的坐标.
思路分析: (1)过点A作AE⊥x轴于点E,先证明△BCD≌△CAE,再根据相似三角形对应边成比例即可求出y与x之间的函数关系式;
(2)先运用配方法将y=﹣x2+x+写成顶点式,再根据自变量x的取值范围即可求解;
(3)欲使四边形ABEF的周长最小,由于线段AB与EF是定长,所以只需BE+AF最小.为此,先确定点E、F的位置:过点A作x轴的平行线,并且在这条平行线上截取线段AA′,使AA′=1,作点B关于x轴的对称点B′,连接A′B′,交x轴于点E,在x轴上截取线段EF=1,则点E、F的位置确定.再根据待定系数法求出直线A′B′的解析式,然后令y=0,即可求出点E的横坐标,进而得出点E的坐标.
解:(1)如图1,过点A作AE⊥x轴于点E.
在△BCD与△CAE中,
∵∠BCD=∠CAE=90°﹣∠ACE,∠BDC=∠CEA=90°,
∴△BCD∽△CAE,
∴BD:CE=CD:AE,
∵A(3,4),B(﹣1,y),C(x,0)且﹣1<x<3,
∴y:(3﹣x)=(x+1):4,
∴y=﹣x2+x+(﹣1<x<3);
(2)y有最大值.理由如下:
∵y=﹣x2+x+=﹣(x2﹣2x)+=﹣(x﹣1)2+1,
又∵﹣1<x<3,
∴当x=1时,y有最大值1;
(3)如图2,过点A作x轴的平行线,并且在这条平行线上截取线段AA′,使AA′=1,作点B关于x轴的对称点B′,连接A′B′,交x轴于点E,在x轴上截取线段EF=1,则此时四边形ABEF的周长最小.
∵A(3,4),∴A′(2,4),
∵B(﹣1,1),∴B′(﹣1,﹣1).
设直线A′B′的解析式为y=kx+b,
则,
解得.
∴直线A′B′的解析式为y=x+,
当y=0时,x+=0,解得x=﹣.
故线段EF平移至如图2所示位置时,四边形ABEF的周长最小,此时点E的坐标为(﹣,0).
点评: 本题考查了相似三角形的性质与判定,待定系数法求一次函数的解析式,轴对称﹣最短路线问题,综合性较强,有一定难度.(1)中通过作辅助线证明△BCD∽△CAE是解题的关键,(3)中根据“两点之间,线段最短”确定点E、F的位置是关键,也是难点.
四、中考真题演练
一、选择题
1.(济南)如图,∠MON=90°,矩形ABCD的顶点A、B分别在边OM,ON上,当B在边ON上运动时,A随之在边OM上运动,矩形ABCD的形状保持不变,其中AB=2,BC=1,运动过程中,点D到点O的最大距离为( )
A. +1 B. C. D.
二、解答题
2.(徐州)如图1,A、B、C、D为矩形的四个顶点,AD=4cm,AB=dcm.动点E、F分别从点D、B出发,点E以1cm/s的速度沿边DA向点A移动,点F以1cm/s的速度沿边BC向点C移动,点F移动到点C时,两点同时停止移动.以EF为边作正方形EFGH,点F出发xs时,正方形EFGH的面积为ycm2.已知y与x的函数图象是抛物线的一部分,如图2所示.请根据图中信息,解答下列问题:
(1)自变量x的取值范围是 ;
(2)d= ,m= ,n= ;
(3)F出发多少秒时,正方形EFGH的面积为16cm2?
3.(湛江)如图,在平面直角坐标系中,直角三角形AOB的顶点A、B分别落在坐标轴上.O为原点,点A的坐标为(6,0),点B的坐标为(0,8).动点M从点O出发.沿OA向终点A以每秒1个单位的速度运动,同时动点N从点A出发,沿AB向终点B以每秒个单位的速度运动.当一个动点到达终点时,另一个动点也随之停止运动,设动点M、N运动的时间为t秒(t>0).
(1)当t=3秒时.直接写出点N的坐标,并求出经过O、A、N三点的抛物线的解析式;
(2)在此运动的过程中,△MNA的面积是否存在最大值?若存在,请求出最大值;若不存在,请说明理由;
(3)当t为何值时,△MNA是一个等腰三角形?
4.(日照)如图,矩形ABCD的两边长AB=18cm,AD=4cm,点P、Q分别从A、B同时出发,P在边AB上沿AB方向以每秒2cm的速度匀速运动,Q在边BC上沿BC方向以每秒1cm的速度匀速运动.设运动时间为x秒,△PBQ的面积为y(cm2).
(1)求y关于x的函数关系式,并写出x的取值范围;
(2)求△PBQ的面积的最大值.
5.(襄阳)如图,在矩形OABC中,AO=10,AB=8,沿直线CD折叠矩形OABC的一边BC,使点B落在OA边上的点E处.分别以OC,OA所在的直线为x轴,y轴建立平面直角坐标系,抛物线y=ax2+bx+c经过O,D,C三点.
(1)求AD的长及抛物线的解析式;
(2)一动点P从点E出发,沿EC以每秒2个单位长的速度向点C运动,同时动点Q从点C出发,沿CO以每秒1个单位长的速度向点O运动,当点P运动到点C时,两点同时停止运动.设运动时间为t秒,当t为何值时,以P、Q、C为顶点的三角形与△ADE相似?
(3)点N在抛物线对称轴上,点M在抛物线上,是否存在这样的点M与点N,使以M,N,C,E为顶点的四边形是平行四边形?若存在,请直接写出点M与点N的坐标(不写求解过程);若不存在,请说明理由.
6.(遵义)如图,△ABC是边长为6的等边三角形,P是AC边上一动点,由A向C运动(与A、C不重合),Q是CB延长线上一点,与点P同时以相同的速度由B向CB延长线方向运动(Q不与B重合),过P作PE⊥AB于E,连接PQ交AB于D.
(1)当∠BQD=30°时,求AP的长;
(2)当运动过程中线段ED的长是否发生变化?如果不变,求出线段ED的长;如果变化请说明理由.
7.(河南)如图,在平面直角坐标系中,直线y=x+1与抛物线y=ax2+bx﹣3交于A、B两点,点A在x轴上,点B的纵坐标为3.点P是直线AB下方的抛物线上一动点(不与A、B点重合),过点P作x轴的垂线交直线AB于点C,作PD⊥AB于点D.
(1)求a、b及sin∠ACP的值;
(2)设点P的横坐标为m.
①用含有m的代数式表示线段PD的长,并求出线段PD长的最大值;
②连接PB,线段PC把△PDB分成两个三角形,是否存在适合的m的值,直接写出m的值,使这两个三角形的面积之比为9:10?若存在,直接写出m的值;若不存在,说明理由.
8.(孝感)如图,抛物线y=ax2+bx+c(a,b,c是常数,a≠0)与x轴交于A,B两点,与y轴交于点C,三个交点的坐标分别为A(﹣1,0),B(3,0),C(0,3).
(1)求抛物线的解析式及顶点D的坐标;
(2)若P为线段BD上的一个动点,过点P作PM⊥x轴于点M,求四边形PMAC面积的最大值和此时P点的坐标;
(3)若P为抛物线在第一象限上的一个动点,过点P作PQ∥AC交x轴于点Q.当点P的坐标为 时,四边形PQAC是平行四边形;当点P的坐标为 时,四边形PQAC是等腰梯形(直接写出结果,不写求解过程).
9.(攀枝花)如图,在平面直角坐标系xOy中,四边形ABCD是菱形,顶点A、C、D均在坐标轴上,且AB=5,sinB=.
(1)求过A、C、D三点的抛物线的解析式;
(2)记直线AB的解析式为y1=mx+n,(1)中抛物线的解析式为y2=ax2+bx+c,求当y1<y2时,自变量x的取值范围;
(3)设直线AB与(1)中抛物线的另一个交点为E,P点为抛物线上A、E两点之间的一个动点,当P点在何处时,△PAE的面积最大?并求出面积的最大值.
10.(凉山州)如图,在平面直角坐标系中,直线y=x+4与x轴、y轴分别交于A、B两点,抛物线y=﹣x2+bx+c经过A、B两点,并与x轴交于另一点C(点C点A的右侧),点P是抛物线上一动点.
(1)求抛物线的解析式及点C的坐标;
(2)若点P在第二象限内,过点P作PD⊥轴于D,交AB于点E.当点P运动到什么位置时,线段PE最长?此时PE等于多少?
(3)如果平行于x轴的动直线l与抛物线交于点Q,与直线AB交于点N,点M为OA的中点,那么是否存在这样的直线l,使得△MON是等腰三角形?若存在,请求出点Q的坐标;若不存在,请说明理由.
11.(阜新)在平面直角坐标系中,二次函数y=ax2+bx+2的图象与x轴交于A(﹣3,0),B(1,0)两点,与y轴交于点C.
(1)求这个二次函数的关系解析式;
(2)点P是直线AC上方的抛物线上一动点,是否存在点P,使△ACP的面积最大?若存在,求出点P的坐标;若不存在,说明理由;
考生注意:下面的(3)、(4)、(5)题为三选一的选做题,即只能选做其中一个题目,多答时只按作答的首题评分,切记啊!
(3)在平面直角坐标系中,是否存在点Q,使△BCQ是以BC为腰的等腰直角三角形?若存在,直接写出点Q的坐标;若不存在,说明理由;
(4)点Q是直线AC上方的抛物线上一动点,过点Q作QE垂直于x轴,垂足为E.是否存在点Q,使以点B、Q、E为顶点的三角形与△AOC相似?若存在,直接写出点Q的坐标;若不存在,说明理由;
(5)点M为抛物线上一动点,在x轴上是否存在点Q,使以A、C、M、Q为顶点的四边形是平行四边形?若存在,直接写出点Q的坐标;若不存在,说明理由.
12.(恩施州)如图,已知抛物线y=﹣x2+bx+c与一直线相交于A(﹣1,0),C(2,3)两点,与y轴交于点N.其顶点为D.
(1)抛物线及直线AC的函数关系式;
(2)设点M(3,m),求使MN+MD的值最小时m的值;
(3)若抛物线的对称轴与直线AC相交于点B,E为直线AC上的任意一点,过点E作EF∥BD交抛物线于点F,以B,D,E,F为顶点的四边形能否为平行四边形?若能,求点E的坐标;若不能,请说明理由;
(4)若P是抛物线上位于直线AC上方的一个动点,求△APC的面积的最大值.
专题十二 动点型问题(二)参考答案
(双动点问题、考点四:因动点产生的最值问题)
四、中考真题演练
一、选择题
1.A
解:如图,取AB的中点E,连接OE、DE、OD,
∵OD≤OE+DE,
∴当O、D、E三点共线时,点D到点O的距离最大,
此时,∵AB=2,BC=1,
∴OE=AE=AB=1,
DE===,
∴OD的最大值为:+1.
故选A.
二、解答题
2.解:(1)∵BC=AD=4,4÷1=4,
∴0≤x≤4;
故答案为:0≤x≤4;
(2)根据题意,当点E、F分别运动到AD、BC的中点时,
EF=AB最小,所以正方形EFGH的面积最小,
此时,d2=9,m=4÷2=2,
所以,d=3,
根据勾股定理,n=BD2=AD2+AB2=42+32=25,
故答案为:3,2,25;
(3)如图,过点E作EI⊥BC垂足为点I.则四边形DEIC为矩形,
∴EI=DC=3,CI=DE=x,
∵BF=x,
∴IF=4﹣2x,
在Rt△EFI中,EF2=EI2+IF2=32+(4﹣2x)2,
∵y是以EF为边长的正方形EFGH的面积,
∴y=32+(4﹣2x)2,
当y=16时,32+(4﹣2x)2=16,
整理得,4x2﹣16x+9=0,
解得,x1=,x2=,
∵点F的速度是1cm/s,
∴F出发或秒时,正方形EFGH的面积为16cm2.
3.解:(1)由题意,A(6,0)、B(0,8),则OA=6,OB=8,AB=10;
当t=3时,AN=t=5=AB,即N是线段AB的中点;
∴N(3,4).
设抛物线的解析式为:y=ax(x﹣6),则:
4=3a(3﹣6),a=﹣;
∴抛物线的解析式:y=﹣x(x﹣6)=﹣x2+x.
(2)过点N作NC⊥OA于C;
由题意,AN=t,AM=OA﹣OM=6﹣t,NC=NA•sin∠BAO=t•=t;
则:S△MNA=AM•NC=×(6﹣t)×t=﹣(t﹣3)2+6.
∴△MNA的面积有最大值,且最大值为6.
(3)Rt△NCA中,AN=t,NC=AN•sin∠BAO=t,AC=AN•cos∠BAO=t;
∴OC=OA﹣AC=6﹣t,∴N(6﹣t,t).
∴NM==;
又:AM=6﹣t,AN=t(0<t<6);
①当MN=AN时,=t,即:t2﹣8t+12=0,t1=2,t2=6(舍去);
②当MN=MA时,=6﹣t,即:t2﹣12t=0,t1=0(舍去),t2=;
③当AM=AN时,6﹣t=t,即t=;
综上,当t的值取 2或或 时,△MAN是等腰三角形.
4.解:(1)∵S△PBQ=PB•BQ,PB=AB﹣AP=18﹣2x,BQ=x,
∴y=(18﹣2x)x,
即y=﹣x2+9x(0<x≤4);
(2)由(1)知:y=﹣x2+9x,
∴y=﹣(x﹣)2+,
∵当0<x≤时,y随x的增大而增大,
而0<x≤4,
∴当x=4时,y最大值=20,
即△PBQ的最大面积是20cm2.
5.解:(1)∵四边形ABCO为矩形,
∴∠OAB=∠AOC=∠B=90°,AB=CO=8,AO=BC=10.
由题意,△BDC≌△EDC.
∴∠B=∠DEC=90°,EC=BC=10,ED=BD.
由勾股定理易得EO=6.
∴AE=10﹣6=4,
设AD=x,则BD=ED=8﹣x,由勾股定理,得x2+42=(8﹣x)2,
解得,x=3,∴AD=3.
∵抛物线y=ax2+bx+c过点D(3,10),C(8,0),
∴,
解得
∴抛物线的解析式为:y=﹣x2+x.
(2)∵∠DEA+∠OEC=90°,∠OCE+∠OEC=90°,
∴∠DEA=∠OCE,
由(1)可得AD=3,AE=4,DE=5.
而CQ=t,EP=2t,∴PC=10﹣2t.
当∠PQC=∠DAE=90°,△ADE∽△QPC,
∴=,即=,
解得t=.
当∠QPC=∠DAE=90°,△ADE∽△PQC,
∴=,即=,
解得t=.
∴当t=或时,以P、Q、C为顶点的三角形与△ADE相似.
(3)假设存在符合条件的M、N点,分两种情况讨论:
①EC为平行四边形的对角线,由于抛物线的对称轴经过EC中点,若四边形MENC是平行四边形,那么M点必为抛物线顶点;
则:M(4,);而平行四边形的对角线互相平分,那么线段MN必被EC中点(4,3)平分,则N(4,﹣);
②EC为平行四边形的边,则ECMN,设N(4,m),则M(4﹣8,m+6)或M(4+8,m﹣6);
将M(﹣4,m+6)代入抛物线的解析式中,得:m=﹣38,此时 N(4,﹣38)、M(﹣4,﹣32);
将M(12,m﹣6)代入抛物线的解析式中,得:m=﹣26,此时 N(4,﹣26)、M(12,﹣32);
综上,存在符合条件的M、N点,且它们的坐标为:
①M1(﹣4,﹣32),N1(4,﹣38)
②M2(12,﹣32),N2(4,﹣26)
③M3(4,),N3(4,﹣).
6.解:(1)∵△ABC是边长为6的等边三角形,
∴∠ACB=60°,
∵∠BQD=30°,
∴∠QPC=90°,
设AP=x,则PC=6﹣x,QB=x,
∴QC=QB+BC=6+x,
∵在Rt△QCP中,∠BQD=30°,
∴PC=QC,即6﹣x=(6+x),解得x=2;
(2)当点P、Q运动时,线段DE的长度不会改变.理由如下:
作QF⊥AB,交直线AB的延长线于点F,连接QE,PF,
又∵PE⊥AB于E,
∴∠DFQ=∠AEP=90°,
∵点P、Q做匀速运动且速度相同,
∴AP=BQ,
∵△ABC是等边三角形,
∴∠A=∠ABC=∠FBQ=60°,
∴在△APE和△BQF中,
∵∠A=∠FBQ=∠AEP=∠BFQ=90°,
∴∠APE=∠BQF,
∴
∴△APE≌△BQF,
∴AE=BF,PE=QF且PE∥QF,
∴四边形PEQF是平行四边形,
∴DE=EF,
∵EB+AE=BE+BF=AB,
∴DE=AB,
又∵等边△ABC的边长为6,
∴DE=3,
∴当点P、Q运动时,线段DE的长度不会改变.
7.解:(1)由x+1=0,得x=﹣2,∴A(﹣2,0).
由x+1=3,得x=4,∴B(4,3).
∵y=ax2+bx﹣3经过A、B两点,
∴
∴a=,b=﹣
设直线AB与y轴交于点E,则E(0,1).
∵PC∥y轴,
∴∠ACP=∠AEO.
∴sin∠ACP=sin∠AEO===.
(2)①由(1)知,抛物线的新解析式为y=x2﹣x﹣3.则点P(m,m2﹣m﹣3).
已知直线AB:y=x+1,则点C(m,m+1).
∴PC=m+1﹣(m2﹣m﹣3)=﹣m2+m+4=﹣(m﹣1)2+
Rt△PCD中,PD=PC•sin∠ACP=[﹣(m﹣1)2+]•=﹣(m﹣1)2+
∴PD长的最大值为:.
②如图,分别过点D、B作DF⊥PC,BG⊥PC,垂足分别为F、G.
在Rt△PDF中,DF=PD=﹣(m2﹣2m﹣8).
又∵BG=4﹣m,
∴===.
当==时,解得m=;
当==时,解得m=.
8.解:(1)∵抛物线y=ax2+bx+c过点C(0,3)
∴当x=0时,c=3.
又∵抛物线y=ax2+bx+c过点A(﹣1,0),B(3,0)
∴,解得
∴抛物线的解析式为:y=﹣x2+2x+3
又∵y=﹣x2+2x+3,y=﹣(x﹣1)2+4
∴顶点D的坐标是(1,4).
(2)设直线BD的解析式为y=kx+n(k≠0)
∵直线y=kx+n过点B(3,0),D(1,4)
∴,解得
∴直线BD的解析式:y=﹣2x+6
∵P点在线段BD上,因此,设点P坐标为(m,﹣2m+6)
又∵PM⊥x轴于点M,∴PM=﹣2m+6,OM=m
又∵A(﹣1,0),C(3,0)∴OA=1,OC=3
设四边形PMAC面积为S,则
S=OA•OC+(PM+OC)•OM=×(﹣2m+6+3)•m
=﹣m2+m+=﹣(m﹣)2+
∵13
∴当m=时,四边形PMAC面积的最大值为
此时,P点坐标是(,).
(3)答案:(2,3);(,).
******注:以下给出解题简要过程,原题并无此要求******
①四边形PQAC是平行四边形,如右图①所示.
过点P作PE⊥x轴于点E,易证△AOC≌△QEP,∴yP=PE=CO=3.
又CP∥x轴,则点C(0,3)与点P关于对称轴x=1对称,∴xP=2.
∴P(2,3).
②四边形PQAC是等腰梯形,如右图②所示.
设P(m,n),P点在抛物线上,则有n=﹣m2+2m+3.
过P点作PE⊥x轴于点E,则PE=n.
在Rt△OAC中,OA=1,OC=3,∴AC=,tan∠CAO=3,cos∠CAO=;
∵PQ∥CA,∴tan∠PQE==tan∠CAO=3,
∴QE=n,PQ==n.
过点Q作QM∥PC,交AC于点M,则四边形PCMQ为平行四边形,△QAM为等腰三角形.再过点Q作QN⊥AC于点N.
则有:CM=PQ=n,AN=AM=(AC﹣CM)=(1﹣n),
AQ==5(1﹣n).
又AQ=AO+OQ=1+(m﹣n),
∴5(1﹣n)=1+(m﹣n),化简得:n=3﹣m;
又P点在抛物线上,有n=﹣m2+2m+3,
∴﹣m2+2m+3=3﹣m,化简得:m2﹣m=0,解得m1=0(舍去),m2=
∴m=,n=3﹣m=,
∴P(,).
9.解:(1)∵四边形ABCD是菱形,
∴AB=AD=CD=BC=5,sinB=sinD=;
Rt△OCD中,OC=CD•sinD=4,OD=3;
OA=AD﹣OD=2,即:
A(﹣2,0)、B(﹣5,4)、C(0,4)、D(3,0);
设抛物线的解析式为:y=a(x+2)(x﹣3),得:
2×(﹣3)a=4,a=﹣;
∴抛物线:y=﹣x2+x+4.
(2)由A(﹣2,0)、B(﹣5,4)得直线AB:y1=﹣x﹣;
由(1)得:y2=﹣x2+x+4,则:
,
解得:,;
由图可知:当y1<y2时,﹣2<x<5.
(3)∵S△APE=AE•h,
∴当P到直线AB的距离最远时,S△ABC最大;
若设直线L∥AB,则直线L与抛物线有且只有一个交点时,该交点为点P;
设直线L:y=﹣x+b,当直线L与抛物线有且只有一个交点时,
﹣x+b=﹣x2+x+4,且△=0;
求得:b=,即直线L:y=﹣x+;
可得点P(,).
由(2)得:E(5,﹣),则直线PE:y=﹣x+9;
则点F(,0),AF=OA+OF=;
∴△PAE的最大值:S△PAE=S△PAF+S△AEF=××(+)=.
综上所述,当P(,)时,△PAE的面积最大,为.
10.解:(1)∵直线y=x+4与x轴、y轴分别交于A、B两点,∴A(﹣4,0),B(0,4)
抛物线y=﹣x2+bx+c经过A、B两点,可得
,解得,
∴抛物线解析式为y=﹣x2﹣3x+4.
令y=0,得﹣x2﹣3x+4=0,
解得x1=﹣4,x2=1,∴C(1,0).
(2)如答图1所示,设D(t,0).
∵OA=OB,∴∠BAO=45°,
∴E(t,t),P(t,﹣t2﹣3t+4).
PE=yP﹣yE=﹣t2﹣3t+4﹣t=﹣t2﹣4t=﹣(t+2)2+4,
∴当t=﹣2时,线段PE的长度有最大值4,此时P(﹣2,6).
(3)存在.
如答图2所示,过N点作NH⊥x轴于点H.
设OH=m(m>0),∵OA=OB,∴∠BAO=45°,
∴NH=AH=4﹣m,∴yQ=4﹣m.
又M为OA中点,∴MH=2﹣m.
△MON为等腰三角形:
①若MN=ON,则H为底边OM的中点,
∴m=1,∴yQ=4﹣m=3.
由﹣xQ2﹣3xQ+4=3,解得xQ=,
∴点Q坐标为(,3)或(,3);
②若MN=OM=2,则在Rt△MNH中,
根据勾股定理得:MN2=NH2+MH2,即22=(4﹣m)2+(2﹣m)2,
化简得m2﹣6m+8=0,解得:m1=2,m2=4(不合题意,舍去)
∴yQ=2,由﹣xQ2﹣3xQ+4=2,解得xQ=,
∴点Q坐标为(,2)或(,2);
③若ON=OM=2,则在Rt△NOH中,
根据勾股定理得:ON2=NH2+OH2,即22=(4﹣m)2+m2,
化简得m2﹣4m+6=0,∵△=﹣8<0,
∴此时不存在这样的直线l,使得△MON为等腰三角形.
综上所述,存在这样的直线l,使得△MON为等腰三角形.
所求Q点的坐标为(,3)或(,3)或(,2)或(,2).
11.解:(1)由抛物线y=ax2+bx+2过点A(﹣3,0),B(1,0),则
解这个方程组,得a=﹣,b=﹣.
∴二次函数的关系解析式为y=﹣x2﹣x+2.
(2)设点P坐标为(m,n),则n=﹣m2﹣m+2.
连接PO,作PM⊥x轴于M,PN⊥y轴于N.
PM=﹣m2﹣m+2,PN=﹣m,AO=3.
当x=0时,y=﹣×0﹣×0+2=2,所以OC=2
S△PAC=S△PAO+S△PCO﹣S△ACO=AO•PM+CO•PN﹣AO•CO
=×3•(﹣m2﹣m+2)+×2•(﹣m)﹣×3×2
=﹣m2﹣3m
∵a=﹣1<0
∴函数S△PAC=﹣m2﹣3m有最大值
当m=﹣=﹣时,S△PAC有最大值.
此时n=﹣m2﹣m+2=﹣﹣+2=
∴存在点P(﹣,),使△PAC的面积最大.
(3)如图(3)所示,以BC为边在两侧作正方形BCQ1Q2、正方形BCQ4Q3,则点Q1,Q2,Q3,Q4为符合题意要求的点.
过Q1点作Q1D⊥y轴于点D,易证△Q1CD≌△CBO,
∴Q1D=OC=2,CD=OB=1,∴OD=OC+CD=3,∴Q1(2,3);
同理求得Q2(3,1),Q3(﹣1,﹣1),Q4(﹣2,1).
∴存在点Q,使△BCQ是以BC为腰的等腰直角三角形.Q点坐标为:Q1(2,3),Q2(3,1),Q3(﹣1,﹣1),Q4(﹣2,1).
(4)如图(4)所示,设E(n,0),则BE=1﹣n,QE=﹣n2﹣n+2.
假设以点B、Q、E为顶点的三角形与△AOC相似,则有两种情况:
①若△AOC∽△BEQ,则有:,
即,化简得:n2+n﹣2=0,
解得n1=﹣2,n2=1(与B重合,舍去),∴n=﹣2,QE=﹣n2﹣n+2=2.
∴Q(﹣2,2);
②若△AOC∽△BQE,则有:,
即,化简得:4n2﹣n﹣3=0,
解得n1=﹣,n2=1(与B重合,舍去),∴n=﹣,QE=﹣n2﹣n+2=.
∴Q(﹣,).
综上所述,存在点Q,使以点B、Q、E为顶点的三角形与△AOC相似.
Q点坐标为(﹣2,2)或(﹣,).
(5)假设存在点Q,使以A、C、M、Q为顶点的四边形是平行四边形.
①若CM平行于x轴,如图(5)a所示,有符合要求的两个点Q1,Q2,此时Q1A=Q2A=CM.
∵CM∥x轴,∴点M、点C(0,2)关于对称轴x=﹣1对称,
∴M(﹣2,2),∴CM=2.
由Q1A=Q2A=CM=2,得到Q1(﹣5,0),Q2(﹣1,0);
②若CM不平行于x轴,如图(5)b所示.过点M作MG⊥x轴于G,
易证△MGQ≌△COA,得QG=OA=3,MG=OC=2,即yM=﹣2.
设M(x,﹣2),则有﹣x2﹣x+2=﹣2,解得x=﹣1±.
又QG=3,∴xQ=xG+3=2±,
∴Q3(2+,0),Q4(2﹣,0).
综上所述,存在点Q,使以A、C、M、Q为顶点的四边形是平行四边形.Q点坐标为:Q1(﹣5,0),Q2(﹣1,0),Q3(2+,0),Q4(2﹣,0).
注:解答中给出(3)(4)(5)问解题过程,只是为了同学们易于理解,原题并未要求.
12.解:(1)由抛物线y=﹣x2+bx+c过点A(﹣1,0)及C(2,3)得,
,
解得,
故抛物线为y=﹣x2+2x+3
又设直线为y=kx+n过点A(﹣1,0)及C(2,3)得
,
解得
故直线AC为y=x+1;
(2)作N点关于直线x=3的对称点N′,则N′(6,3),由(1)得D(1,4),
故直线DN′的函数关系式为y=﹣x+,
当M(3,m)在直线DN′上时,MN+MD的值最小,
则m=﹣×=;
(3)由(1)、(2)得D(1,4),B(1,2)
∵点E在直线AC上,
设E(x,x+1),
①当点E在线段AC上时,点F在点E上方,
则F(x,x+3),
∵F在抛物线上,
∴x+3=﹣x2+2x+3,
解得,x=0或x=1(舍去)
∴E(0,1);
②当点E在线段AC(或CA)延长线上时,点F在点E下方,
则F(x,x﹣1)
由F在抛物线上
∴x﹣1=﹣x2+2x+3
解得x=或x=
∴E(,)或(,)
综上,满足条件的点E为E(0,1)、(,)或(,);
(4)方法一:过点P作PQ⊥x轴交AC于点Q;过点C作CG⊥x轴于点G,如图1
设Q(x,x+1),则P(x,﹣x2+2x+3)
∴PQ=(﹣x2+2x+3)﹣(x﹣1)
=﹣x2+x+2
又∵S△APC=S△APQ+S△CPQ=PQ•AG
=(﹣x2+x+2)×3
=﹣(x﹣)2+
∴面积的最大值为.
方法二:过点P作PQ⊥x轴交AC于点Q,交x轴于点H;过点C作CG⊥x轴于点G,如图2,
设Q(x,x+1),则P(x,﹣x2+2x+3)
又∵S△APC=S△APH+S直角梯形PHGC﹣S△AGC=(x+1)(﹣x2+2x+3)+(﹣x2+2x+3+3)(2﹣x)﹣×3×3
=﹣x2+x+3
=﹣(x﹣)2+
∴△APC的面积的最大值为.
初中数学中考二轮专题练习 专题13 动点型问题: 这是一份初中数学中考二轮专题练习 专题13 动点型问题,文件包含专题13动点型问题教师版doc、专题13动点型问题doc等2份试卷配套教学资源,其中试卷共104页, 欢迎下载使用。
中考数学复习专题讲座十二 动点型问题(二): 这是一份中考数学复习专题讲座十二 动点型问题(二),共49页。试卷主要包含了中考专题诠释,解题策略和解法精讲,中考考点精讲,中考真题演练等内容,欢迎下载使用。
中考数学复习专题讲座十:方案设计型问题: 这是一份中考数学复习专题讲座十:方案设计型问题,共28页。试卷主要包含了中考专题诠释,解题策略和解法精讲,中考考点精讲,真题演练等内容,欢迎下载使用。

